RESOLUCIÓN 2427 DE 2020
(diciembre 9)
Diario Oficial No. 51.585 de 11 de febrero de 2021
MINISTERIO DE CULTURA
Por la cual se declara Bien de Interés Cultural del ámbito Nacional (BICN), el Parque Arqueológico de Facatativá, ubicado en el municipio de Facatativá, Cundinamarca, y se aprueba el Plan Especial de Manejo y Protección (PEMP).
LA MINISTRA DE CULTURA,
en uso de las facultades que le confiere el numeral 1 del artículo 11 de la Ley 397 de 1997 (Ley General de Cultura), modificado por el numeral 1 del artículo 7o de la Ley 1185 de 2008 y el Decreto 1080 de 2015 (Decreto Único Reglamentario del Sector Cultura),
CONSIDERANDO:
Que el artículo 8o de la Ley 397 de 1997 (modificado por el artículo 5o de la Ley 1185 de 2008, establece el procedimiento para la declaratoria de los bienes de interés cultural, así:
(...)
Procedimiento
La declaratoria de los bienes de interés cultural atenderá el siguiente procedimiento, tanto en el orden nacional como territorial:
1. El bien de que se trate se incluirá en una Lista Indicativa de Candidatos a Bienes de Interés Cultural por la autoridad competente de efectuar la declaratoria.
2. Con base en la lista de que trata el numeral anterior, la autoridad competente para la declaratoria definirá si el bien requiere un Plan Especial de Manejo y Protección.
3. Una vez cumplido el procedimiento descrito en los dos numerales anteriores, el Consejo Nacional de Patrimonio Cultural respecto de los bienes del ámbito nacional (...) emitirá su concepto sobre la declaratoria y el Plan Especial de Manejo y Protección si el bien lo requiriere.
4. Si el concepto del respectivo Consejo de Patrimonio Cultural fuere favorable, la autoridad efectuará la declaratoria y en el mismo acto aprobará el Plan Especial de Manejo y Protección si este se requiriere.
Que el artículo 2.4.1.4. del Decreto Único Reglamentario del Sector Cultura número 1080 de 2015, prevé:
Artículo 8o. Lista indicativa de Candidatos a Bienes de interés Cultura. La inclusión de un bien en la Lista Indicativa de Candidatos a Bienes de Interés Cultural, cuya sigla es (LICBIC), constituye el primer paso que deberá cumplir la instancia competente dentro del proceso de declaratoria de BIC. Esta inclusión no implica la sujeción del mismo al Régimen Especial de Protección establecido en la Ley 1185 de 2008, y reglamentado en este decreto.
La LICBIC consiste en un registro de información que administrará, en cada caso, la autoridad competente.
Podrán ingresar a la LICBIC aquellos bienes que de acuerdo con su significación cultural en el ámbito correspondiente (nacional, departamental, distrital, municipal, territorios indígenas o territorios de comunidades negras de que trata la Ley 70 de 1993), y por estar acorde con los criterios de valoración señalados en el Título anterior, son susceptibles de ser declarados como BIC.
Una vez incluido un bien en la LICBIC, la autoridad competente definirá sí el mismo requiere o no la formulación de un Plan Especial de Manejo y Protección (PEMP).
La inclusión de un bien en la LICBIC se comunicará al solicitante o al propietario, usufructuario o persona interesada o a los terceros Indeterminados, en la forma dispuesta por el Código Contencioso Administrativo.
La LICBIC debe integrarse al Inventario de Patrimonio Cultural de la Nación que administra el Ministerio de Cultura o a los inventarios que administren, en sus respectivas especialidades, las autoridades nacionales y territoriales competentes. En todo caso la Inclusión de bienes en una LICBIC del ámbito nocional o territorial debe informarse en un término no superior a un mes al Ministerio de Cultura, el cual podrá fijar las características que deberá reunir dicha información.
Que según el artículo 11 de Decreto 2120 del 2018, entre las funciones de la Dirección de Patrimonio, está la de Estudiar y evaluar las propuestas de declaratoria de bienes de interés cultural mueble e inmueble, así como la inclusión en lista de las manifestaciones del patrimonio cultural, para la consideración del Viceministro de Fomento Regional y Patrimonio y del Consejo Nacional de Patrimonio Cultural.
Que de conformidad con lo dispuesto en la Ley 397 de 1997 modificada y adicionada por la Ley 1185 del 2008, y lo dispuesto en los artículos 3o y 38 de la Resolución 983 de 2010, la Oficina Asesora jurídica del Ministerio de Cultura mediante concepto escrito del 5 de diciembre del 2018, señaló:
Que en el caso del Parque Arqueológico de Facatativá, este fue presentado por la Dirección de Patrimonio ante el Consejo Nacional de Patrimonio Cultural según consta en el acta 4 del 21 de septiembre del 2017, sesión en la cual el órgano asesor evaluó y emitió concepto frente a la solicitud presentada, en la que se explicaron los estudios de diagnóstico que llevaron a reconocer la correspondencia expresa de los criterios y valores del PAF. Es así, como la LICBIC al ser un sistema público de información en el que se señala preliminarmente los valores y criterios de valoración para efectuar la declaratoria, al elevarse ante el Consejo Nacional de Patrimonio Cultural el estudio de un instrumento de gestión denota no una evaluación preliminar sino, un reconocimiento de la correspondencia plena de valores y criterios de valoración, adicional que se cumplen los requisitos de postulación señalados en el artículo 2o de la Resolución 0983 del 2010. Y como complemento a lo anterior se hace necesario llevar al Consejo Nacional de Patrimonio Cultural el caso del PAF, con el objeto de que dicho organismo se pronuncie con respecto a la necesidad de la declaratoria como BIC del Ámbito Nacional al Parque Arqueológico de Facatativá y así aclarar el acta 4 de 2017.
Que de conformidad con previsto en el artículo 2.4.1.2 del Decreto Único Reglamentario del Sector Cultura (DUR-SC), número 1080 de 2015, los valores considerados por la Dirección de Patrimonio y presentados al Consejo Nacional de Patrimonio Cultural para su consideración y concepto favorable para la declaratoria del Parque Arqueológico de Facatativá como Bien de Interés Cultural del Ámbito Nacional, que deben ser conservados, y sus atributos de representatividad teniendo en cuenta los aspectos arqueológicos, ambientales, científicos, estéticos, sociales y simbólicos, y de uso, son los que se detallan a continuación:
La valoración del PAF se realiza desde dos enfoques. El primero se basa en la comprensión de los valores fundamentales al parque como el arqueológico, científico, ambiental e histórico, los cuales fueron reconocidos por la comunidad de Facatativá y el Gobierno nacional desde finales del siglo XIX, concluyendo en la expropiación de los predios a favor de la Nación y la denominación del lugar como lugar histórico, hoy patrimonio arqueológico.
El segundo enfoque para su valoración se refiere a la importancia y significado que tiene el parque para la población de Facatativá, los visitantes y actores locales. Para determinar este valor se identifican las relaciones o vínculos que han creado las personas con el lugar y sus percepciones sobre sus diferentes aspectos o atributos. Estas últimas pueden o no estar asociadas a los valores fundamentales del parque.
VALORES ARQUEOLÓGICOS
Los valores arqueológicos del PAF están representados en los abrigos rocosos con pinturas rupestres como evidencia prehispánica y en el potencial arqueológico y los restos de materiales del subsuelo, los cuales dan cuenta de la historia local del altiplano Cundiboyacense desde la ocupación humana temprana que, de acuerdo con estudios hechos en la sabana, está más allá de los 12.000 años, es decir, desde el inicio de los pobladores cazadores- recolectores, el pre-cerámico, el periodo Herrera y finalmente el Muisca.
Contiene uno de los más amplios conjuntos pictográficos de la Sabana de Bogotá y del país reunidos en una misma área, ya que de manera general suele encontrarse pocos abrigos con pinturas rupestres dispersos en un área geográfica amplia. Estos vestigios de las culturas prehispánicas conllevaron a su protección y a la constitución del parque que hoy cuenta con 28 hectáreas donde se observan 64 conjuntos pictográficos elaborados con pigmentos de origen inorgánico y motivos en su mayoría geométricos como rombos, zig-zags, espirales, cruces y equis; además de representaciones antropomorfas o animales, principalmente ranas. Adicionalmente, el hecho de ser el único parque arqueológico dentro de un casco urbano le otorga una condición particular.
El valor de patrimonio arqueológico fue determinado en el artículo 6o de la Ley General de Cultura 1185 de 2008, en la cual se definen como aquellos vestigios producto de la actividad humana y aquellos restos orgánicos e inorgánicos que, mediante los métodos y técnicas propios de la arqueología, la restauración de patrimonio mueble, y otras ciencias afines, permiten reconstruir y dar a conocer los orígenes y las trayectorias socioculturales pasadas y garantizan su conservación y restauración.
VALORES AMBIENTALES
El Parque Arqueológico de Facatativá como lugar geográfico y escenario natural, presenta diferentes cambios a lo largo del tiempo, los cuales en la actualidad determinan sus valores ambientales y la interacción con los aspectos culturales.
En materia ambiental en el parque se reconocen especies botánicas que se han ido adaptando a los cambios que ha tenido el territorio con el paso del tiempo. Especies como los laureles, el aliso y el roble han estado presentes en el territorio desde hace más de 300 mil años y su adaptación se evidencia en la presencia de relictos de vegetación correspondiente a la zona de vida del Bosque Seco Montano Bajo, existente en el PAF, vegetación nativa que también está presente en diferentes áreas del altiplano Cundiboyacense y en los valles de Ubaté y Chiquinquirá.
Así mismo, en la actualidad se reconocen una serie de coberturas vegetales que definen las condiciones ambientales del PAF y, a su vez, la interacción de estas con los elementos arqueológicos. Las franjas de vegetación riparia y los cuerpos de agua (quebrada chapinero, humedales y lagos artificiales), son las unidades de paisaje que presentan mayor valor debido a la prestación de servicios ambientales para la comunidad como regulación del clima, oferta de agua, captura de CO2, hábitat para la flora y fauna y belleza paisajística entre muchos otros. Dichos valores ofertan una gran cantidad y heterogeneidad de recursos que pueden ser aprovechados para potencializar al PAF como un espacio natural para la región.
En segundo lugar de importancia se encuentran los bosques fragmentados y la vegetación secundaria, consistentes en unidades en fase de regeneración natural que avanzan en el proceso de reemplazamiento de especies propias de la sucesión vegetal. Y en tercer lugar aparecen los herbazales abiertos que se caracterizan por una alta complejidad en su composición de especies herbáceas, se asocian en su mayoría a los abrigos rocosos y conforman áreas de regeneración con abundantes precursores leñosos.
De esta manera, los valores ambientales del PAF integran el vínculo entre el territorio y el hombre, ya que permiten comprender la relación entre las condiciones naturales de la Sabana de Bogotá, propicias para la primera ocupación humana del territorio y asentamientos posteriores y cómo estas condiciones continúan influyendo en la vocación arqueológica y cultural del parque.
VALORES CIENTÍFICOS
Los valores científicos del PAF están dados por la presencia de vestigios arqueológicos y de elementos como fauna, flora y suelo que determinan que el lugar pueda ser estudiado por diferentes disciplinas. Se destacan los valores arqueológicos y geológicos.
De tipo arqueológico: Para los antropólogos y arqueólogos el PAF es un sitio representativo de las sociedades de cazadores y recolectores, premuisca y muisca, objeto de estudio desde hace varias décadas y por tanto, plantea una serie de preguntas que aún no han sido resueltas. Para los restauradores de patrimonio mueble es un sitio representativo de técnicas pictóricas rupestres con pigmentos de diferentes tonalidades, técnicas de aplicaciones del color, problemas de conservación que suponen investigación y monitoreo constante.
De tipo geológico: El PAF es un lugar idóneo para entender y explicar la formación geológica de la Sabana de Bogotá gracias a la presencia de las formaciones montañosas que se observan al llegar al lugar así como por los abrigos rocosos que son elementos fundamentales dentro del parque y que se relacionan con el desarrollo y formación de la cordillera Andina:
“Para el caso específico de la geología del Parque Arqueológico de Facatativá el trabajo de José Royo y Gómez (1950), es la fuente más idónea. Así, el libro Las Piedras de Tunja de Facatativá y el Cuaternario de la Sabana de Bogotá, expone en detalle la historia geológica del sitio y en un esquema de corte geológico ejemplifica la situación de los abrigos rocosos y de las pinturas, como también de la base de suelo existente”. (Trujillo, 2015: 20).
Además de estos autores, Van der Hammen, 1995; Hooghiemstra, 1995; Guhl, 1975 y Trujillo, 2015 han estudiado la Sabana de Bogotá y específicamente el área del PAF lo que da cuenta de la importancia de este espacio como testigo de la formación geológica del lugar.
VALORES ESTÉTICOS
Los abrigos rocosos, su distribución natural y la selección de la localización que se realizó para elaborar las pinturas rupestres permiten experiencias estéticas. Las pictografías brindan un amplio repertorio de formas representadas susceptibles de análisis formales en cuanto a su composición, texturas, gama de colores y análisis pictórico. Presentan diversidad de motivos abstractos, antropomorfos, fitomorfos y zoomorfos complejos. En cuanto al aspecto estético físico se presentan particulares susceptibles de analizar como las técnicas de elaboración variadas, los materiales empleados, la preservación de los pigmentos y los fenómenos de conservación sobre el soporte pétreo durante siglos.
VALORES SOCIALES Y SIMBÓLICOS
Bajo esta noción, el Parque Arqueológico de Facatativá, por su condición particular de estar situado en la zona urbana del municipio, a pocas cuadras del centro tradicional, ha propiciado un espacio donde se ha desarrollado un rol urbano y cotidiano para la población de Facatativá y los municipios aledaños.
En este sentido, la valoración del Parque se determina a partir de la identificación de los elementos que lo hacen valioso, importante o fundamental para la población que permanece en estrecha relación con él. Si bien el parque por su condición de sitio arqueológico presenta valores por sí mismo, el estudio considera como eje estructural para la conservación y apropiación social del parque como patrimonio cultural, establecer el valor o si se quiere el “afecto” que la población, que ha crecido junto al lugar, en principio los facatativeños tienen hacia el parque.
La identidad oficial de Facatativá
La identidad oficial facatativeña está construida alrededor de símbolos que hacen referencia a la historia y características del PAF, tales como los abrigos rocosos, las pictografías y la presencia de sociedades prehispánicas. Esto se manifiesta explícitamente en los símbolos del municipio como el himno y el escudo.
La identidad del territorio de Facatativá: historia del territorio y los antepasados
A finales del siglo XIX, el PAF despertó un interés en la comunidad de Facatativá que condujo a la acción del Gobierno nacional para declararlo como patrimonio cultural a través de la promulgación de la Ley 142 de 1936.
Lo anterior denota el interés en su momento por parte de la comunidad y a su vez el reconocimiento del lugar como sitio histórico.
Si bien las investigaciones arqueológicas e históricas en el PAF y en Facatativá no han determinado de manera precisa la ocupación del lugar, para el imaginario de los facatativeños el parque constituye la evidencia del pasado indígena de su territorio.
De esta manera, sus características arqueológicas, especialmente sus abrigos rocosos y pinturas han propiciado que el lugar se asocie a la ocupación de grupos indígena (territorio muisca). Esto sumando a la tradición oral y a los significados que han transmitido los historiadores locales.
Identidad asociada a la historia política
Para las generaciones de finales del siglo XIX y primera mitad del siglo XX el PAF fue el escenario para expresar su filiación política, lo cual se revela en los retratos de la galería liberal pintados en 1915. Esto denota que el PAF es un lugar importante para los facatativeños en la medida que lo eligieron para manifestar su identidad como territorio liberal en ese momento histórico de la política nacional.
VALORES DE USO
El parque históricamente se ha concebido como un lugar de encuentro entre las familias no solo de Facatativá, sino también de los municipios aledaños y de Bogotá. Las fotografías históricas dan cuenta que, desde las primeras décadas del siglo XX, “las piedras” eran un lugar para visitar y pasar el día; se reconoció como un lugar de relajación, contemplación, paseo y celebraciones familiares. Esta condición persiste, pues la mayoría de personas que actualmente visitan el parque lo asocian con cualidades y actividades como relajación y compartir en familia.
De otro lado, en el parque arqueológico se ha consolidado un grupo de personas que diariamente realizan ejercicio, trote y caminatas, identificados en el diagnóstico social como los deportistas; estas personas se han apropiado del lugar valorando el entorno natural propicio para hacer sus actividades físicas.
Que, al tenor de lo anterior, en sesión extraordinaria del Consejo Nacional de Patrimonio Cultural del 25 de julio de 2019 y como consta en el Acta número 4 de 2019, se pronunció así:
“1. (...) Sea expreso el carácter del Parque Arqueológico de Facatativá como BIC, para que pueda aplicar sobre este el Régimen Especial de Protección, y pueda finalizarse el proceso de publicación mediante Resolución del PEMP aprobado previamente por el CNPC (...) Por ende, el Consejo en pleno estuvo de acuerdo con la declaratoria y se emite concepto favorable.”.
Que el artículo 2.4.1.9 del Decreto 1080 de 2015, precisa lo que debe contener como mínimo el acto administrativo de declaratoria de un bien como BIC.
Que el numeral 1.2. del artículo 11 de la Ley 397 de 1997 (modificado por el artículo 7o de la Ley 1185 de 2008), señala:
1.2. Incorporación al Registro de Instrumentos Públicos. La autoridad que efectúe la declaratoria de un bien inmueble de interés cultural informará a la correspondiente Oficina de Registro de Instrumentos Públicos a efectos de que ésta incorpore la anotación en el folio de matrícula inmobiliaria correspondiente.
Que dado lo anterior, y con base en las facultades otorgadas por el artículo 8o de la Ley 397 de 1997 (modificado por el artículo 5o de la Ley 1185 de 2008), reglamentado por el artículo 2.4.1.3 del Decreto 1080 de 2015, le corresponde al Ministerio de Cultura expedir el acto administrativo que declare el Parque Arqueológico de Facatativá como Bien de Interés Cultural del Ámbito Nacional (BICN).
Que el artículo 72 de la Constitución Política, establece que:
El patrimonio cultural de la Nación está bajo la protección del Estado. El patrimonio arqueológico y otros bienes culturales que conforman la identidad nacional, pertenecen a la Nación y son inalienables, inembargables e imprescriptibles. La ley establecerá los mecanismos para readquirirlos cuando se encuentren en manos de particulares y reglamentará los derechos especiales que pudieran tener los grupos étnicos asentados en territorios de riqueza arqueológica.
Que el numeral 1 del artículo 11 de la Ley 397 de 1997, modificado por el artículo 7o de la Ley 1185 de 2008, estipula:
(...) El PEMP es el instrumento de gestión del patrimonio cultural por medio del cual se establecen las acciones necesarias para garantizar su protección y sostenibilidad en el tiempo.
Para bienes inmuebles se establecerá el área afectada, la zona de influencia, el nivel permitido de intervención, las condiciones de manejo y el plan de divulgación que asegurará el respaldo comunitario a la conservación de estos bienes.
Que el artículo 11 de la Ley 397 de 1997 (modificado por el artículo 7o de la Ley 1185 de 2008), prevé el Régimen Especial de Protección de los bienes de interés cultural y, entre otros, prevé que el PEMP indicará el área afectada, la zona de influencia, el nivel permitido de intervención, las condiciones de manejo y el Plan de Divulgación que asegurará el respaldo comunitario a la conservación de estos bienes.
Que el Área Afectada es “la demarcación física del inmueble o conjunto inmuebles, compuesta por sus áreas construidas y libres, (...)
Que la Zona de Influencia está definida como la demarcación del contexto circundante o próximo del inmueble, necesario para que los valores del mismo se conserven. Para la delimitación de la zona de influencia, se debe realizar un análisis de las potencialidades y de las amenazas o riesgos que puedan afectar al bien, en términos de paisaje, ambiente, contexto urbano o rural e infraestructura.
Que el numeral 1.3 del artículo 11 de la Ley 397 de 1997 (modificado por el artículo 7o de la Ley 1185 de 2008), señala que:
Los Planes Especiales de Manejo y Protección relativos a bienes inmuebles deberán ser incorporados por las autoridades territoriales en sus respectivos planes de ordenamiento territorial. El PEMP puede limitar los aspectos relativos al uso y edificabilidad del bien inmueble declarado de interés cultural y su área de influencia aunque el Plan de Ordenamiento Territorial ya hubiera sido aprobado por la respectiva autoridad territorial.
Que según el artículo 3o de la Ley 388 de 1998, el ordenamiento del territorio constituye en su conjunto una función pública que busca, entre otros: “propender por el mejoramiento de la calidad de vida de los habitantes, la distribución equitativa de las oportunidades y los beneficios del desarrollo y la preservación del patrimonio cultural y natural.”
Que el artículo 10 de la Ley 388 de 1997 indica:
Determinantes de los Planes de Ordenamiento Territorial. En la elaboración y adopción de sus planes de ordenamiento territorial los municipios y distritos deberán tener en cuenta las siguientes determinantes, que constituyen normas de superior jerarquía en sus propios ámbitos de competencia, de acuerdo con la Constitución y las leyes:
Las relacionadas con la protección y conservación (...)
Las políticas, directrices y regulaciones sobre conservación, preservación y uso de las áreas e inmuebles considerados como patrimonio cultural de la Nación y de los departamentos incluyendo el histórico, artístico y arquitectónico, de conformidad con la legislación correspondiente.
Que la Ley 397 de 1997, modificada y adicionada por la Ley 1185 de 2008, determina como objetivos principales de la política estatal, en relación con el patrimonio cultural de la Nación: “la protección, la conservación, la rehabilitación y la divulgación de dicho patrimonio, con el propósito de que éste sirva de testimonio de la identidad cultural nacional, tanto en el presente como en el futuro.”
Que el artículo 4o de la Ley 397 de 1997, modificado por el artículo 1o de la Ley 1185 de 2008, define que:
El patrimonio cultural de la Nación está constituido por todos los bienes materiales, las manifestaciones inmateriales, los productos y las representaciones de la cultura que son expresión de la nacionalidad colombiana, tales como la lengua castellana, las lenguas y dialectos de las comunidades indígenas, negras y creoles, la tradición, el conocimiento ancestral, el paisaje cultural, las costumbres y los hábitos, así como los bienes materiales de naturaleza mueble e inmueble a los que se les atribuye, entre otros, especial interés histórico, artístico, científico, estético o simbólico en ámbitos como el plástico, arquitectónico, urbano, arqueológico, lingüístico, sonoro, musical, audiovisual, fílmico, testimonial, documental, literario, bibliográfico, museológico o antropológico.
Que el literal a) del artículo 8o de la Ley 397 de 1997, modificado por el artículo 5o de la Ley 1185 de 2008, determina que “Al Ministerio de Cultura, previo concepto favorable del Consejo Nacional de Patrimonio Cultural, le corresponde la declaratoria y el manejo de los bienes de interés cultural del ámbito nacional.
Que el artículo 11 de la Ley 397 de 1997, modificado por el artículo 7o de la Ley 1185 de 2008 señala que los bienes materiales de interés cultural están sometidos a un Régimen Especial de Protección que incluye, entre otras acciones, la elaboración de planes especiales de manejo y protección, PEMP.
Que los numerales 1.3 y 1.5 del artículo 11 de la Ley 397 de 1997, modificado por el artículo 7o de la Ley 1185 de 2008, definen:
1.3. Incorporación de los Planes Especiales de Manejo y Protección a los planes de ordenamiento territorial. Los Planes Especiales de Manejo y Protección relativos a bienes inmuebles deberán ser incorporados por las autoridades territoriales en sus respectivos planes de ordenamiento territorial. El PEMP puede limitar los aspectos relativos al uso y edificabilidad del bien inmueble declarado de interés cultural y su área de influencia aunque el Plan de Ordenamiento Territorial ya hubiera sido aprobado por la respectiva autoridad territorial.
(...)
1.5. Prevalencia de las normas sobre conservación, preservación y uso de las áreas e inmuebles consideradas patrimonio cultural de la Nación. De conformidad con lo preceptuado en los numerales 2 del artículo 10 y 4 del artículo 28 de la Ley 388 de 1997 o las normas que los sustituyan, las disposiciones sobre conservación, preservación y uso de las áreas e inmuebles de interés cultural constituyen normas de superior jerarquía al momento de elaborar, adoptar, modificar o ajustar los Planes de Ordenamiento Territorial de municipios y distritos.
Que, de conformidad con lo anterior, el Decreto 1080 de 2015, en el Capítulo I y III, del Título 1, de la Parte IV, reglamenta lo relativo a los PEMP de bienes inmuebles.
Que, consecuentemente, el numeral 1.2.-7. del artículo 2.3.1.3 del Decreto 1080 de 2015, establece como competencia del Ministerio de Cultura: “Aprobar los PEMP de bienes que declare como BIC del ámbito nacional o los declarados como tal antes de la expedición de la Ley 1185 de 2008, si tales bienes requieren dicho plan, previo concepto del Consejo Nacional de Patrimonio Cultural.”.
Que, adicionalmente, el artículo 2.4.1.1.1 del Decreto 1080 de 2015, determina que el PEMP como instrumento del Régimen Especial de Protección de los BIC, debe:
1. Definir las condiciones para la articulación de los bienes con su contexto físico, arquitectónico, urbano o rural, los planes preexistentes y su entorno socio cultural, partiendo de la conservación de sus valores, la mitigación de sus riesgos y el aprovechamiento de sus potencialidades.
2. Precisar las acciones de protección de carácter preventivo y/o correctivo que sean necesarias para la conservación de los bienes.
3. Establecer las condiciones físicas, de mantenimiento y de conservación de los bienes.
4. Establecer mecanismos o determinantes que permitan la recuperación y sostenibilidad de los bienes.
5. Generar las condiciones y estrategias para el mejor conocimiento y la apropiación de los bienes por parte de la comunidad, con el fin de garantizar su conservación y su transmisión a las futuras generaciones.
Que el artículo 2.4.1.1.3 del Decreto 1080 de 2015 establece que cualquier bien inmueble del grupo arquitectónico que sea declarado bien de interés cultural requiere de un PEMP, cuando se presente alguna de las siguientes condiciones:
1. Riesgo de transformación o demolición parcial o total debido a desarrollos urbanos, rurales o infraestructura.
2. Cuando el uso represente riesgo o limitación para su conservación.
3. Cuando el bien requiera definir o redefinir su normativa y/o la de su entorno para efectos de su conservación.
Que el artículo 2.4.1.1.8 del Decreto 1080 de 2015, establece que las Condiciones de Manejo son: “(...) el conjunto de pautas y determinantes para el manejo del inmueble, en tres (3) aspectos: físicotécnicos, administrativos y financieros, los cuales deben propender por su preservación y sostenibilidad (...).”
Que el artículo 2.4.1.1.9 del Decreto 1080 de 2015, especifica que el plan de divulgación es: “(...) el conjunto de acciones para difundir las características y los valores del inmueble. El objetivo principal de este plan es asegurar el respaldo comunitario a la conservación del bien.”
Que el artículo 2.4.1.3.1 del Decreto 1080 de 2015, indica con respecto a la competencia para la formulación de los PEMP que: “(...) la formulación del PEMP corresponde al propietario (...).”.
Que de acuerdo con el artículo 2.4.1.3.3 del Decreto 1080 de 2015, el Ministerio de Cultura tiene la facultad de definir aspectos técnicos y administrativos que desarrollen como mínimo dos fases del PEMP: Fase 1, análisis y diagnóstico, y Fase 11, propuesta integral.
Que el artículo 2.4.1.3.7 del Decreto 1080 de 2015 establece que las autoridades competentes para declarar BIC, en este caso el Ministerio de Cultura, podrán formular directamente los PEMP que estimen necesarios.
Que los antecedentes normativos del Parque Arqueológico de Facatativá se remontan a la Ley 142 de 1936, la cual dispuso en su artículo 1o: “El gobierno procederá a adquirir para la Nación el predio denominado Piedras de Tunja o Cercado de los Zipas, situado en el municipio de Facatativá; sitio de recreo de los soberanos chibchas y lugar donde fue sacrificado el penúltimo de ellos, Tisquesusa”.
Que en cumplimiento de lo dispuesto por la citada Ley 142 de 1936, mediante el Decreto 684 de 1946 se ordena la inmediata expropiación de los terrenos componentes del “Cercado de los Zipas”, que hoy corresponden al Parque Arqueológico de Facatativá.
Que el Juzgado Primero Civil Municipal de Facatativá mediante auto del 21 de agosto de 1946 resolvió decretar a favor de la Nación la expropiación de los inmuebles objeto de la demanda de expropiación y dispuso que la Parte demandante (la Nación) entrara en posesión inmediata de los inmuebles expropiados, señalando para la entrega de los mismos el día 28 de agosto a las 10 de la mañana.
Que los terrenos que conforman el “Cercado de los Zipas”, que hoy corresponden al Parque Arqueológico de Facatativá, fueron entregados en 1946, para su administración y cuidado al Instituto Etnológico Nacional, creado por el Decreto número 1126 de 1941, y el cual conforme al Decreto 718 de 1945 pasó a funcionar bajo la inmediata dependencia del Ministerio de Educación Nacional y adscrito al Servicio de Arqueología del mismo Ministerio.
Que dicho Instituto Etnológico Nacional fue integrado al Instituto Colombiano de Antropología mediante el Decreto número 2190 de 1952, por el cual se crea el Instituto Colombiano de Antropología, y a partir de entonces el Parque Arqueológico de Facatativá es administrado por dicha entidad.
Que posteriormente y en virtud de la creación del Instituto Colombiano de Cultura, Colcultura, mediante el Decreto número 3154 de 1968, y dentro del cual se integra al Instituto Colombiano de Antropología, la administración del Parque Arqueológico de Facatativá pasa a cargo de Colcultura.
Que desde el año 1972 el Parque es entregado para su administración y cuidado por Colcultura a la entonces denominada Corporación Autónoma Regional de la Sabana de Bogotá y de los Valles de Ubaté y Chiquinquirá creada por la Ley 3 de 1961, hoy Corporación Autónoma Regional de Cundinamarca, CAR, por medio de contrato de comodato del 14 de junio de 1972, con una vigencia de 15 años y contrato de comodato 12 del 24 de marzo de 1988, con vigencia de 20 años que finalizaron en el 2009.
Que en virtud de la Ley 397 de 1997, los bienes, derechos y obligaciones que pertenecían a Colcultura pasaron al recién conformado Ministerio de Cultura, con lo cual el Parque Arqueológico de Facatativá fue entregado mediante el acta de trasferencia suscrita el 15 de julio de 1998 entre estas dos entidades, quedando bajo el dominio del Ministerio de Cultura.
Que en el año 2009, el Ministerio de Cultura entregó en comodato a la Alcaldía de Facatativá el Parque Arqueológico de Facatativá, Piedras del Tunja o Cercado de los Zipas, mediante el contrato de comodato precario 0304 del 9 de marzo de 2009, con una vigencia de cuatro años el cual fue prorrogado mediante otrosí 1 del 19 Julio 2012 y otrosí 2 del 7 de marzo de 2018.
Que la Ley 103 de 1931 que declaró de utilidad pública los monumentos y objetos arqueológicos de cualquier sitio de la Nación, al respecto dispuso en su artículo 1o lo siguiente:
Artículo 1o. Declárense de utilidad pública los monumentos y objetos arqueológicos de las regiones de San Agustín, Pitalito, del Alto Magdalena y los de cualquier otro sitio de la Nación.
Que mediante la Ley 163 de 1959, se declara patrimonio histórico y artístico nacional los monumentos, y demás objetos, ya sean obra de la actividad humana, que tengan interés especial para el estudio de las civilizaciones y culturas pasadas, al respecto disponía la norma:
Artículo 1o. Declárense patrimonio histórico y artístico nacional los monumentos, tumbas prehispánicas y demás objetos, ya sean obra de la naturaleza o de la actividad humana, que tengan interés especial para el estudio de las civilizaciones y culturas pasadas, de la historia o del arte, o para las investigaciones paleontológicas, y que se hayan conservado sobre la superficie o en el subsuelo nacional (...).
Que mediante el Decreto 264 de 1963, reglamentario de la Ley 163 de 1959, se determinó que conforman patrimonio histórico, artístico y científico de la Nación, los objetos arqueológicos, como piedras labradas o pintadas, al respecto dice su artículo 1o lo siguiente:
Artículo 1o. En conformidad con lo dispuesto en la Ley 163 de 1959, declárase como patrimonio histórico, artístico y científico de la Nación, los monumentos y objetos arqueológicos, como templos, sepulcros y sus contenidos, estatuas, cerámicas, utensilios, joyas, piedras labradas o pintadas, ruinas, etc., lo mismo que todos aquellos que tengan interés especial para el estudio de las civilizaciones y culturas pasadas, para la historia del arte y para el estudio científico y la conservación de las bellezas naturales.
Que la Ley 397 de 1997 en su artículo 4o, modificado por el artículo 1o de la Ley 1185 de 2008, define que el patrimonio cultural de la Nación está constituido por todos los bienes materiales, las manifestaciones inmateriales, los productos y las representaciones de la cultura que son expresión de la nacionalidad colombiana, tales como los bienes materiales de naturaleza mueble e inmueble a los que se les atribuye, entre otros, especial interés arqueológico y antropológico.
Que el literal b) artículo 4o de la Ley 397 de 1997, modificado por el artículo 1o de la Ley 1185 de 2008 dispone expresamente que así mismo, se consideran como Patrimonio Cultural de la Nación los bienes del patrimonio arqueológico.
Que el artículo 6o de la Ley 397 de 1997, modificado por el artículo 3o de la Ley 1185 de 2008, dispone que los bienes del patrimonio arqueológico pertenecen a la Nación y son inalienables, imprescriptibles e inembargables, estableciendo que el Instituto Colombiano de Antropología e Historia (ICANH), es la institución competente en el territorio nacional respecto del manejo del patrimonio arqueológico.
Que el Decreto 2667 de 1999, por el cual se modifica la estructura del Instituto Colombiano de Cultura Hispánica, dispone en el numeral 9 de su artículo 4o, que es función del ICANH, entre otras, la siguiente:
(...)
9. Velar por la conservación y el mantenimiento de los parques arqueológicos cuya custodia Je sea encargada, como espacios depositarios de bienes de interés cultural.
(...)
Que el Decreto 833 de 2002, por el cual se reglamenta parcialmente la Ley 397 de 1997 en materia de patrimonio arqueológico, dispone en su artículo 2o, lo siguiente:
(...)
2. El Instituto Colombiano de Antropología e Historia respecto de las funciones que directamente le atribuyen las Leyes 163 de 1959 y 397 de 1997, los Decretos 264 de 1994, 2667 de 1999, en particular las de autorizar exploraciones o excavaciones de carácter arqueológico, llevar el registro de los bienes integrantes del patrimonio arqueológico, declarar de carácter arqueológico bienes muebles e inmuebles representativos de la tradición e identidad culturales de las comunidades indígenas actualmente existentes y conceptuar sobre los bienes pertenecientes al patrimonio arqueológico, las que le atribuye este decreto y las que Je sean delgadas por el Ministerio de Cultura de conformidad con lo previsto en la Ley 397 de 1997.
Que en el año 2005, el ICANH, elabora el Plan de Manejo del Parque Arqueológico de Facatativá “Piedras de Tunja”.
Que en cumplimiento de lo dispuesto en la Ley 397 de 1997, modificada por la Ley 1185 de 2008, y reglamentada por el Decreto 1080 de 2015, el Ministerio de Cultura contrató en la vigencia del año 2016 el personal técnico necesario para elaborar el PEMP del Parque Arqueológico de Facatativá, en adelante PAF, de conformidad con todo lo señalado anteriormente.
Que el documento técnico de soporte, DTS, del PEMP incluyó todos los estudios del diagnóstico, así como los documentos de las directrices para llevar a cabo el PEMP y la propuesta técnica del mismo.
Que de acuerdo con el DTS elaborado para la formulación del PEMP del Parque Arqueológico de Facatativá, es necesario adoptar este instrumento en la medida en que se cumple con el numeral 3 del artículo 2.4.1.3.3 del Decreto 1080 de 2015, toda vez que es necesario redefinir la normativa del BICN y la de su entorno para efectos de su conservación.
Que de conformidad con el DTS, es necesario que este PEMP prevea soluciones a los problemas técnicos de conservación, urbanos, ambientales, físicos, administrativos y financieros que afectan el Parque Arqueológico de Facatativá, y que plantee acciones y alternativas que permitan la recuperación y conservación integral de su estructura física y su significado cultural.
Que en aplicación del principio de coordinación entre la Nación y el ente territorial, en el proceso de elaboración del diagnóstico y de la formulación del presente PEMP, se adelantaron los procesos de información pública y participación democrática, que permitieron a la autoridad del municipio de Facatativá, conocer y participar activamente en la elaboración del plan;
Que para la elaboración del PEMP, el equipo técnico a cargo del estudio, contratado por el Ministerio de Cultura, realizó entre otras, las siguientes actividades, las cuales se encuentran documentadas a través de actas suscritas por quienes intervinieron en las mismas:
1. Lanzamiento del PEMP: 18 de abril de 2016.
2. Presentación del análisis y diagnóstico del PEMP: 25 de julio de 2016.
3. Presentación de la propuesta integral del PEMP: 15 de diciembre de 2016.
Que en cumplimiento del numeral 5 del artículo 2.3.2.3 y del artículo 2.4.1.6 del Decreto 1080 de 2015, el PEMP del Parque Arqueológico de Facatativá fue puesto a consideración del Consejo Nacional de Patrimonio Cultural (CNPC), quien emitió concepto favorable y recomendó a la Señora Ministra de Cultura su aprobación, tal como consta en el Acta de la Sesión Ordinaria 4, que se llevó a cabo el día 21 de septiembre de 2017.
Que, en mérito de lo expuesto,
RESUELVE:
DISPOSICIONES GENERALES, ÁREA AFECTADA Y ZONA DE INFLUENCIA.
ARTÍCULO 1o. DECLARATORIA. Declarar bien de Interés Cultural del Ámbito Nacional (BICN), el Parque Arqueológico de Facatativá (PAF), localizado en el municipio de Facatativá, Cundinamarca.
ARTÍCULO 2o. DELIMITACIÓN. En cumplimiento de lo dispuesto en el numeral 2 del artículo 2.4.1.9 del Decreto 1080 de 2015, la delimitación del Área Afectada (AA), y de la Zona de Influencia (SI), del Parque Arqueológico de Facatativá, es la siguiente:
1. Área Afectada (AA):
La delimitación del área afectada se soporta en el reconocimiento de los bienes arqueológicos y los valores ambientales presentes en el PAF y su entorno, así como en la identificación de los linderos y límites prediales del mismo.
De conformidad con lo dispuesto en el Artículo 2.4.1.1.5 del Decreto 1080 de 2015, el área afectada corresponde al predios que conforma el Parque Arqueológico de Facatativá, “Piedras de Tunja” o “Cercado del Zipa”, e incluye un polígono delimitado al interior del predio de la Escuela de Comunicaciones del Ejército Nacional, colindante al PAF, de acuerdo con la siguiente ilustración y según lo detallado en el plano PL 01: Delimi-tación del área afectada y zona de influencia, el cual hace parte integral de la presente Resolución:

Ilustración 1. Delimitación del área afectada del PAF
El área afectada está conformada entonces por dos polígonos delimitados así:
Polígono 1. Área afectada - Predio del PAF: Correspondiente a la totalidad del predio identificado con los siguientes folios de matrícula inmobiliaria 156-79794 (Cercado de los Zipas o Piedras de Tunja) y 156-79795 (Lote El Chircal), y conformado por las siguientes coordenadas:





Polígono 2. Área afectada - Predio Escuela de Comunicaciones del Ejército Nacional: Correspondiente a una fracción o polígono localizado al interior del predio correspondiente al Batallón de Comunicaciones del Ejército Nacional, colindante al PAF, identificado con el folio de matrícula inmobiliaria 156-56450 y conformado por las siguientes coordenadas:


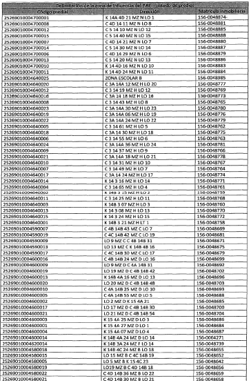
2. Zona de Influencia (ZI):
Delimitación de la zona de influencia del PAF. La zona de influencia del PAF comprende el conjunto de predios localizados en suelo urbano y rural que se identifican en la siguiente tabla:




![]()








Tabla 3. Delimitación de la zona de influencia del PAF - Listado de predios
El estándar de abreviaturas para la identificación de la dirección de los predios se toma de las bases catastrales de Facatativá suministradas por el Instituto Geográfico Agustín Codazzi (IGAC), en las cuales se especifican los siguientes valores:
C:Calle
K: Carrera
SD: Sin dato
LT: Lote
LC: Local
AP: Apartamento
BQ: Bloque
IN: Interior
CS: Casa
Z: Manzana
GA: Garaje
Lo anterior, en concordancia con la siguiente ilustración y según lo detallado en el plano PL 01: Delimitación del área afectada y zona de influencia, el cual hace parte integral de la presente resolución:

Ilustración 2. Delimitación de la zona de influencia del PAF
ARTÍCULO 3o. APROBACIÓN. Aprobar el Plan Especial de Manejo y Protección, PEMP, del Parque Arqueológico de Facatativá, PAF, declarado Bien de Interés Cultural del Ámbito Nacional, BICN, en el artículo 1 de la presente resolución.
ARTÍCULO 4o. ÁMBITO DE APLICACIÓN DEL PEMP. La presente resolución tiene aplicación en el área afectada y en la zona de influencia, definidas en el artículo segundo de la presente resolución.
ARTÍCULO 5o. OBJETIVO GENERAL DEL PEMP. Formular un instrumento de gestión que defina las acciones, condiciones de manejo y proyectos, necesarios para exaltar las características y valores arqueológicos y ambientales del PAF, y lograr que éste sea reconocido, usado, valorado y apropiado como un espacio cultural y arqueológico, como fue concebido.
Para lograr este objetivo, este PEMP propone las siguientes acciones:
- Define las condiciones para la intervención y los usos asociados al PAF con su contexto físico, teniendo en cuenta los planes preexistentes y su entorno sociocultural; para lo cual parte de la conservación de sus valores, vela por la mitigación de los riesgos que pueden afectar los BIC y procura aprovechar sus potencialidades.
- Precisa las acciones de conservación y protección de carácter preventivo o correctivo necesarias para la conservación de los BIC.
- Especifica directrices para el mantenimiento físico y la preservación material del BICN.
- Establece los mecanismos o determinantes que deberán tenerse en cuenta para la recuperación y sostenibilidad del BICN.
- Formula criterios para el desarrollo de una propuesta educativa y define las líneas de acción del guion museológico e interpretativo del PAF.
- Genera estrategias para una adecuada comunicación de los valores culturales del PAF, garantizando su apropiación por parte de la comunidad y su transmisión a las futuras generaciones.
ARTÍCULO 6o. OBJETIVOS ESPECÍFICOS DEL PEMP. De acuerdo con las orientaciones definidas en el Decreto 1080 de 2015 y conforme a los lineamientos a los que se deben ajustar los PEMP, se establecen los siguientes objetivos específicos, enfocados en tres aspectos indispensables para la conservación del PAF, y en las posibles intervenciones, con miras a garantizar su conservación y su adecuada gestión:
1. Objetivos enfocados en la conservación preventiva
- Fomentar las buenas prácticas de uso y manejo del PAF.
- Establecer directrices que permitan mitigar los riesgos a los que están expuestos los elementos de valor arqueológico y ambiental del PAF.
- Promover la capacidad institucional para prevenir y responder a los eventos inesperados que puedan afectarlos por fenómenos naturales o antropogénicos.
- Generar lineamientos para la realización del mantenimiento periódico del conjunto de arte rupestre, según lo dispuesto en el Decreto 1080 de 2015, o las que lo adicionen, modifiquen o sustituyan.
2. Objetivos enfocados en las intervenciones para la conservación
- Aumentar la valoración cultural, arqueológica y natural del PAF
- Fomentar la investigación sobre el PAF.
- Contribuir con la comprensión de los afloramientos rocosos, las pinturas rupestres y las evidencias arqueológicas.
- Garantizar visitas y recorridos que tengan el mínimo impacto sobre rocas, conjuntos pictográficos, suelo arqueológico, medio ambiente, flora y fauna y que permitan al visitante una comprensión clara y completa del sitio.
- Promover el disfrute del PAF por parte de visitantes e investigadores.
- Definir, por medio del PEMP, los niveles de intervención patrimonial permitidos.
3. Objetivos enfocados en la gestión del PAF
- Determinar los lineamientos para promover la integración espacial y funcional entre el PAF y la estructura urbana que los rodea, con miras a proteger sus calidades paisajísticas, ambientales, espaciales y urbanísticas.
- Identificar las condiciones que debe cumplir el administrador a cargo de la gestión del PEMP.
- Identificar las acciones que debe adelantar el administrador del PAF, para asegurar el mantenimiento del área afectada y la gestión integral del PEMP, con apoyo de la Dirección de Patrimonio del Ministerio de Cultura y el ICANH.
- Identificar las posibles estrategias de financiación para la gestión y ejecución del PEMP.
- Establecer las condiciones que deben aplicarse para el desarrollo de actividades de uso, manejo, administración, ocupación, convivencia, puesta en valor, desarrollo cultural y aprovechamiento general del PAF y su zona de influencia.
ARTÍCULO 7o. DOCUMENTOS DE SOPORTE DEL PEMP. Hacen parte de los soportes técnicos del presente PEMP, los siguientes documentos:
- Documento técnico de soporte, DTS, de análisis y diagnóstico del PEMP.
- Planos de diagnóstico del PEMP.
- Documento técnico de soporte, DTS, de formulación y propuesta del PEMP.
ARTÍCULO 8o. DOCUMENTOS QUE HACEN PARTE INTEGRAL DEL PEMP. Hacen parte integral del PEMP y, por tanto, de la presente resolución, los siguientes documentos:
- PL 01: Delimitación del área afectada y zona de influencia del PAF.
- PL 02: Niveles de intervención del área afectada y la zona de influencia del PAF.
- PL 03: Sectores normativos del área afectada del PAF.
- PL 04: Sectores normativos de la zona de influencia del PAF.
- PL 05: Zonificación de manejo ambiental del PAF.
- Documento técnico de soporte, DTS, de formulación y propuesta del PEMP.
- Manual de Identidad Parque Arqueológico de Facatativá.
NIVELES PERMITIDOS DE INTERVENCIÓN DEL BIC.
ARTÍCULO 9o. CLASIFICACIÓN DE LOS NIVELES DE INTERVENCIÓN. A todos los predios incluidos dentro del área afectada y la zona de influencia definidas anteriormente se le asigna un Nivel de Intervención de acuerdo con la definición que de estos hace el Decreto 1080 de 2015.
ARTÍCULO 10. NIVELES DE INTERVENCIÓN Y TIPOS DE OBRA PERMITIDOS EN EL ÁREA AFECTADA. Se asigna el nivel de intervención 1, conservación integral, a toda el área afectada del PAF.
Los tipos de obras permitidos corresponden a lo establecido en el artículo 2.4.1.1.7. del Decreto 1080 de 2015, o los que lo modifiquen, adicionen o sustituyan.
ARTÍCULO 11. NIVELES DE INTERVENCIÓN Y TIPOS DE OBRA PERMITIDOS EN LA ZONA DE INFLUENCIA. Se asigna el nivel de intervención 3, contextual, a la totalidad de inmuebles de la zona de influencia del PAF.
Los tipos de obras permitidos corresponden a lo establecido en el artículo 2.4.1.1.7. del Decreto 1080 de 2015, o los que lo modifiquen, adicionen o sustituyan.
ARTÍCULO 12. INSTANCIAS DE DECISIÓN. De conformidad con lo establecido en el numeral 2 del artículo 11 de la Ley 397 de 1997, modificado por el artículo 7o numeral 2 de la Ley 1185 de 2008, toda intervención que se pretenda realizar en el área afectada y en los inmuebles colindantes del PAF, deberá contar con autorización previa del Ministerio de Cultura.
Así mismo, de conformidad con lo dispuesto en el artículo 14 de la Ley 489 de 1998, el Ministerio de Cultura delega al municipio de Facatativá la facultad de autorizar intervenciones en los predios que conforman la zona de influencia.
PARÁGRAFO. La delegación conferida en el presente artículo se hará efectiva a partir del momento en el cual se suscriba el respectivo convenio al que alude el artículo 14 de la Ley 489 de 1998, y dicha delegación estará circunscrita a la vigencia de dicho convenio.
CONDICIONES DE MANEJO.
ASPECTOS FÍSICOS - TÉCNICOS.
COMPONENTE ARQUEOLÓGICO Y DE CONSERVACIÓN.
ARTÍCULO 13. MODALIDAD DE INTERVENCIÓN ARQUEOLÓGICA. La única modalidad de intervención arqueológica permitida es la investigación arqueológica.
ARTÍCULO 14. INVESTIGACIÓN ARQUEOLÓGICA. Debe ser una intervención integral, interdisciplinaria y de larga duración cuyo principal objetivo debe ser la producción de conocimiento científico, mediante la investigación, la conservación y la puesta en valor dentro de los estándares teóricos y metodológicos. Todo proyecto de investigación arqueológica debe ser presentado ante el ICANH para su evaluación y aprobación. En caso de contemplar actividades de intervención sobre el patrimonio arqueológico (prospección, excavación arqueológica, recolección superficial de material, conservación y restauración), el interesado deberá solicitar ante el ICANH la expedición de una Autorización de Intervención Arqueológica, cuyo procedimiento corresponderá al establecido por dicha entidad según lo establecido en el Decreto 1080 de 2015, Decreto Único Reglamentario del Sector Cultura modificado en la Parte VI “Patrimonio Arqueológico” por el Decreto 138 de 2019, y demás modificaciones, adiciones o reglamentaciones a que haya lugar.
ARTÍCULO 15. DETERMINANTES PARA LA INTERVENCIÓN ARQUEOLÓGICA. Tanto para el área afectada como para la zona de influencia del PAF, deben tenerse en cuenta las siguientes determinantes para la realización de prospecciones arqueológicas, adecuaciones locativas o intervenciones arqueológicas:
1 En tanto la remoción del suelo compromete la información arqueológica, las adecuaciones, mejoras o de intervenciones en conservación donde se contemple esta actividad, deberá solicitarse un concepto al ICANH sobre la viabilidad de las obras. En caso afirmativo, el ICANH determinará las medidas que deben implementarse, entre ellas la realización de una prospección o monitoreo arqueológico.
2 La administración del PAF realizará visitas de inspección regular a los sitios arqueológicos de la zona de influencia en compañía de personal especializado del ICANH y realizará actividades básicas de mantenimiento de acuerdo a los protocolos establecidos para ello.
ARTÍCULO 16. PRINCIPIOS PARA LA INTERVENCIÓN ARQUEOLÓGICA. Deben seguirse los siguientes principios definidos por el ICOMOS y consignados en las cartas internacionales relacionadas con la conservación, análisis, interpretación, gestión y divulgación de sitios patrimoniales, particularmente de sitios arqueológicos:
1 Todas las intervenciones arqueológicas deberán cumplir los estándares científicos fijados por el ICANH. Se ejecutarán y cumplirán a través de acciones de conservación, protección, registro, difusión, investigación científica y puesta en valor del patrimonio cultural de la nación.
2 Buscarán comprender a cabalidad las técnicas de elaboración y los procesos de deterioro de los vestigios arqueológicos.
3 Siempre que sea posible, las medidas que se adopten deben ser “reversibles”, es decir, que se puedan eliminar y sustituir por otras más adecuadas y acordes a los conocimientos que se vayan adquiriendo. En el caso de que las intervenciones en conservación no sean completamente reversibles, al menos no deberán limitar la posible ejecución de otras posteriores.
4 Cada intervención, tanto en arqueología como en conservación, deberán respetar, en la medida de lo posible, el concepto, las técnicas y los valores históricos de la configuración primigenia de las pinturas rupestres, así como de sus etapas más tempranas, y debe dejar evidencias que puedan ser reconocidas en el futuro.
5 Durante la intervención en conservación, y después de ésta, deben efectuarse comprobaciones y una supervisión que permitan cerciorarse de la eficacia de los resultados.
6 Todas las actividades de intervención en arqueología y conservación comprobación y supervisión deben registrarse, documentalmente y conservarse como parte de la historia del vestigio arqueológico.
7 Todas las labores de arqueología, conservación y documentación deben ser socializadas y divulgadas a la comunidad a través de actividades desarrolladas en el Parque con visitantes, investigadores y grupos focales, así como en espacios fuera del PAF tales como congresos y eventos académicos.
8 El compromiso y participación de la comunidad local debe ser promovido como un medio de promoción, protección y mantenimiento del patrimonio cultural.
ARTÍCULO 17. NIVELES PERMITIDOS DE INTERVENCIÓN EN CONSERVACIÓN ARQUEOLÓGICA. Los niveles permitidos de intervención en conservación arqueológica para el área afectada del PAF y su zona de influencia, son los siguientes:
1. Conservación integral: Se aplica a las rocas con evidencia arqueológica como la pintura rupestre, y que, por tener un valor excepcional e irremplazable deben ser preservados en su integridad. Por tanto, todos los procesos realizados sobre estos bienes deben ser realizados por conservadores restauradores profesionales, seguir los criterios definidos en este documento y la metodología de intervención aprobada, supervisada por el ICANH y debidamente documentados de acuerdo con los parámetros definidos por esta institución.
Tipo de obras permitidas: registro, análisis, evaluación, determinación de la potencialidad arqueológica, monitoreo, conservación o la combinación de estas modalidades que se realicen sobre los bienes arqueológicos, con intervención físico o no de los mismos.
Tipo de obras no permitidas: No se permite el daño de las rocas mediante rayones, perforaciones, inscripciones, grafitis, extracción o traslado. Tampoco se busca que las intervenciones alcancen el nivel de restauración, es decir en ningún caso se realizarán limpiezas excesivas o reintegraciones cromáticas que completan las formas en las pictografías.
2. Conservación contextual: Se aplica a las rocas sin evidencia arqueológica pero que, por ser parte fundamental del paisaje y del contexto deben ser conservados. Los procesos realizados deben tener la supervisión de un conservador-restaurador profesional, pero pueden ser ejecutados por personal capacitado para realizar la labor.
Tipo de obras permitidas: registro, análisis, evaluación, determinación de la potencialidad arqueológica, monitoreo, rescate, conservación o la combinación de estas modalidades que se realicen sobre los bienes arqueológicos, con intervención física o no de los mismos.
Tipo de obras no permitidas: No se permite el daño de las rocas mediante rayones, inscripciones, perforaciones, grafitis, extracción o traslado. Tampoco se busca que las intervenciones alcancen el nivel de restauración, es decir en ningún caso se realizarán limpiezas excesivas o a reintegraciones cromáticas que completan las formas en las pictografías.
ARTÍCULO 18. CRITERIOS PARA LA INTERVENCIÓN EN CONSERVACIÓN ARQUEOLÓGICA. Los siguientes criterios se basan en los establecidos por las cartas internacionales, así como por el conocimiento adquirido en los últimos años con los trabajos de conservación desarrollados por profesionales en Conservación- Restauración y bajo el seguimiento del ICANH sobre las pinturas rupestres, y las superficies de las rocas del PAF.
1. Mínima intervención: Se define como las labores mínimas necesarias para atenuar el avance del deterioro, estabilizar los bienes arqueológicos y recuperar su lectura. Este criterio supone que los deterioros que son irreversibles en tanto la piedra y el color de la pictografía se han alterado física y químicamente y no pueden devolverse a su estado inicial mediante los procesos que contempla la conservación arqueológica sean dejados además que sólo se intervenga el área más próxima a las pictografías y se conserve la vegetación que cubre la superficie y paredes de los abrigos y afloramientos. Se busca que los procesos y materiales sean lo menos invasivos para garantizar la autenticidad de las pinturas rupestres. Para definir el área a intervenir es importante tener en cuenta la morfología del abrigo rocoso y la ubicación de los motivos rupestres. En todos los casos el área de intervención debe contemplar desde el nivel del suelo hasta una altura superior a la de los motivos rupestres permitiendo la lectura de la unidad del conjunto pictográfico por parte del espectador.
2. Uso de materiales y técnicas de conservación estables y compatibles con las pictografías y el soporte pétreo: Para definir los materiales a utilizar en los procesos de conservación será siempre necesario realizar pruebas sobre las superficies rocosas en las zonas con y sin pictografías. Las pruebas deben ser previamente aprobadas por el ICANH.
3. Conservación arqueológica: Los procesos adelantados, en tanto intervienen bienes arqueológicos, propenderán a la conservación y no a la restauración de éstos. Por tanto, no se buscará completar formas en las pictografías o añadir trazos, sino más bien permitir una mejor lectura de los trazos rupestres existentes.
4. Dichos procesos además suponen atenuar el impacto de los deterioros que afectan la futura conservación de los conjuntos pictográficas e interfieren con su lectura. Lo anterior supone, por ejemplo, eliminar la totalidad de grafitis e inscripciones contemporáneos que cubran las superficies rocosas de abrigos y afloramientos; consolidar las capas pictóricas de las pictografías y pinturas republicanas cuando presenten falta de cohesión o desprendimientos.
5. Unidad: Se busca que el resultado de la intervención de conservación de la totalidad de abrigos, afloramientos y pinturas rupestres sea el mismo. Por tanto, la intervención que ya se ha adelantado en más del 70% de los conjuntos pictográficos dicta una pauta de intervención que debe continuarse. Las intervenciones venideras deben buscar acoplarse a esta intervención siguiendo los mismos criterios y una misma metodología de tal manera que para todos los conjuntos pictográficos se consiga una unidad en los resultados.
6. En los conjuntos donde simultáneamente se observan pictografías y pinturas murales republicanas, los procesos de documentación y conservación conservarán ambas expresiones; respetando la superposición de una con otra. En estos casos se mantendrá el nivel de intervención de conservación, por tanto, se estabilizarán las pinturas brindando una presentación de los faltantes sin restaurar los valores estéticos.
ARTÍCULO 19. INTERVENCIÓN EN CONSERVACIÓN ARQUEOLÓGICA. Las acciones de conservación que se realicen en los conjuntos pictográficos tendrán siempre que estar previamente aprobadas por el ICANH, ser ejecutadas por conservadores restauradores y estar debidamente documentadas. Dichas acciones deberán cumplir los principios, niveles y criterios establecidos en este PEMP.
ARTÍCULO 20. ZONIFICACIÓN ARQUEOLÓGICA DEL PAF. Para cumplir con los objetivos propuestos, retomando la clasificación realizada por el PMA (2005), se establece la siguiente clasificación de zonas:
1. Zona de afectación directa: La constituyen las rocas con y sin pinturas rupestres y su área circundante. En esta zona se encuentran también dos esculturas que representan imágenes de tunjos antropomorfos instaladas sobre pedestales en los años ochenta y no responden a la propuesta museológica planteada para el PAF. Es por ello que deben ser retiradas.
Contará con senderos de interpretación arqueológica y ambiental (exclusivamente peatonales), barreras de protección en los conjuntos pictográficos, señalética, infografías en puntos de observación (miradores), estaciones o puntos de hidratación, información y servicios.
La capacidad de carga efectiva de esta zona es equivalente a la del sendero interpretativo y corresponde a 251 personas por día según lo establecido para este PEMP, a partir de las condiciones actuales del PAF.
2. Zona de afectación indirecta: Como área de afectación indirecta se entienden los bienes arqueológicos que se encuentran en los predios colindantes al PAF, delimitados por el área de influencia definida por el PEMP.
Para el área de afectación indirecta, particularmente los predios de la Escuela de Comunicaciones del Ejército Nacional y el predio denominado Zipalandia se aplica el régimen legal y los lineamientos técnicos de arqueología preventiva regulados por el ICANH, pues son predios con más de una hectárea donde pueden darse actividades de urbanización, parcelación o construcción.
En esta área no se permiten las fogatas en proximidad a las rocas, su daño mediante rayones, perforaciones, inscripciones, grafitis, la extracción o traslado de las rocas, o intervenciones no aprobadas por el ICANH sobre la superficie de las rocas.
ARTÍCULO 21. ACTIVIDADES PERMITIDAS Y RESTRINGIDAS EN LA ZONA DE AFECTACIÓN DIRECTA.
1. Permitidas
1.1. Actividades de conservación, investigación e interpretación, así como actividades de recreación pasiva como caminatas, observación de flora y fauna y contemplación.
1.2. En el área de la rotonda se permiten además actividades culturales debidamente autorizadas por comité técnico operativo del PAF.
2. Restringidas
2.1. Actividades distintas a las permitidas y cuyo número de visitantes supere la capacidad de carga efectiva del sendero interpretativo.
2.2. Fogatas, daño de las rocas mediante marcas, rayones, perforaciones, inscripciones, grafitis, extracción o traslado de las pictografías o las rocas, el mojar parcial o totalmente las pictografías. Según la ley colombiana, cualquier daño al patrimonio arqueológico como es el arte rupestre del PAF es punible.
2.3. Intervenciones no aprobadas por el ICANH sobre la superficie de las rocas o el suelo.
2.4. Instalación de infografía y señalética adicional a la aprobada por este PEMP y el ICANH y que interfiera con la apreciación de los conjuntos pictográficos.
2.5. Ingreso al interior de los cerramientos de personal no autorizado por la administración del parque y el ICANH.
2.6. Ocupación temporal o permanente de la parte baja de las rocas con equipos de sonido o iluminación.
2.7. Alteración, cambio o movimiento de las rejas de los cerramientos que no haya sido autorizada por el ICANH.
2.8. Circulación de personas en los bordes de las partes altas de las formaciones rocosas.
2.9. Iluminación nocturna.
ARTÍCULO 22. ACCIONES DE CONSERVACIÓN ARQUEOLÓGICA. Las siguientes constituyen acciones de implementación necesaria en las labores de mantenimiento periódico del PAF:
1. Para evitar que durante la poda de la vegetación las superficies pétreas sean rayadas se deberá sustituir en los primeros 20 cm. de los bordes de las rocas, el pasto por gravilla (piedras de pequeño tamaño). Este procedimiento además de contribuir a la mejor apreciación de los conjuntos pictográficos permitirá controlar la ascensión de la humedad en la piedra y deberá adelantarse en el corto plazo.
2. Otra de las necesidades desde el punto de vista de la conservación que deben solucionarse pronto es la sustitución del mortero que cubre las oquedades presentes en la parte alta de los conjuntos pictográficos 20A a 20G por lascas de piedra arenisca. Este procedimiento fue realizado en los conjuntos 19 y 20 y ha resultado eficiente pues impide que las aves aniden allí, cosa que ya no está permitiendo el mortero da las partes altas de los conjuntos 20A a 20G.
3. Adicionalmente se deberán implementar los siguientes procedimientos:

Tabla 4. Procedimientos a implementar en los procesos de conservación del PAF
ARTÍCULO 23. MANTENIMIENTO GENERAL DEL PAF. El mantenimiento se define como “el conjunto de acciones necesarias para garantizar la estabilidad, el buen estado y la conservación del patrimonio cultural; debe partir de una planeación establecida con tareas diarias, semanales, quincenales, mensuales, trimestrales y anuales y debe estipular responsabilidades”(1).
El mantenimiento deberá ser una labor planeada para lo cual es indispensable tener en cuenta tres aspectos: cantidad de personal, herramientas y materiales, por tanto, esta planeación debe organizarla el director general del PAF de acuerdo a la disponibilidad que tenga de estas condiciones.
El mantenimiento regular permitirá identificar cambios o alteraciones en los bienes arqueológicos; por esto es importante resaltar que toda modificación observada durante las labores de mantenimiento como grafitis o marcas sobre los abrigos rocosos, crecimiento de vegetación dentro de los cerramientos, cerramientos en mal estado o huecos en el suelo deben ser reportados inmediatamente al director general del PAF, y éste, a su vez, debe informarlo a la coordinación de patrimonio del ICANH, ya que cualquier intervención que se realice sobre los conjuntos pictográfico, rocas y suelo del PAF debe ser aprobada primero por esta institución.
En el PAF las labores de mantenimiento deberán incluir la recolección de basuras y la poda y siembra de vegetación y pasto.
Se deberá implementar el siguiente protocolo de mantenimiento aprobado por el ICANH que debe ser también considerado dentro de las actividades rutinarias de mantenimiento:

A largo plazo, el personal con el cual se debe contar para el desarrollo de las actividades de mantenimiento del PAF es: un restaurador, dos asistentes, cuatro trabajadores de mantenimiento general más el personal administrativo.
ARTÍCULO 24. SISTEMA DE PROTECCIÓN O CERRAMIENTOS DE LOS ABRIGOS ROCOSOS CON PICTOGRAFÍAS EN EL PAF. Dado que los deterioros que más han afectado la conservación de los conjuntos pictográficos son aquellos de origen antropogénico (grafitis, inscripciones, rayones, perforaciones, etc.) la construcción de cerramientos representa una medida necesaria para asegurar la protección del arte rupestre en el PAF.
Los cerramientos existentes, que protegen buena parte de los conjuntos pictográficos, pero no su totalidad, requieren de mantenimiento a corto plazo. Adicionalmente, en el mediano plazo, se deberá adelantar la instalación de los cerramientos en los conjuntos que no están protegidos y, a largo plazo, debe considerarse el diseño y elaboración de nuevos cerramientos de conjuntos pictográficos.
El mantenimiento de los cerramientos hoy existentes deberá estar a cargo del administrador del PEMP. A continuación, se describen los conjuntos y los metros lineales de cerramiento que deben ser aun instalados (un total de 189,2 m): Conjunto pictográfico 1 (15m), 1A (30m), 2 (10m), 3 (4m), 6 (9m), 56 (11m), 55 y 39 (14 m), 33 (6,7m), 32 (7m), 22 (18m), 28 (9m), 15 (1m en la parte baja), 17 (2m), 18 (20,5 m), 25 (17m), 29 (15m).
COMPONENTE AMBIENTAL.
ARTÍCULO 25. ZONIFICACIÓN DE MANEJO AMBIENTAL DEL PAF. La zonificación de manejo ambiental permite diferenciar espacial y temporalmente las características estructurales y funcionales de un territorio, evaluando las unidades ambientales del PAF, en torno a las siguientes categorías, de acuerdo a lo establecido en el plano PL 05: Zonificación de manejo ambiental del PAF:
1. Restauración
2. Uso sostenible
3. Preservación
ARTÍCULO 26. ZONA DE RESTAURACIÓN AMBIENTAL DEL PAF. La zona de restauración ecológica corresponde a un área con potencial para desarrollar coberturas vegetales en un estado de madurez superior al encontrado en la actualidad. El propósito de la restauración es generar, orientar y acelerar el proceso de regeneración natural de la vegetación propia del lugar.
Esta zona corresponde a aquellas coberturas que cuentan con el potencial para ser restauradas pero que aún no alcanzan la dinámica necesaria para dicho proceso a la velocidad y en el sentido deseado, como es el caso del bosque fragmentado, el bosque secundario y el herbazal abierto.
El potencial de restauración ecológica es una estimación previa del máximo viable de recuperación de los atributos del ecosistema de referencia. Se basa en la evaluación de variables que incluyen la valoración de las características físicas, bióticas y sociales del área.
Específicamente la propuesta para el PAF incluirá la definición de unos objetivos y estrategias de restauración de acuerdo al potencial descrito anteriormente y proponiendo diseños de restauración adecuados a cada zona.
ARTÍCULO 27. ZONA DE USOS SOSTENIBLE DEL PAF. La zona de uso sostenible tiene como principal objetivo la construcción del tejido urbano, de acuerdo con lo establecido para el manejo del PAF, para estas zonas no se presentan afectaciones y restricciones ambientales. En esta zona se encuentran las coberturas con menor valor ambiental y de menor sensibilidad como los pastos limpios y el tejido urbano discontinuo.
En esta zona se encuentran las estructuras relacionadas con cerramiento, accesos, senderos, mobiliarios, infraestructura administrativa y de servicios, etc.
Esta área debe integrarse paisajísticamente de manera coherente con las demás áreas del parque, aportando ornato y permitiendo el disfrute de la comunidad visitante de la oferta cultural y de un ambiente agradable y sano.
ARTÍCULO 28. ZONA DE PRESERVACIÓN AMBIENTAL DEL PAF. La zona de preservación ambiental tiene el principal objetivo de preservar y conservar los elementos naturales. En el PAF se definen como zonas de preservación las correspondientes a los valores más altos en términos de sensibilidad ambiental, que corresponden a los cuerpos de agua y al bosque ripario asociado a los mismos. Las rondas hídricas existentes por norma en el municipio de Facatativá corresponden a la franja de 30 m. contigua a los cuerpos de agua y que corresponde a suelo de protección ambiental. En la zona de preservación ambiental se encuentra inmersa la mencionada ronda hídrica.
El manejo ambiental de esta zona se orienta hacia la implementación de medidas en pro de la restauración ecológica de los ecosistemas presentes, mejorando la composición, estructura y función del ecosistema y favoreciendo la prestación de servicios ambientales para el parque.
Esta zona se considera viable para aplicar estrategias de restauración ecológica que promuevan la regeneración natural.
NORMA URBANÍSTICA EN EL ÁREA AFECTADA DEL PAF.
ARTÍCULO 29. PRINCIPIOS PARA LA NORMATIVA URBANÍSTICA DEL ÁREA AFECTADA DEL PAF. Los lineamientos normativos son una herramienta para la protección paisajística y arqueológica del PAF, en concordancia con los objetivos generales propuestos por el PEMP. Así, se establecen los siguientes criterios de intervención para todo lo relacionado con el desarrollo de infraestructura del PAF:
1. Mantener las zonas actuales de localización de construcciones como áreas de desarrollo de infraestructura, con el fin de no generar mayor dispersión y saturación del paisaje con edificaciones.
2. Las nuevas construcciones deberán tener alturas bajas y no ser masivas, buscando integración y armonía con el paisaje, en lugar del protagonismo propio de la edificación.
3. Toda intervención del área afectada deberá observar los principios generales de intervención establecidos en el artículo 2.4.1.4.3. del Decreto 1080 de 2015 o aquellos que los adicionen o modifiquen.
4. La construcción o adecuación de senderos peatonales deberá preservar el valor paisajístico del parque, de forma que prime la condición natural del sitio.
5. No construir vías vehiculares adicionales a la existente. Se puede mejorar el diseño de la vía existente, sin aumentar su ancho en más del 50%.
6. No construir superficies para estacionamientos adicionales a las existentes.
7. Procurar la accesibilidad universal a la mayor parte de las áreas construidas y a los puntos más importantes del recorrido.
8. Incluir diseño bioclimático para las nuevas edificaciones, con el fin de minimizar el consumo de recursos energéticos y contribuir a la sostenibilidad del parque.
ARTÍCULO 30. TRATAMIENTO URBANÍSTICO PARA EL ÁREA AFECTADA DEL PAF. Se asigna el tratamiento de conservación arquitectónica y urbanística a la totalidad del área afectada del PAF.
ARTÍCULO 31. DIRECTRICES DE USO PARA EL ÁREA AFECTADA DEL PAF. Las siguientes son las directrices para el uso del PAF:
1. Fortalecer la vocación arqueológica, educativa, investigativa y ambiental del PAF, a través de la delimitación de áreas de interpretación y la definición de medidas de control de usos de alto impacto.
2. Reconocer la práctica de la contemplación, el disfrute y la recreación pasiva de las áreas libres PAF.
3. Aprovechar el interés y la apropiación de usuarios frecuentes del PAF, dando continuidad a medidas de uso tales como las deportivas asociadas a un horario específico.
4. Implementar los lineamientos del estudio de capacidad de carga.
ARTÍCULO 32. CAPACIDAD DE CARGA DEL ÁREA AFECTADA DEL PAF. La capacidad de carga real actual para la totalidad del área del PAF es de 1.270 personas simultáneamente. Una vez se implementen las medidas establecidas por el presente PEMP, y se desarrollen los proyectos formulados por el mismo, la capacidad de carga real será de 3.200 personas.
En cuanto a los senderos interpretativos (principal y secundarios), la capacidad de carga real actual es de 251 personas simultáneamente. Una vez se implementen las medidas establecidas por el presente PEMP y se desarrollen los proyectos formulados por el mismo, la capacidad de carga real será de 633 personas.
La administración del PAF deberá velar por el estricto cumplimiento de lo anterior.
ARTÍCULO 33. USOS PERMITIDOS ÁREA AFECTADA DEL PAF. El uso principal del PAF es equipamiento dotacional cultural de escala urbana. Sin embargo, la propuesta de usos complementarios permitidos al interior del mismo, corresponderá con la definición de los siguientes sectores de uso, de acuerdo a lo establecido en el plano PL 03: Sectores normativos del área afectada del PAF, el cual hace pa1rte integral de la presente Resolución:




PARÁGRAFO. Las actividades y usos no incluidos en la anterior tabla deben entenderse prohibidas.
ARTÍCULO 34. ZONA DE RECREACIÓN PASIVA DEL PAF. La constituyen los sectores donde la topografía, la cobertura vegetal y el lago, permiten la realización de actividades de recreación pasiva tales como caminatas, juegos y contemplación.
Esta zona considera igualmente el circuito vial donde, en el horario de acceso a deportistas (5:00 a.m. - 8:00 a.m.), se podrán desarrollar actividades deportivas como caminata, gimnasia y atletismo. El uso de bicicleta se permite de manera restringida únicamente por las vías existentes o aquellas que se diseñen para ello.
La capacidad de carga efectiva de esta zona es de 1.270 personas por día, según lo establecido para este PEMP para las condiciones actuales del PAF.
Se permiten actividades de esparcimiento al aire libre relacionadas con contemplación, juegos y deportes de bajo impacto en el horario establecido para ello.
Restringe fogatas, deportes de aventura como ciclomontañismo, escalada en roca o rapel, poda indiscriminada, quema, tala y siembra de especies distintas a lo establecido por el Componente ambiental de este PEMP, actividades distintas a las permitidas y cuyo número de visitantes supere la capacidad de carga efectiva de la zona, intervenciones no aprobadas por el ICANH y el Ministerio de Cultura, instalación de infografía, señalética e iluminación nocturna adicional a la aprobada por este PEMP y por las entidades competentes ICANH y Ministerio de Cultura.
PARÁGRAFO. No se podrá utilizar la superficie de las rocas para ningún tipo de actividad deportiva.
ARTÍCULO 35. ÁREA ADMINISTRATIVA DEL PAF. Comprende la infraestructura e instalaciones dedicadas a la administración, la acogida de visitantes, el comercio y la prestación de servicios de hidratación y alimentación, sanitarios, y de parqueaderos. Contempla:
1. Edificios y áreas donde se aloja la administración del parque y se desarrollan funciones relacionadas con la vigilancia, el mantenimiento del sitio y la acogida de visitantes (portal de entrada, portería, taquilla, bodega, taller, casa administrativa).
2. Edificios y áreas donde se prestan servicios sanitarios, de hidratación y alimentación, y parqueaderos.
3. El centro de interpretación donde se realizan actividades de divulgación y educación, podrá ser además ser punto de distribución de material didáctico, publicaciones, venta de artesanías y recuerdos, sala de conferencias, exposiciones, cartelera informativa, inicio de recorrido por senderos de interpretación.
La capacidad de carga efectiva de esta zona es de 1.270 personas por día, según lo establecido para este PEMP para las condiciones actuales del PAF.
En esta zona se permite que se realicen labores administrativas, intercambios comerciales necesarios la sostenibilidad del parque, así como actividades que aseguren la divulgación de los valores del PAF y que permitan la comodidad y disfrute de la visita.
Implica el desarrollo armónico de actividades compatibles con los usos permitidos en el PAF y cuyo número de visitantes no supere la capacidad de carga efectiva de la zona de recreación pasiva, Las intervenciones realizadas no deben causar impactos negativos como la remoción de suelo arqueológico o la pérdida de información arqueológica, principalmente en aspectos como adecuación, mejoramiento o nuevas construcciones. Tampoco se debe considerar la instalación de infografía y señalética adicional a la aprobada por este PEMP y el ICANH.
ARTÍCULO 36. RESTRICCIONES Y PROHIBICIONES ESPECIALES DE USO DEL PAF.
1. La vocación y uso principal del PAF es cultural; por lo tanto, paulatinamente y previo desarrollo de una estrategia de sensibilización se deberá establecer horarios de acceso especial a visitantes con mascotas y una adecuada recolección de residuos y excrementos, esta determinación es imprescindible dado que esta actividad ha generado afectación a la fauna del lugar y a la vocación arqueológica del mismo.
2. Se deberá caminar únicamente por los senderos designados para uso de los visitantes y se atenderán las señales para la orientación. No se permite caminar ni escalar en los bordes de las rocas, pues estas zonas representan un riesgo alto de accidente generar deterioros de abrasión por la fricción con el calzado.
3. Se prohíbe pintar, rayar o marcar las rocas y el arte rupestre. Esta es una falta contra el patrimonio y constituye hecho punible y puede causar deterioros irreversibles.
4. No se podrá cortar ningún tipo de vegetación ni generar incisiones en las rocas. El ingreso de los objetos corto-punzantes está prohibido dentro del PAF.
5. Se prohíbe realizar cualquier tipo de fuego, fogata, instalación de asadores o fogones.
6. Se prohíbe arrojar basura en el PAF. Únicamente se debe dejar la basura en los puntos destinados para ello.
7. No se permite el consumo y expendio de bebidas alcohólicas o sustancia psicoactivas dentro del PAF.
8. La velocidad máxima en la vía vehicular es de 40 km/h.
9. El uso de las bicicletas debe darse únicamente sobre la vía vehicular. Se deberá dar cumplimento a las disposiciones del Código Nacional de Tránsito.
10. En el caso de filmaciones, se requiere de la autorización de la administración del PAF, ningún equipo de producción podrá generar impactos negativos en el suelo o el ambiente del PAF.
11. Solo se permite la presencia de visitantes durante el horario de servicio al público. Se prohíbe la permanencia de público después del cierre del PAF.
12. En el lago solo se permite la realización de actividades con vocación exclusivamente cultural. Se requiere el cumplimiento de las medidas de seguridad según la normativa vigente.
ARTÍCULO 37. ÍNDICE DE OCUPACIÓN MÁXIMO PERMITIDO EN EL ÁREA AFECTADA DEL PAF. El índice máximo de ocupación permitido para el área afectada del PAF busca la protección de los valores arqueológicos y paisajísticos, y se asigna de acuerdo a los sub-sectores de uso, así:


ARTÍCULO 38. ALTURA MÁXIMA PERMITIDA EN EL ÁREA AFECTADA DEL PAF. La altura máxima permitida para el desarrollo de nuevas edificaciones u otros elementos construidos será producto de un estudio riguroso por cada caso en virtud del menor impacto visual en el paisaje. Se deberá mantener un perfil de baja altura de máximo tres (3) metros. Se requiere presentar un estudio de las visuales del proyecto con relación a los abrigos o afloramientos rocosos.
En cualquier caso, las edificaciones no deben sobrepasar la altura de los abrigos y afloramientos rocosos.
PARÁGRAFO 1o. En caso de que se requiera la construcción de espacios con características especiales como auditorios, escenarios o salas de exposición, entre otros, estas podrán elevarse hasta cinco (5) metros, sin embargo, deberán ser producto de un estudio riguroso por cada caso en virtud del menor impacto visual en el paisaje y sin sobrepasar la altura de los abrigos y afloramientos rocosos.
PARÁGRAFO 2o. Para las construcciones existentes al momento de la expedición del presente PEMP, que tengan una altura mayor a la altura máxima permitida de tres (3) metros, se debe propender por la liberación de esta área en el marco de un programa de relocalización. En este sentido, se restringen nuevos usos y una mayor edificabilidad a la existente actualmente.
ARTÍCULO 39. AISLAMIENTOS MÍNIMOS EN EL ÁREA AFECTADA DEL PAF. Para los aislamientos se deberán atender las siguientes disposiciones:
- Entre el perímetro del PAF y las edificaciones se deberá mantener un aislamiento mínimo de quince metros (15 m).
- Entre las rocas (abrigos y afloramientos) y las edificaciones se deberá mantener una distancia mínima de cincuenta metros (50 m).
PARÁGRAFO 1o. En los dos casos, dicho aislamiento estará sujeto a la evaluación y aprobación, por parte del Ministerio de Cultura, y esta determinará la mejor opción de aislamiento en virtud del menor impacto visual en el paisaje.
PARÁGRAFO 2o. Para las construcciones existentes al interior del PAF al momento de la expedición de esta Resolución que se encuentren a menos de la distancia mínima mencionada, se procurará su traslado hacia las áreas con bajo potencial arqueológico a fin de generar la mínima afectación al PAF.
ARTÍCULO 40. SÓTANOS Y SEMISÓTANOS EN EL ÁREA AFECTADA DEL PAF. Se prohíbe la construcción de sótanos y semisótanos, con el fin de evitar grandes excavaciones y alteración del subsuelo. El diseño de la cimentación de las edificaciones deberá considerar esta misma condición, con el fin de generar el menor impacto posible.
ARTÍCULO 41. ACCESIBILIDAD AL ÁREA AFECTADA DEL PAF. Se mantendrá como acceso principal el actual, localizado sobre la Calle 5, el cual debe ser adecuado para que haya ingreso diferenciado para peatones y vehículos. El acceso dispuesto sobre el predio identificado con la matrícula inmobiliaria 156-109122, conocido como “Zipalandia”, funcionará como salida de emergencia. No obstante, una vez se consolide esta vía de acceso como público, se podrá tener este acceso como salida permanente, a fin de que el eje vehicular sea de un solo sentido, de esta manera, consolidar el acceso sobre la Calle 5 y disminuir el impacto sobre la movilidad de esta última.
ARTÍCULO 42. MOVILIDAD EN EL ÁREA AFECTADA DEL PAF. La vía vehicular tendrá un solo sentido en procura del menor impacto a los abrigos y afloramientos rocosos, y deberá mantenerse el trazado vigente sin desarrollar trazados adicionales. La capa de rodadura en la vía vehicular podrá mantenerse en asfalto como se encuentra actualmente; sin embargo, el diseño de cañuelas a lado y lado y la implementación de otros materiales de acabado se podrán incorporar a partir del diseño del proyecto integral del PAF con el propósito de favorecer un menor impacto visual y ambiental.
De otra parte, el trazado de senderos peatonales deberá corresponder con lo desarrollado en el guion museológico del PAF. Las especificaciones técnicas para el diseño de nuevos senderos deberán garantizar su estabilidad, adecuado manejo de aguas superficiales y procurar en lo posible la accesibilidad universal. Los materiales de acabado, así como, el desarrollo de un carril especial para bicicletas y el andén para peatones o pista de trote, se establecerán en el proyecto de diseño integral del PAF, procurando armonía con el paisaje.
ARTÍCULO 43. ESTACIONAMIENTOS EN EL ÁREA AFECTADA DEL PAF. Se mantendrán las dos grandes áreas de estacionamiento actuales y se eliminarán las bahías que se encuentran a los lados de la vía vehicular. La administración del PAF deberá velar por la prohibición y control de estacionamientos en el borde de la vía, zonas verdes y áreas no autorizadas en general.
En el diseño de las nuevas edificaciones se podrán integrar pequeñas áreas para acceso de vehículos de carga y descarga, vehículos de emergencia o un número limitado de vehículos para administración y manejo del PAF.
ARTÍCULO 44. ROTONDA Y MIRADORES EN EL ÁREA AFECTADA DEL PAF. Se conservará la rotonda como espacio de encuentro principal, el cual requerirá de acciones de mantenimiento. Se mantendrá como espacio abierto, por lo cual, se prohíbe cualquier construcción en este espacio.
El diseño de los miradores propuestos en el guion museológico deberá incluirse en el proyecto integral del PAF, que en general propenderá por el valor paisajístico del lugar, adaptándose a la topografía y entorno inmediato.
ARTÍCULO 45. SEÑALIZACIÓN Y MOBILIARIO EN EL ÁREA AFECTADA DEL PAF. Cualquier tipo de señalización y mobiliario a instalar en el PAF, deberá seguir los lineamientos establecidos en Guion Museológico de PAF (ISBN Editorial Ministerio de Cultura 978- 958-753- 379-8. Obra independiente 2020) y el Manual de Identidad Parque Arqueológico de Facatativá (forma parte integral de la presente Resolución), con el fin de mantener la unidad de diseño.
ARTÍCULO 46. AVISOS COMERCIALES Y PUBLICITARIOS EN EL ÁREA AFECTADA DEL PAF. Se prohíbe la instalación temporal o permanente de vallas publicitarias, pasacalles o cualquier aviso de carácter comercial, político o publicitario.
En concordancia con lo establecido en el literal b del Artículo 3o de la Ley 140 de 1994, sobre publicidad exterior visual, no se permite utilizar el parque para hacer publicidad o propaganda de cualquier naturaleza.
Se permite la instalación de avisos de carácter transitorio únicamente relacionados con el PAF como carteles destinados a la difusión de eventos, espectáculos, o actividades culturales y educativas del sitio, sólo en carteleras, mogadores, o soportes que sean diseñados para tal fin y sean aprobados por el Ministerio de Cul tura.
No se permiten avisos de carácter comercial o publicitario luminosos (neón, pantallas, pixeles móviles, entre otros), ni pintados directamente sobre paredes o pisos.
ARTÍCULO 47. REDES DE SERVICIOS PÚBLICOS EN EL ÁREA AFECTADA DEL PAF. Las redes de servicios públicos deben ubicarse de preferencia en el subsuelo, como medida para el mantenimiento del paisaje natural y evitar la cercanía con los abrigos rocosos, especialmente de la red eléctrica. Las redes que no se puedan soterrar y se ubiquen en el espacio aéreo se dispondrán de modo que no obliguen la tala de árboles, que no compitan con los abrigos y afloramientos rocosos, y que no representen riesgo para la circulación de peatones y vehículos y que no generen impactos negativos en el PAF.
No se permite la instalación de antenas de transferencia de comunicación, ni parabólicas. La instalación de tanques de agua debe estar contemplada al interior de las edificaciones. Estas instalaciones no pueden quedar a la vista.
ARTÍCULO 48. RÉGIMEN DE TRANSICIÓN PARA LOS USOS EXISTENTES EN EL ÁREA AFECTADA DEL PAF. Los usos existentes en el área afectada a la fecha de expedición de este PEMP que ofrezcan bienes y servicios en el PAF, contarán con un régimen de transición de un año calendario, contado a partir de la entrada en vigencia de la presente Resolución. Una vez cumplido el régimen de transición sin que se ajusten a lo normado en el presente PEMP, se solicitará la entrega de los espacios y se dará por terminado de manera permanente el contrato, acuerdo o cualquier figura de aprovechamiento de uso.
NORMA URBANÍSTICA EN LA ZONA DE INFLUENCIA DEL PAF.
ARTÍCULO 49. SECTORES NORMATIVOS DE LA ZONA DE INFLUENCIA DEL PAF. Para la aplicación de la normativa urbanística del presente PEMP, en la zona de influencia del PAF, se definen los siguientes sectores normativos, de acuerdo a lo establecido en el plano PL 04: Sectores normativos de la zona de influencia del PAF, el cual hace parte integral de la presente Resolución:



ARTÍCULO 50. REGLAMENTACIÓN EN MATERIA DE NORMA URBANA PARA LA ZONA DE INFLUENCIA DEL PAF. Las siguientes disposiciones están dirigidas a mantener las calidades paisajísticas y visuales del PAF, y a mitigar situaciones que puedan afectar los valores culturales del mismo. Para efectos de este PEMP, son objeto de definición para cada uno de los sectores normativos de la zona de influencia, los siguientes aspectos:
1. Tratamiento urbanístico
2. Densidad o número máximo de pisos
3. Usos permitidos y condicionados
4. Requerimiento especial de manejo arqueológico.
El desarrollo de cualquier intervención en la zona de influencia del PAF deberá dar estricto cumplimiento a las siguientes directrices para cada uno de los sectores normativos:










PROPUESTA URBANA DEL PAF.
ARTÍCULO 51. PROPUESTA URBANA DEL PAF. Con el objetivo de mejorar las relaciones urbanas existentes entre el área afectada y su zona de influencia, la administración municipal de Facatativá y la administración del PAF, deberán velar por el cumplimiento de los siguientes principios esenciales:
1. Cualificación y recuperación del espacio público.
2. Consolidación de la función del PAF como equipamiento dotacional cultural de escala urbana.
3. Generación de una propuesta de movilidad vehicular y peatonal que permita la articulación del PAF en el contexto urbano, garantice una accesibilidad óptima al mismo, y mitigue los impactos negativos.
ARTÍCULO 52. PROPUESTA DE ESPACIO PÚBLICO DEL PAF. En cuanto al manejo del espacio público se deberá dar cumplimiento a lo siguiente:
1. Desarrollar el Programa de Consolidación Física del PAF, el cual incluye para el manejo del espacio público, entre otras acciones, las siguientes:
1.1. Diseño Integral de espacio público, infraestructura y servicios de apoyo del PAF.
1.2. Diseño e instalación de mobiliario general y señalética (bancas, canecas, contenedores, luminarias, entre otros).
1.3. Construcción de puntos de servicio: hidratación, comercio, entre otros.
1.4. Adecuación o mantenimiento del circuito vial/peatonal.
1.5. Diseño y construcción del acceso al PAF, con ingreso peatonal separado del vehicular, taquilla y portería.
2. Garantizar la recuperación y el mantenimiento del espacio público perimetral del PAF (andenes), en óptimas condiciones, sin ventas ambulantes u otras actividades que lo ocupen informalmente.
ARTÍCULO 53. PROPUESTA DE EQUIPAMIENTOS DEL PAF. Para la consolidación de la propuesta de equipamientos se deberá dar cumplimiento a lo siguiente:
1. Desarrollar el Programa de Consolidación Física del PAF, el cual define para la consolidación de la propuesta de equipamientos, lo siguiente:
1.1. Diseño Integral de espacio público, infraestructura y servicios de apoyo del PAF.
1.2. Construcción de un centro de interpretación.
1.3. Diseño, suministro e instalación de baterías de baños.
1.4. Adecuación temporal del restaurante, casas del acceso y quioscos.
1.5. Restablecimiento de linderos.
1.6. Plan de prevención, preparación y respuesta ante emergencias.
1.7. Diseño y construcción del área administrativa del PAF.
2. Propender por una vinculación activa de la población vinculada a los equipamientos educativos, recreativos y de seguridad localizados en la zona de influencia, a través de las iniciativas que conforman el Programa de Educación, Divulgación y Comunicación del PAF.
ARTÍCULO 54. PROPUESTA DE MOVILIDAD Y ACCESIBILIDAD AL PAF. Para el cumplimiento de las condiciones de movilidad y accesibilidad al PAF, se deberá dar cumplimiento a lo siguiente:
1. Desarrollar el Programa de Consolidación Física del PAF, el cual establece para el mejoramiento de la propuesta de movilidad y accesibilidad, lo siguiente:
1.1. Adecuación o mantenimiento del circuito vial/peatonal.
1.2. Diseño y construcción del circuito vial, red de senderos y estacionamientos.
2. Se mantendrá como acceso principal el actual, localizado sobre la Calle 5, el cual debe ser adecuado para que haya ingreso diferenciado para peatones y vehículos. El acceso dispuesto sobre el predio identificado con la matrícula inmobiliaria 156-109122, denominado Zipalandia, funcionará como salida de emergencia; una vez se consolide esta vía de acceso como pública, se podrá tener este acceso como secundario, para disminuir el impacto sobre la movilidad de la Calle 5.
3. La vía vehicular tendrá un solo sentido, contrario a las manecillas del reloj a partir del ingreso. Se mantendrá el trazado vigente, con una ampliación de máximo el 50% del ancho actual, con el fin de mejorar el perfil con un carril especial para bicicletas, andén para peatones (o área de trote) y cañuelas (a ambos lados). La capa de rodadura en la vía vehicular podrá mantenerse en asfalto como se encuentra actualmente; sin embargo, a partir de diseño del proyecto integral del parque podrá optarse por otros materiales que tengan menor impacto visual y ambiental.
4. El trazado de senderos peatonales deberá corresponder con lo desarrollado en el guion museológico del PAF. Las especificaciones técnicas para el diseño de nuevos senderos deberán garantizar su estabilidad, adecuado manejo de aguas superficiales y procurar en lo posible la accesibilidad universal. Los materiales de acabado se establecerán en el proyecto de diseño integral del PAF, procurando armonía con el paisaje.
5. Se mantendrán las dos grandes áreas de estacionamiento actuales y se eliminarán las bahías que se encuentran a los lados de la vía vehicular. La administración del PAF deberá velar por la prohibición y control de estacionamientos en el borde de la vía, zonas verdes y áreas no autorizadas en general.
6. En el diseño de las nuevas edificaciones se podrán integrar pequeñas áreas para acceso de vehículos de carga y descarga, vehículos de emergencia o un número limitado de vehículos para administración y manejo del parque.
ASPECTOS ADMINISTRATIVOS.
ARTÍCULO 55. CONCEPTUALIZACIÓN DE LA PROPUESTA DE MANEJO ADMINISTRATIVO DEL PAF. La misión del PAF es la preservación, la divulgación y la sostenibilidad del patrimonio arqueológico, a través de la provisión de acceso, de programas experienciales y de la presentación interpretativa del mismo, basada en el conocimiento científico.
El PEMP presenta un esquema operacional que permite obtener los recursos necesarios para la implementación de programas orientados a la puesta en valor y la conservación de los afloramientos y abrigos rocosos, la vegetación nativa y el arte rupestre a partir del aprovechamiento sostenible de los recursos culturales. Para ello, se plantean diversas fuentes de financiación estatales, público - privadas y de organismos multilaterales que potencien su capacidad operacional.
ARTÍCULO 56. ESTRUCTURA ADMINISTRATIVA DEL PAF. El manejo administrativo del PAF deberá regirse por la siguiente estructura:

ARTÍCULO 57. PROPIEDAD DEL PAF. El PROPIETARIO del PAF, actualmente Ministerio de Cultura, deberá efectuar la transferencia de la propiedad del PAF al ICANH, de conformidad con el Decreto No. 812 de 1961, y el cumplimiento de las obligaciones derivadas de su mantenimiento y operación estarán a cargo del comodatario y serán definidas por medio del acto jurídico que formalice la administración del BIC, las cuales se ajustarán a las determinantes del presente PEMP.
ARTÍCULO 58. EJECUCIÓN DEL PEMP. El PROPIETARIO del PAF, concederá la administración por medio de la suscripción de un contrato de comodato. Este ADMINISTRADOR tendrá dentro de sus obligaciones del respectivo comodato la ejecución del PEMP.
Para el desarrollo de su actividad y el cumplimiento de sus fines, el ADMINISTRADOR deberá contar con la capacidad especializada necesaria para gestionar el PAF y garantizar la recuperación, protección y sostenibilidad, cumpliendo con los objetivos establecidos en este PEMP.
PARÁGRAFO. El PROPIETARIO podrá optar por ejercer la administración del PEMP por intermedio del ADMINISTRADOR, o directamente, en el caso de que el contrato entre este y el Ministerio de Cultura quede sin vigencia, fuese suspendido o terminase por alguna causal establecida en el contrato de comodato.
ARTÍCULO 59. COMPETENCIAS Y FUNCIONES DEL ADMINISTRADOR. Se encargará de administrar, inventariar y registrar el arte rupestre del PAF, con la finalidad de garantizar su protección, conservación, mantenimiento, recuperación, puesta en valor y divulgación, de tal manera que se resalten sus valores históricos, culturales, ambientales y arqueológicos, y se genere su apropiación social y en ejecución de las obligaciones generales y especiales del respectivo comodato. Adicionalmente, se encargará de la gestión y ejecución de las disposiciones del presente PEMP, sin que esto conlleve el carácter de una instancia de decisión.
ARTÍCULO 60. PERSONAL MÍNIMO PARA LA OPERACIÓN Y MANTENIMIENTO DEL PAF. Para una efectiva y adecuada operación y mantenimiento del PAF, el administrador del PEMP, deberá contar como mínimo con el siguiente personal:

ARTÍCULO 61. ESQUEMA DE GESTIÓN CON LOS OPERADORES O EMPRENDEDORES LOCALES DEL PAF. El ADMINISTRADOR del PEMP deberá llevar a cabo los procesos de selección y contratación de los potenciales operadores o emprendedores locales vinculados al PAF, pudiendo para ello utilizar los diferentes instrumentos jurídicos contractuales disponibles en las normas vigentes y aplicando en todo caso, procedimientos que permitan la selección objetiva.
El ADMINISTRADOR del PEMP deberá establecer los mecanismos de selección de los operadores o emprendedores locales vinculados al PAF, y deberá expedir un reglamento operativo y de uso sobre las condiciones de funcionamiento, previa aprobación del Comité Técnico. Las disposiciones de dicho reglamento deberán ser acatadas, al igual que sobre los mecanismos de control, sanción y terminación de los contratos y las demás acciones a las que haya lugar, de conformidad con la normativa vigente.
ASPECTOS FINANCIEROS.
ARTÍCULO 62. MEDIDAS ECONÓMICAS Y FINANCIERAS PARA LA RECUPERACIÓN Y SOSTENIBILIDAD DEL BIC. Para el desarrollo de los programas y proyectos formulados en el presente PEMP, así como para la realización de las acciones de mantenimiento necesarias en el PAF, se establecen las siguientes fuentes de recursos:
1. Recaudo por ingresos y por aprovechamientos temporales o permanentes establecidos en la presente Resolución.
2. Gestión y alianzas estratégicas con actores públicos y privados de diverso orden.
PARÁGRAFO. Se deberán adelantar los trámites necesarios ante las instancias correspondientes, con el fin de garantizar que los recursos producidos en virtud de la operación del PAF sean reinvertidos o apropiados en el mantenimiento y conservación del mismo, así como en la ejecución de las disposiciones del presente PEMP, de acuerdo con la propuesta económica y administrativa incluida en el DTS que hace parte integral del presente PEMP.
ARTÍCULO 63. FUENTES DE FINANCIACIÓN PROVENIENTES DE RECURSOS PRIVADOS. El PROPIETARIO y el ADMINISTRADOR del PEMP se encargarán de la consecución de recursos de inversión de fuentes privadas, observando y respetando siempre los lineamientos establecidos por el PEMP, para lo cual podrán hacer uso de cualquiera de las figuras aplicables en el ordenamiento normativo que rige las relaciones entre agentes públicos y agentes privados, teniendo en cuenta las condiciones establecidas por la ley y en este PEMP, para el caso del PAF.
ARTÍCULO 64. ALTERNATIVAS PARA LA GENERACIÓN DE RECURSOS PROPIOS. El ADMINISTRADOR del PEMP podrá emplear las siguientes herramientas, con el fin de obtener recursos propios para el funcionamiento adecuado del PAF:
1. Ingresos por concepto de entradas: La venta de entradas continuará siendo la principal fuente de financiación del PAF. Sin embargo, a largo plazo es necesario realizar ajustes en el esquema tarifario del PAF como atracción turística frente a otros atractivos en la sabana, con el fin de financiar actividades para su puesta en valor. Por tratarse de accesos a un bien de interés cultural, estas entradas están exentas del pago de impuesto de IVA.
Para lograr este objetivo se realizarán las siguientes acciones:
- Aumentar el precio del ingreso incluyendo en esta el servicio de guianza interpretativa propio del PAF, de acuerdo con la propuesta económica y administrativa incluida en el DTS que hace parte integral del presente PEMP.
- Eliminar la tarifa diferencial para los nacidos en Facatativá y reemplazar esta por un programa de “Amigos del PAF” para residentes y usuarios frecuentes.
2. Ingresos por venta de artículos promocionales: El PAF podrá obtener ingresos a partir de la venta de artículos promocionales alusivos a la imagen y los atractivos del mismo, siguiendo las directrices del manual de identidad. Esta actividad, sin embargo, está gravada con el impuesto de IVA, por lo que en caso de que sea realizada a través de una entidad pública, esta deberá cambiar su régimen tributario al régimen común.
Como alternativa, se podrá concesionar el espacio de tienda a un tercero, el cual pagaría un arriendo y recibiría la posibilidad de obtener ingresos a partir de la comercialización de artículos promocionales con la imagen del PAF.
Del mismo modo, a través de la figura de convenio de asociación se podrán efectuar alianzas con entidades sin ánimo de lucro que quieran apoyar las actividades culturales y de investigación del PAF a través de los recursos derivados de la venta de artículos promocionales, retornando las ganancias al mismo a manera de donación.
También se podrá realizar la concesión de espacios en el sector de uso denominado comercio y servicios de bajo impacto, así como el área de la rotonda y de los estacionamientos.
3. Ingresos por venta de comidas y bebidas: Se podrá realizar la concesión de espacios para su aprovechamiento comercial como puntos de hidratación. Estos contratos de concesión se deberán elaborar por periodos no superiores a 1 año y deberán ser rotados a diferentes operadores o emprendedores locales en su adjudicación.
El espacio de cafetería será concesionado a un operador para su funcionamiento permanente en los días en que opere el PAF.
4. Cobro por uso temporal de espacios: El PAF podrá prestar sus instalaciones para realizar eventos de carácter temporal como lo son los eventos de carácter cultural como conciertos, presentaciones teatrales y exposiciones temporales, educacionales, o comerciales (locación para filmaciones y fotografía). Este tipo de usos debe regularse para que tenga bajo impacto sobre la infraestructura del parque y nulo sobre el patrimonio rupestre, y puede generar recursos de financiación adicionales.
5. Ingresos por otros servicios comerciales: Se podrán concesionar otro tipo de servicios comerciales entre los que se incluye el paseo en bote en el lago que deberá rediseñarse para que sea una experiencia orientada hacia lo cultural, un alquiler de bicicletas para quienes quieran recorrer el PAF por este medio.
Del mismo modo, se podrá implementar el cobro de estacionamiento de vehículos particulares. Esta iniciativa se podrá operar directamente o a través de concesión.
6. Ingresos por programas educacionales y grupos especiales: Se podrán ofrecer programas dirigidos a la visita de colegios, los cuales consistirán en talleres de interpretación a la medida y serán formulados desde el Programa de Educación, Comunicación y Divulgación del PEMP.
Del mismo modo se podrá ofrecer una tarifa de grupo a empresas u operadores de turismo que se beneficiarían de una tarifa grupal y una guianza exclusiva para el grupo.
7. Ingresos por venta de publicaciones de carácter cultural o educacional: El ADMINISTRADOR del PAF podrá vender directamente publicaciones de carácter cultural o educacional, ya que este tipo de impresos se encuentra exento de IVA.
8. Programa “Amigos del PAF”: Se podrá desarrollar un programa para residentes de Facatativá y usuarios frecuentes del PAF. Esta alternativa plantea un pago anual, con el fin de obtener acceso ilimitado al PAF y a actividades complementarias durante este periodo de tiempo.
PARÁGRAFO. Los recursos que se produzcan en virtud de las anteriores iniciativas propuestas deberán ser invertidos por el ADMINISTRADOR del PAF única y exclusivamente en rubros relacionados con la administración, protección, conservación, restauración, puesta en valor y divulgación del PAF, como bien de interés cultural, así como para ejecutar los proyectos de este PEMP.
El Ministerio de Cultura dará visto bueno a las actividades complementarias que se podrán realizar, las cuales deberán ser compatibles con la protección, conservación y divulgación de los valores culturales del BICN, de acuerdo con las demás condiciones establecidas en esta resolución.
ARTÍCULO 65. OTRAS FUENTES DE FINANCIACIÓN. Podrán incorporarse a las fuentes de financiación recursos recibidos a Título de donación o aportes realizados por entidades públicas, privadas, mixtas, nacionales o extranjeras, para lo cual el ADMINISTRADOR del PAF velará por que se cumplan las condiciones establecidas por la ley en el caso del PAF.
ARTÍCULO 66. MANTENIMIENTO DEL PAF. Los gastos ocasionados por la conservación de los inmuebles objeto de este PEMP que se requieran posteriormente a la ejecución de los programas y proyectos de intervención y conservación serán asumidos por el ADMINISTRADOR del PAF, para lo cual este deberá incorporar las respectivas partidas al presupuesto de gastos de cada vigencia, o establecer las fuentes de estos recursos en virtud de los mecanismos jurídico-contractuales que convenga con los diferentes agentes públicos o privados que hagan uso del PAF.
Para asumir los gastos a los que se refiere este artículo, el ADMINISTRADOR del PAF definirá el monto de los recursos que se deberán destinar en cada vigencia para las labores de mantenimiento recurrente. Con este fin, el ADMINISTRADOR del PAF podrá disponer de los recursos producidos en virtud de acuerdos o contratos con los operadores o agentes públicos y privados que hagan uso de los espacios, o pactar la cobertura de estos gastos de mantenimiento como parte de la contraprestación que el ADMINISTRADOR recibirá por el uso del PAF.
PROGRAMAS Y PROYECTOS.
ARTÍCULO 67. OBJETIVO DE LOS PROGRAMAS Y PROYECTOS. Los programas y proyectos que se lleven a cabo en el marco del presente PEMP deberán producir un alto impacto a favor de la conservación, y la integración física y socioeconómica del PAF con su zona de influencia. Estos programas y proyectos tendrán como objetivo, entre otros, promover la apropiación social; establecer una propuesta de comunicación y educación en torno a sus valores culturales; mejorar y potencializar sus condiciones ambientales; consolidar la infraestructura física; generar acciones de investigación, y garantizar su conservación y arqueológica.
ARTÍCULO 68. PROGRAMAS DEL PEMP. El listado citado a continuación es indicativo, por lo que podrán formularse nuevos programas siempre en el marco de lo establecido en el presente PEMP:
1. Programa de educación, comunicación y divulgación.
2. Programa de conservación arqueológica.
3. Programa ambiental.
4. Programa de consolidación física del PAF.
5. Programa de investigación.
ARTÍCULO 69. PROGRAMA DE EDUCACIÓN, COMUNICACIÓN Y DIVULGACIÓN. Este programa desarrolla una dimensión social dirigida a todos los visitantes del PAF, facilitando el aprendizaje, la indagación y el cuestionamiento, mediante la reflexión y puesta en conocimiento de los valores naturales, geológicos, arqueológicos, históricos y simbólicos del PAF; de tal manera, se espera lograr la comprensión del lugar en un contexto histórico y una dimensión territorial para una efectiva valoración y reconocimiento social del sitio.
El objetivo de este programa es promover el conocimiento, la apropiación social, conservación preventiva y puesta en valor del PAF de manera integral y planificada en un contexto académico y de activa participación social y comunitaria.
Su acción se enfoca en la investigación, la formación permanente y el desarrollo de estrategias que motiven el acceso de los distintos públicos a conocimientos e investigaciones sobre el sitio y la sabana de Bogotá en diversas temáticas: arqueología, geología, medio ambiente, educación, conservación, etnobotánica, etc.
Resultan de alta importancia las relaciones y convenios que se puedan desarrollar con universidades, museos, investigadores, grupos de investigación, así como los cabildos muiscas de Cundinamarca y otros grupos étnicos, así como los grupos e instituciones locales y regionales que desarrollan actividades de manera regular en el PAF y que pueden contribuir con la puesta en valor del mismo.
Para las áreas de divulgación y comunicación, se deberá unificar la información que se transmite: información oficial y servicios ofrecidos, definir y organizar los canales de comunicación del PAF en distintos medios: telefonía, página web, correos electrónicos, organizar horarios de visitas, producir material de divulgación y campañas permanentes con públicos amplios y específicos. Se espera realizar encuentros de sensibilización y acuerdos para la divulgación y comunicación del PAF con restaurantes, hoteles y grupos organizados de la ciudad: JAC, asociaciones de artesanos, entre otros.
ARTÍCULO 70. PROYECTOS DEL PROGRAMA DE EDUCACIÓN, COMUNICACIÓN Y DIVULGACIÓN.
1. Guion museológico del PAF: El guion museológico del PAF define como lugar museal al espacio del Parque Arqueológico de Facatativá en sus veintiocho hectáreas, en las que se distribuyen las pinturas rupestres, las formaciones rocosas y el entorno natural. Todo ello conforma los objetos del discurso narrativo.
Es un lugar a la intemperie, un museo a cielo abierto, y como tal, un espacio no convencional, tipo ecomuseo, donde los objetos y las piezas principales se localizan en un área desprovista de paramentos y cubiertas, por lo cual los recorridos se hacen libremente. Los caminos se han definido como rutas que conectan los lugares o ejes temáticos del guion, que serán delimitados por un trabajo paisajístico y materializados por la museografía de exteriores.
Se considera el arte rupestre, las rocas, las especies vegetales, los cuerpos de agua, la topografía, las vistas panorámicas internas y externas como sus objetos de estudio y colección; y al territorio del Parque, en su territorio natural como un museo a cielo abierto que no conlleva la creación de un museo contenido en un edificio, sino a poner en valor todo el parque arqueológico.
El único desarrollo en el interior de una infraestructura se contempla como proyecto puntual de un centro de interpretación, que ofrezca dinamismo en los contenidos y una escena para investigadores en torno al PAF. Por lo anterior, la museografía de exteriores para el espacio natural del PAF permitirá la actividad museológica permanente a cielo abierto.
El Guion Museológico tiene como uno de sus objetivos principales brindar al visitante una gama amplia de conocimientos generales y específicos, en torno al eje temático central de arqueología-arte rupestre.
Este eje articula tres ejes temáticos: histórico, geológico y ambiental, que explican cómo se ha transformado el territorio por factores naturales y antrópicos, para lo cual se entiende el entorno natural desde lo físico (geología, geomorfología, clima, hidrografía, suelos) y lo biótico (coberturas vegetales, flora, fauna), en un viaje que pretende plantear reflexiones al visitante sobre la conformación del espacio desde tiempos geológicos hasta tiempos recientes (Holoceno), cuando la ocupación humana ha generado cambios que han terminado por configurar la zona como un parque arqueológico.
El visitante reflexionará sobre el hecho de que el PAF se encuentra en un espacio conformado hace miles de años, podrá comprender cómo era el entorno natural que se encontraron los primeros pobladores, cuáles fueron los recursos disponibles en el territorio para la elaboración de las pictografías que se encuentran en las superficies rocosas y cómo estos trazos rupestres son vestigios de la interacción entre el hombre y el territorio. Así pues, el visitante tendrá conciencia de la oportunidad que significa presenciar el lugar colombiano con mayor cantidad de conjuntos de pintura rupestre en un mismo espacio.
El sentido de la exposición pretende hilar contenidos especializados y de la memoria oral, y presentarlos por medio de una curaduría que organiza la información con base en los insumos de los talleres con la comunidad realizados en el marco del PEMP del PAF, en cinco recorridos establecidos con sus sentidos, direcciones, tiempo de duración estimado, nivel de accesibilidad, conexiones y ejes temáticos que tratar Todos los recorridos expresados en una cartografía oficial diseñada en el marco del PEMP que permite al ADMINISTRADOR del PAF difundir los lugares por recorrer definidos por el guion museológico, para el público del PAF.
2. Manual de imagen e identidad del PAF: El manual de identidad corporativa recoge los elementos que constituyen la identidad visual del PAF. El objetivo de este manual es consolidar la imagen del PAF bajo las recomendaciones aquí descritas y guiar a profesionales de las áreas de diseño y comunicación en la elaboración de piezas de comunicación para los diferentes medios visuales, estableciendo una serie de lineamientos básicos de uso que garanticen la unidad y la correcta aplicación de la marca.
La función de este manual no es limitar las posibilidades de diseño, sino ampliar la creatividad bajo directrices que mantengan la uniformidad y la integridad de la marca.
3. Proyecto de educación del PAF: El proyecto específico de educación y cultura tiene como objetivo principal la transformación de las relaciones que se dan entre los visitantes, habitantes y usuarios del PAF. Para ello, las actividades que se desarrollen deben estar en correspondencia con la narrativa del sitio propuesta en el guion museológico, dispuesta para una planeación, organización curricular y temática de grupos especializados, específicos y diversos públicos.
No es suficiente la disposición de un sitio con la información ni la sola formación de guías o intérpretes, sino que es preciso hacer uso de dicha información con una mirada pedagógica y didáctica transversal a los ejes temáticos(2), para el diseño y puesta en marcha de actividades educativas y culturales de manera permanente para el público en general y públicos específicos: colegios, primera infancia, población en condición de discapacidad, entre otros.
De esta manera, se motiva el disfrute del lugar mediante la programación de actividades culturales que cumplan con la fundamentación, respaldo académico y la capacidad humana y técnica que garantice estándares mínimos de seguridad para el público y los conjuntos pictóricos.
Así mismo, se puede disminuir la brecha que hay entre el conocimiento (descubrimientos, intervenciones, inventarios, etc.) que existe sobre el PAF y los contenidos escolares, mediante un lenguaje sencillo que permita posicionar estas temáticas arqueológicas, biológicas, geológicas, entre otras, en los colegios de Facatativá y la región central del país. Lo anterior podría estar en diálogo con las políticas Nacionales y locales sobre educación ambiental (PRAES), cátedras territoriales como Cátedra Facatativá e incluso entrar en sintonía con temas del acontecer actual como la Cátedra de la Paz, partiendo del diálogo y acuerdos con instituciones educativas, en principio de carácter local.
4. Diseño museográfico del PAF: Para la implementación del guion museológico, se desarrolla el proyecto del diseño museográfico del PAF, el cual se enfoca en la articulación de los elementos fundamentales del parque, como lo son: abrigos rocosos, pictogramas, vegetación y marco histórico, mediante un diseño que permita destacar una lectura adecuada de cada uno de los valores de estos elementos y vincular a los visitantes con la vocación patrimonial del parque.
En esta estrategia de articulación de los contenidos y la definición de elementos fundamentales para tener en cuenta en el proceso, se contempló el diseño de las piezas como apoyo a las actividades educativas que propone el PAF.
Lo anterior de acuerdo con los lineamientos del Guion Museológico, responde a la preocupación de comunicar de una manera asertiva los contenidos desarrollados en cada uno de los ejes temáticos, que el visitante encontrará en los recorridos, permitiendo la interpretación del conjunto, así como la posibilidad de aportar a un enfoque sobre los elementos fundamentales del Parque.
5. Laboratorio de mediadores del PAF: Se considera necesaria la creación y puesta en marcha de un programa de formación de mediadores o intérpretes del Parque Arqueológico de Facatativá, implementando una política de recorridos guiados que dé soporte a las actividades educativas y culturales que se organicen.
Si bien se entiende que el ejercicio de interpretación dirigida tiene varias implicaciones, así como requerimientos técnicos y legales, para el PAF es esencial la creación de un proyecto de formación de mediadores o intérpretes que profundicen en contenidos específicos del sitio, generando una oferta para quienes quieran desarrollar esta actividad con base en el Guion Museológico. Los contenidos de formación deben definirse y gestionarse en el marco del programa de educación, comunicación y divulgación con universidades, museos e instituciones que respalden la formación en las líneas establecidas por el Guion Museológico en sus cuatro ejes temáticos: Arte Rupestre-Arqueología, Histórico, Ambiental y Geológico. De manera paralela, se deberá promover la formación técnica en guianza turística, sin que esta sea un requisito irremplazable para realizar “labores educativas” en el interior del PAF, no turísticas.
6. ¡PAF! (sensibilización y comunicación): El proyecto denominado ¡PAF! (sensibilización y comunicación), para el caso del presente PEMP, comprende el plan de divulgación, el cual busca básicamente difundir ampliamente las características y valores del PAF a la comunidad en general. Adicionalmente, brinda información efectiva, ágil y veraz al público interesado y fortalece la identidad y memoria cultural, mediante el incremento del número de visitantes para una efectiva apropiación social del mismo.
Se hace necesaria la realización permanente de actividades y campañas de divulgación para todos los públicos, generar materiales que promuevan el reconocimiento y la valoración del PAF por parte de los visitantes, fomentar su reconocimiento, y ofertar sus servicios en diversos medios de comunicación. Estas actividades deben ser contextualizadas al sitio, contando con información fidedigna y validada por los responsables de los programas del PAF, promoviendo siempre sus valores.
La escuela y programa Vigías del Patrimonio, así como cualquier otra iniciativa, podrá y deberá promover ejercicios de educación y divulgación con la comunidad en general en el interior del PAF, de manera articulada al programa de educación, divulgación y comunicación.
A continuación, se enumeran las líneas de acción del proyecto y los responsables de dinamizarlo:
- Publicaciones, proyectos de investigación y editoriales: En cuanto a publicaciones es preciso contar de manera permanente con folletos, plegables y mapas que permitan a los visitantes tener información de primera mano para realizar sus recorridos, tarea de quien administra el BICN. De otro lado, están los proyectos de investigación, de cuyos resultados debe reposar copia en el PAF, responsabilidad del ADMINISTRADOR del PAF y de los responsables de programas. Adicionalmente, se recomienda que el ICANH genere convocatorias de investigación y publicación específicas para el PAF.
- Exposiciones: Con el avance durante 2016, de la exposición Historias Fotográficas del PAF, se consolidó una base de datos de fotografías organizada y un montaje para la misma. No obstante, se propone un aprovechamiento de dicho material, divulgándolo en diferentes instituciones educativas y lugares inicialmente de Facatativá.
De igual forma, se recomienda realizar gestión y acuerdos con entidades como la Dirección de Patrimonio del Ministerio de Cultura, el Museo Nacional, el Banco de la República y también con entes privados para el montaje de esta y otras exposiciones, así como la difusión del PAF de manera permanente mediante piezas comunicativas.
- Página Web: Se debe definir un espacio de página web en diálogo con el ICANH quien por ser responsable de los parques arqueológicos a nivel nacional tiene a su cargo esta tarea e información. Al respecto, deberán tenerse en cuenta las implicaciones que tienen la actualización permanente de este medio y la importancia que tiene para lograr un efectivo control de visitas y organigrama.
7. Investigación productos y cocina local: Este proyecto se enfoca en la población local impulsando la investigación sobre la elaboración de productos y cocina local para la consolidación de una oferta cultural que dinamice y aporte a la valoración del sitio, a la vez que genere una dinámica económica organizada y con respaldo académico. Se requiere que el proceso se apoye y dialogue con estudios e investigación arqueológica y etnográfica de la región.
Se requiere la investigación sobre productos y alimentos tradicionales del altiplano, y diseñar algunos productos que puedan dinamizar la economía local y la valoración del sitio por parte de los visitantes.
8. Dotación de centro interpretación especializado en arte rupestre: El centro especializado debe permitir a estudiantes, investigadores y visitantes conocer sobre arte rupestre y específicamente sobre el PAF; se deben consolidar registros, documentos, fotografías y bibliografía sobre el arte rupestre y arqueología en el mundo, su contexto Nacional, regional y local, la documentación e investigaciones existentes sobre el PAF (calcos de pictografías, fotografías, videos, entre otros).
Esta información constituye la base fundamental para realizar actividades educativas y de divulgación y su disposición al alcance de los dinamizadores de los programas y proyectos y el público interesado, con conocimiento de las dinámicas del parque, así como la interacción e intercambio permanente con universidades, museos y otros sitios y parques arqueológicos. Adicionalmente, se puede crear un centro especializado en arte rupestre y arqueología de la sabana de Bogotá y Cundinamarca.
De tal forma, el centro de interpretación, lugar de presentación del sitio arqueológico al público visitante, se podría entender como el centro donde confluye la información del sitio que debe garantizar la organización de la información, las actividades y las visitas; para ello, se podrá recurrir a las distintas posibilidades de infraestructura directa e indirecta en las que se pueda apoyar, así como medios tecnológicos más actuales.
ARTÍCULO 71. PROGRAMA DE CONSERVACIÓN ARQUEOLÓGICA. Este programa tiene como principal objetivo proteger y conservar los abrigos rocosos, el arte rupestre y los vestigios arqueológicos que se encuentran en el subsuelo. Adicionalmente, busca:
1. Diseñar y poner en marcha sistemas de información que permitan actualizar y completar el registro, inventario y la documentación de los abrigos rocosos, el arte rupestre y los vestigios arqueológicos.
2. Determinar las actividades preventivas, correctivas y de mantenimiento para realizarse en el lugar.
3. Diseñar e implementar las herramientas necesarias para realizar el monitoreo de los métodos y actividades de conservación de los abrigos rocosos con arte rupestre, así como hacer el seguimiento del estado de conservación de las superficies rupestres ya intervenidas.
4. Investigar sobre el deterioro de los conjuntos pictográficos y los métodos y materiales de intervención acordes con las características de las superficies polícromas y su entorno que aseguren su conservación.
5. Asegurar la adecuada protección de los conjuntos pictográficos.
ARTÍCULO 72. PROYECTOS DEL PROGRAMA DE CONSERVACIÓN ARQUEOLÓGICA.
1. Capacitación en mantenimiento de bienes arqueológicos del PAF y su zona de influencia: La falta en la regularidad en los procesos de mantenimiento, así como el uso de procedimientos inadecuados y no documentados, ha intervenido en algunas ocasiones con el deterioro de los conjuntos pictográficos. Este proyecto busca capacitar a los trabajadores para que sepan cuáles materiales y técnicas deben emplear y cuáles deben ser realizadas o asesoradas por especialistas en conservación. Está dirigido al administrador del PAF y sus trabajadores. Contempla una revisión de las actividades diarias, mensuales y anuales que deben realizarse para garantizar la conservación del PAF y comprender el porqué y cómo deben ser realizadas.
2. Conservación de los conjuntos pictográficos del PAF: A la fecha se han intervenido con procesos de conservación 41 de los 63 conjuntos existentes en el PAF. La intervención regida por la metodología establecida por el ICANH supuso la documentación de los conjuntos y los procesos realizados. El proyecto de conservación de los conjuntos pictográficos contempla la intervención y documentación de los 22 conjuntos restantes bajo los parámetros establecidos por el ICANH y requiere ser desarrollado por profesionales en conservación-restauración.
3. Registro e inventario de bienes arqueológicos del PAF y su zona de influencia: El diagnóstico del PEMP identificó que existen abrigos rocosos (con y sin pictografías) dentro y fuera del PAF que aún no tienen registro e inventario, así como otros abrigos rocosos que tienen duplicidad de códigos ante el ICANH. El proyecto busca registrar e inventariar todos los bienes arqueológicos del PAF como de su zona de influencia que no poseen este proceso además de corregir los aspectos del registro e inventario actualmente existente que requieren de revisión y ajuste.
4. Numeración de los conjuntos pictográficos: La numeración aplicada en la década de los 50 en los conjuntos pictográficos produce confusión en los visitantes e impide la apreciación de los motivos rupestres. La intervención en conservación identificó los materiales y los métodos con los que se pueden eliminar estas marcas sin causar deterioro a las pictografías. Este proyecto propone eliminar esta numeración e instalar plaquetas con la información de identificación. Se propone instalarlas en el piso, junto a cada conjunto pictográfico, a una distancia de 30 centímetros de la roca. De esta forma será información poco visible para los visitantes, pero que les permita a los diferentes grupos de investigación identificarlos.
La eliminación de la numeración anterior a los años cincuenta debe ser realizada por profesionales de la conservación del patrimonio cultural.
ARTÍCULO 73. PROGRAMA AMBIENTAL DEL PAF. Se componen de iniciativas que en su conjunto buscan:
1. Superar la problemática derivada de la plantación inadecuada de especies vegetales exóticas, alelopáticas, de alta capacidad regenerativa con pérdida de la identidad natural del PAF y su biodiversidad (fauna y flora).
2. Realizar una selección de especies con riesgo de volcamiento, desgajamiento, y sistema radicular agresivo que ocasiona fracturamiento de las rocas e infiltración de agua.
3. Plantear acciones para solucionar la contaminación en cuerpos hídricos (lagos, quebrada), y el deterioro del humedal.
4. Establecer acciones que controlen la plantación inadecuada de especies vegetales ornamentales en las zonas verdes de alta intensidad de uso, sin aplicación de lineamientos paisajísticos que garanticen la armonía del verde con las funciones educativas, recreacionales y de conservación arqueológica del PAF.
5. Formular actividades que permitan conservar y dar a conocer la vegetación propia del bosque seco montano bajo, ecosistema del cual hace parte el PAF.
ARTÍCULO 74. PROYECTOS DEL PROGRAMA AMBIENTAL DEL PAF.
1. Primera etapa para la restauración ecológica del PAF: El objetivo de este proyecto es adelantar la restauración ecológica del PAF, a través de acciones prioritarias para la revegetalización y restauración ecológica, con el objeto de retomar el uso sostenible de las especies nativas y la remembranza de tradiciones y costumbres perdidas a través del tiempo, aprovechando lo emblemático y llamativo de algunas especies propias de la eco-clina sabanera.
2. Restauración ecológica del humedal: Tiene como objetivo implementar acciones que promuevan la restauración ecológica del humedal, entre las que se encuentran: control de vertimientos, demarcación, recuperación del espejo de agua y mantenimiento.
De acuerdo con la problemática identificada por la contaminación de varios de los cuerpos hídricos del PAF (lagos, quebrada Chapinero) es necesario implementar medidas que promuevan su restauración ecológica. El humedal se encuentra deteriorado y cercado como si estuviera por fuera de los linderos del PAF. Además del deterioro ambiental, este espacio no se ha integrado a los valores ambientales del PAF. La presente propuesta se enfoca de manera inicial en recuperar la calidad del agua; para ello, el control de vertimientos y de la contaminación con basuras de las aguas lluvias es la base para el éxito del proyecto. La administración municipal con la empresa de acueducto a la cabeza se encuentra liderando el proceso de identificación y corrección de las conexiones anómalas existentes en la actualidad; por eso y para dar tiempo al esfuerzo del municipio, este proyecto se plantea para una ejecución en el tercer y cuarto año.
Una vez solucionada la problemática de los vertimientos, es posible implementar las siguientes acciones tendientes a la restauración ecológica del humedal: En primera instancia la demarcación del humedal y su incorporación como un elemento y valor ambiental para el parque; en segundo lugar, se recuperará el espejo de agua, mediante la limpieza de vegetación acuática invasora que imposibilita la oxigenación y entrada de luz al agua. De igual forma, se eliminarán los sedimentos acumulados a lo largo del tiempo por el alto aporte de materia orgánica procedente de los vertimientos de aguas servidas domiciliarias. Finalmente, se revegetalizarán los márgenes del cuerpo de agua, plantando especies nativas propias de las franjas anfibia, inundable y riparia o de tierra firme.
3. Revegetalización para conservación de la flora altoandina: La finalidad de este proyecto es la eliminación del banco plantular de especies vegetales exóticas e individuos vegetales mal ubicados, en riesgo o que generan riesgo, con selección de especies nativas y plantación en los sectores del PAF definidos para enriquecimiento y restauración ecológica en la zonificación del PEMP, de acuerdo con los diseños de revegetalización elaborados para tal fin.
La pérdida de la diversidad biológica y demás problemáticas mencionadas anteriormente se encuentran asociadas principalmente a las plantaciones de exóticas existentes en el parque; por ello, como primera propuesta para el componente ambiental se encuentra la revegetalización para la conservación de la flora altoandina. Este proyecto integra los lineamientos de restauración ecológica para el PAF. Para la restauración ecológica se ha priorizado la revegetalización con especies nativas y la sustitución de manera gradual de la vegetación exótica representada principalmente por acacias y eucaliptos. Este proyecto se articulará con la propuesta paisajística del parque, definiendo las especies por plantar y la ubicación de las mismas de acuerdo con la oferta ambiental del parque y con la zonificación de manejo propuesta para el uso por parte de los visitantes.
4. Revegetalización para paisajismo: Plantea como finalidad la eliminación del banco plantular de especies vegetales exóticas e individuos vegetales mal ubicados, en riesgo o que generan riesgo, con selección de especies vegetales y plantación en los sectores del PAF definidos para alta intensidad de uso en la zonificación del PEMP, de acuerdo con los diseños de revegetalización elaborados para tal fin, la Educación Ambiental y el guion museológico del PAF.
La pérdida de la diversidad biológica y demás problemáticas mencionadas anteriormente se encuentran asociadas principalmente a las plantaciones de exóticas existentes en el parque. Por ello, se propuso para el componente ambiental la revegetalización para la conservación de la flora altoandina. De manera complementaria a este proyecto, se debe ejecutar la revegetalización de aquellas áreas no cubiertas en el mencionado primer proyecto y que corresponden a aquellos espacios asociados a zonas verdes, senderos, cerramientos, ornato y en general a aquellos espacios de uso permanente por los visitantes del parque. Este proyecto integra los lineamientos de restauración ecológica para el PAF, plantando principalmente especies nativas de forma acorde a los lineamientos del PEMP y a la zonificación propuesta por este. Previamente a la plantación, se ajustarán los diseños y tipologías de plantación, conservando siempre la coherencia con el propósito de promover la educación ambiental dentro del parque y de seguir los objetivos del guion museológico del PAF.
ARTÍCULO 75. PROGRAMA DE CONSOLIDACIÓN FÍSICA DEL PAF. Como conclusión principal del diagnóstico del componente de infraestructura del PAF, se estableció que, ante la falta de claridad en la vocación del parque y las diferentes administraciones que ha tenido, se ha acumulado una serie de construcciones que pretenden dar apoyo al funcionamiento, pero que, al ser construidas sin ninguna planeación, no solo no dan el soporte requerido, sino que no guardan unidad de diseño entre sí ni armonía con el paisaje.
La mayoría de estas construcciones, así como los diferentes elementos que componen el espacio público del parque, se encuentran deteriorados, obsoletos o tienen baja capacidad, por lo cual se plantean diferentes acciones que requieren su renovación, adecuación o mejoramiento.
A partir de lo anterior, se plantea el programa de consolidación física del PAF, que tiene por objetivo realizar las acciones necesarias para que el parque pueda prestar un servicio adecuado a los visitantes, consolidando la infraestructura que permita fortalecer las actividades culturales. Este programa busca:
1. Adecuar o mejorar temporalmente la infraestructura existente, para poder iniciar a corto plazo actividades de divulgación y fortalecimiento de la actividad cultural, con el fin de iniciar el proceso de vocación del lugar por parte de la comunidad de Facatativá y demás visitantes.
2. Diseño integral y construcción de espacio público, infraestructura y servicios de apoyo del PAF, que refleje la idea de construcciones de apoyo al parque y sea legible para el público en general, pudiendo priorizar el arte rupestre como fin primordial del sitio arqueológico.
3. Consolidar el área afectada, a partir del restablecimiento de linderos con la Escuela de Comunicaciones del Ejército Nacional.
4. Establecer la matriz de peligros e identificación de riesgos del PAF y formular un plan de prevención, preparación y respuesta ante emergencias, con la correspondiente señalización del parque.
ARTÍCULO 76. PROYECTOS DEL PROGRAMA DE CONSOLIDACIÓN FÍSICA DEL PAF.
1. Matriz de peligros y riesgos, plan de prevención, preparación, respuesta a emergencias, y estudio de señalización: Ante la inexistencia de un plan de emergencias, ausencia de protocolos y deficiencia de infraestructura para la gestión de riesgos (naturales y antrópicos), se establece la necesidad de elaborar este proyecto, el cual tiene como objetivos:
- Realizar la identificación de peligros y valoración de riesgos en seguridad y salud, con el fin de establecer medidas para su gestión.
- Elaborar un plan para la prevención, preparación y respuesta ante emergencias del PAF.
- Formular un plan de acción para disminuir el nivel de vulnerabilidad del PAF frente a los riesgos identificados.
- Desarrollar un estudio que defina el estado actual y las acciones requeridas en términos de señalización para la prevención, información y control de riesgos en el PAF.
2. Adecuación temporal de infraestructura de servicios y demolición de estructuras en riesgo: Este proyecto plantea hacer uso de la infraestructura existente a corto plazo, para mitigar la necesidad de espacios para la divulgación, educación y administración del PAF. En cada área se plantea lo siguiente:
- Restaurante: Esta construcción que actualmente no se utiliza de forma permanente, se plantea como Centro de Interpretación Temporal, buscando que haya un espacio donde se puedan realizar actividades de divulgación de los valores del parque, especialmente cuando llegan grupos escolares. Su adecuación requerirá fundamentalmente el retiro de la barra, mantenimiento o cambio de tejas deterioradas, pintura general, cambio o mejora de cerraduras y la dotación de mobiliario básico (mesa, sillas).
- Casa 1: Esta casa que se encuentra junto al acceso y que actualmente funciona como depósito de materiales, presenta un alto deterioro y daños a nivel estructural, por lo cual su adecuación tendría un costo elevado frente al servicio temporal que prestaría. Por lo tanto, se propone de forma prioritaria su demolición total.
- Casa 2: Esta casa tiene mayor área y está en mejores condiciones, por lo cual puede tener temporalmente un mejor servicio que el que presta actualmente, concentrando fundamentalmente los espacios para la administración del parque. Se propone, entonces, que una de las oficinas sea la oficina de administración y la otra se utilice como depósito de herramientas; en el patio cubierto, se debe reconstruir el muro de cerramiento para que tenga mejor estructura y se puede incluir una puerta hacia el costado norte, de forma que se pueda utilizar como depósito de materiales, teniendo acceso tanto interior como exterior. El espacio de la actual aula múltiple se propone que empiece a funcionar como Centro de Documentación, donde se puedan guardar los documentos de Información del PAF y se organice un espacio sencillo de trabajo para investigadores. El cobertizo que hay frente al aula múltiple se debe limpiar y despejar de todo el material acumulado allí, procurando que los elementos que se dispongan allí temporalmente estén organizados y se evite la acumulación de humedad en los muros.
- Quioscos: Se propone conservar 20 casetas y demoler 19, entre las cuales se encuentra la totalidad de las que tienen chimenea, tanto por la incompatibilidad del uso como por los daños que presentan en su estructura.
Las que se conservan, se proponen temporalmente como espacios de depósito o apoyo a puntos de hidratación o comercio de productos locales, con lo cual a su vez se puedan mejorar los ingresos económicos del parque. A nivel general se deberá realizar un mantenimiento de las cubiertas, con reemplazo de tejas y estructura en algunos casos, mantenimiento y reparaciones puntuales en muros y pisos.
3. Instalación de baterías de baños (tipo contenedor): Los servicios sanitarios del parque presentan un déficit cualitativo y cuantitativo, no sólo porque las baterías existentes no tienen condiciones técnicas adecuadas y porque algunas de ellas permanecen cerradas, sino también porque están concentradas solamente en el acceso y cerca de la cafetería, dejando gran parte del área del parque sin cobertura del servicio.
Por lo tanto, teniendo en cuenta que se encuentra aún la placa de una batería sanitaria que existió entre la rotonda y el estacionamiento 1, se propone la instalación de una batería sanitaria para hombres y mujeres tipo contenedor, de forma que sea un elemento temporal, que no requiere construcción de cimentación, con lo cual se podrá retirar y trasladara otras áreas conforme se vaya desarrollando la construcción del diseño integral del parque.
Adicionalmente, es prioritario que la administración establezca los mecanismos necesarios para poder poner en servicio la totalidad de baterías sanitarias existentes, especialmente en los días de mayor afluencia de público.
4. Material de atención y gestión de riesgos y emergencias; y capacitación de personal.
5. Proyecto de sistema de vigilancia y monitoreo - cámaras.
6. Restablecimiento de linderos: Este proyecto comprende la consolidación de un levantamiento topográfico actualizado, previa restitución de la zona ocupada por la Escuela de Comunicaciones, para efectuar la aclaración de cabida y linderos mediante Escritura Pública.
7. Diseño Integral de espacio público, infraestructura y servicios de apoyo del PAF: Este proyecto tiene por objetivo realizar el diseño integral de una propuesta de infraestructura que responda a la necesidad de optimización de las condiciones de movilidad y accesibilidad, la recualificación del área de acceso, el desarrollo de un programa arquitectónico y la consolidación de una oferta eficiente de áreas, servicios y elementos de apoyo a la función cultural del PAF.
En términos generales el proyecto de diseño Integral deberá contemplar, entre otros:
- Realizar el levantamiento del trazado y estado actual de la red eléctrica e hidrosanitaria, como insumo para el proyecto de diseño integral de espacio público, infraestructura y servicios de apoyo del PAF.
- Diseño del circuito vial, red de senderos y estacionamientos.
- Diseño del acceso al parque, con ingreso peatonal separado del vehicular, taquilla y portería.
- Diseño del área administrativa.
- Diseño del Centro de Interpretación especializado en arte rupestre.
- Diseño de áreas de servicio como cafetería, baterías sanitarias, puntos de hidratación.
- Diseño de áreas para comercio de productos locales.
- Diseño de mobiliario y señalética.
El proyecto deberá integrar lo relativo al manejo ambiental y arqueológico del sitio, para brindar el soporte que puedan requerir estas áreas a nivel de infraestructura.
8. Construcción de espacio público, infraestructura y servicios de apoyo del PAF: Constituye una Intervención integral que involucra los siguientes alcances:
- Construcción de un centro de Interpretación: El proyecto consiste en construir, de acuerdo con la propuesta de diseño desarrollada en el proyecto de diseño integral de la infraestructura del PAF, un Centro de Interpretación que supla la necesidad de un espacio para el desarrollo de actividades de sensibilización y divulgación de los valores del PAF.
- Construcción del acceso y área administrativa: El proyecto busca mejorar las condiciones de acceso peatonal, optimizar el control al ingreso y la oferta de servicios complementarios, así como mitigar los conflictos de la movilidad vehicular. Debe incluir el mejoramiento del espacio público en el acceso, con el fin de mejorar la articulación del parque con su contexto inmediato.
- Construcción del circuito vial: En esta etapa se plantea el proyecto de construcción del circuito vial, incluyendo la vía vehicular, los senderos peatonales y estacionamientos.
El diseño de la vía vehicular que cumpla con las características y los requerimientos que el parque arqueológico necesita debe tener unos estándares de diseño de acuerdo con el manual Invías, en los cuales se recomiendan unas dimensiones mínimas y espesores de la base, subbase, carpeta asfáltica y capa de rodadura, mínimos requeridos para este tipo de vías, al igual que los límites de velocidad permitidos en el interior del mismo. El perfil de la vía deberá incluir cañuelas a los costados, para controlar y canalizar las escorrentías.
Al momento de realizar intervenciones en la vía, se recomienda sectorizar los puntos críticos y realizar intervenciones completas, que incluyan el ancho de la vía con sus dos cañuelas en concreto o el perfil completo que se haya diseñado, las cuales deberán ir soportadas sobre la misma estructura de la vía, en un sitio puntual de una longitud significativa que permita su ejecución en el largo plazo, de una manera ordenada, cumpliendo con los requerimientos técnicos necesarios.
- Construcción de puntos de servicio: hidratación, comercio, etc.: Este proyecto pretende generar infraestructura para dar soporte a las actividades culturales, educativas y turísticas del PAF, de acuerdo con lo establecido en el proyecto de diseño integral. Busca que estos servicios puedan tener mayor cobertura para todo el parque, especialmente los puntos de hidratación, pero que al mismo tiempo estén organizados y estratégicamente localizados, para que no resulten ser una infraestructura dispersa como ocurre actualmente con los quioscos.
- Instalación de mobiliario general: bancas, canecas, contenedores, luminarias, etc.: El mobiliario se desarrollará de acuerdo con el proyecto de diseño integral, el guion museológico y la museografía propuesta, con el fin de dar soporte a las actividades culturales, educativas y turísticas del PAF.
ARTÍCULO 77. PROGRAMA DE INVESTIGACIÓN DEL PAF. La investigación debe ser concebida como el motor central de las actividades del PAF. Se deben promover, diseñar, gestionar y realizar investigaciones en todas las áreas del conocimiento relacionadas con los temas asociados al PAF como arqueología, conservación, medioambiente, geología, educación, turismo, divulgación (museología) y gestión de patrimonio.
ARTÍCULO 78. PROYECTOS DEL PROGRAMA DE INVESTIGACIÓN DEL PAF.
1. Plan de monitoreo: Actualmente los vestigios arqueológicos del PAF no cuentan con un plan de monitoreo que permita hacer el monitoreo de su estado de conservación. Para asegurar su adecuada protección, es fundamental diseñar y realizar un plan de monitoreo que permita evaluar las intervenciones de conservación, y los cambios o alteraciones en las pictografías que requieran ser estudiados con mayor profundidad y atendidos con medidas de mantenimiento y conservación. Además, la elaboración de un protocolo que regule el uso de la rotonda ubicada en la zona G.
Dicho plan deberá ser desarrollado por especialistas en conservación de bienes culturales.
2. Generar líneas de Investigación en conservación que apunten a resolver temas concretos del PAF.
3. Consolidar líneas de investigación base en relación con los siguientes temas:
1. Conservación, 2. Arqueología, 3. Ambiental, 4. Memoria e historia.
PLAN DE DIVULGACIÓN.
ARTÍCULO 79. OBJETIVO DEL PLAN DE DIVULGACIÓN DEL PEMP. El plan de divulgación tiene como objetivo visibilizar, promover, facilitar la apropiación, conservar y posicionar el PAF como BICN, como referente histórico, en los diferentes sectores de la comunidad, en el marco de este PEMP.
ARTÍCULO 80. COMPONENTES DEL PLAN DE DIVULGACIÓN DEL PEMP. En el marco del presente PEMP se consideran estrategias de comunicación y divulgación las relacionadas con el programa de educación, comunicación y divulgación, desarrollado en los artículos 69 y 70 de la presente resolución. En esta medida, se debe entender que todos los objetivos, estrategias y acciones allí contempladas hacen parte del plan de divulgación de este plan.
ARTÍCULO 81. LINEAMIENTOS PARA LA DIVULGACIÓN DEL PEMP. Las visitas que realizan los colegios y grupos representan el eje fundamental de la divulgación del PEMP. En este sentido, deberá organizarse por parte del ADMINISTRADOR del PAF, un cronograma previo, de forma que se pueda organizar el personal de apoyo que requieren las visitas, así como llevar un control y registro de las actividades que desarrollen de manera autónoma los colegios. En cualquier caso, se requiere:
1. Hacer un registro previo en el cronograma para realizar la visita.
2. Presentar copia de las actividades educativas que se realizarán.
3. Entregar indicaciones generales de comportamiento a los grupos.
4. Mínimo llevar a cabo un recorrido general con guía o intérprete del PAF o en el marco de un convenio con el administrador del mismo.
Estas actividades son susceptibles de monitoreo por parte de la administración del PAF, que deberá contar con un profesional especializado a cargo de la ejecución del programa de educación, comunicación y divulgación.
ARTÍCULO 82. REGULACIÓN EN EL DESARROLLO DE ACTIVIDADES EDUCATIVAS Y CULTURALES EN EL PAF. Es preciso reconocer y potenciar los trabajos educativos y culturales que por iniciativas de carácter comunitario, público y privado se presentan alrededor del PAF y precisar un marco para su desarrollo, dando un lugar central a la organización del programa de educación, divulgación y comunicación. La correcta operación del programa de educación, divulgación y comunicación del PAF requiere el cumplimiento de las siguientes directrices:
1. Marco conceptual: Establecer las bases académicas para la construcción de contenidos temáticos y curriculares específicos para áreas arqueológicas, las cuales deberán incluir experiencias didácticas y creativas.
2. Términos de referencia y operación administrativa: Definir las formas de relación con docentes, comunidad educativa, prestadores de servicios educativos, guias, para el desarrollo de iniciativas locales tales como: proyectos ambientales escolares, PRAES, cátedras, planes de aula, etc.
3. Agenda: Programar eventos mensuales, franjas de conciertos, proyección audiovisual, artes escénicas, conferencias, charlas y conversatorios en temas complementarios, entre otros.
4. Actividades educativas y culturales: Organizar una oferta de eventos educativos y cultura les de manera permanente y ocasional en el PAF, que deberán ser abiertas al público en general: visitas comentadas, recorridos introductorios, guía general o temática, jornadas pedagógicas, asesorías, conferencias, talleres, etc.
Entendiendo que la educación no es una actividad misional del ICANH y que realizar estas actividades requiere personal idóneo, para el desarrollo o cumplimiento de las anteriores medidas, el ADMINISTRADOR del PAF podrá desarrollar convenios con entidades públicas o privadas. Al respecto, se recomienda que estos actores cuenten con respaldo o experiencia institucional en el trabajo específico en educación, patrimonio, arte rupestre, arqueología, historia, geología y turismo principalmente; no obstante, podrían plantearse iniciativas desde otras temáticas de interés.
Dependiendo de la naturaleza de las entidades con las que la administración del PAF suscriba convenios, se plantean las siguientes posibilidades o actores:
- Convenios interadministrativos con entidades públicas: Se priorizarán universidades públicas, instituciones de educación superior y grupos de investigación relacionados con el tema. Ejemplo de ello pueden ser: Universidad Nacional de Colombia, Universidad Pedagógica Nacional, Servicio Nacional de Aprendizaje (Sena), escuelas taller, entre otras.
- Convenio de asociación con universidad privada o fundaciones: Se podrán tener en cuenta universidades privadas como la Universidad Externado de Colombia, así como organizaciones sin ánimo de lucro que tengan alguna relación o experiencia en el PAF con estas labores educativas y culturales.
DISPOSICIONES FINALES.
ARTÍCULO 83. OBLIGATORIEDAD DEL PEMP. Una vez entre en vigencia la presente resolución de declaratoria como BICN del Parque Arqueológico de Facatativá, y la aprobación del PEMP, las solicitudes de licencias urbanísticas sobre el BIC nacional y los inmuebles localizados en su zona de influencia se resolverán con sujeción a las normas urbanísticas y arquitectónicas adoptadas en este PEMP, de conformidad con lo dispuesto en el artículo 2.2.6.1.1.9 del Decreto Nacional 1077 de 2015 y las demás normas que lo complementen, adicionen, modifiquen o sustituyan.
ARTÍCULO 84. IMPLEMENTACIÓN DEL PEMP. Una vez entre en vigencia la presente resolución, el Ministerio de Cultura en representación de la Nación, como propietario del PAF objeto de este PEMP deberá verificar su implementación. Para el efecto, el Ministerio de Cultura programará visitas técnicas por lo menos una vez cada año. De conformidad con lo establecido en el Decreto 1080 de 2015, el Ministerio de Cultura deberá elaborar un informe de las visitas a las que se refiere este artículo.
ARTÍCULO 85. PREVALENCIA DEL PEMP. De conformidad con lo establecido en el artículo 7o de la Ley 397 de 1997, modificado por el artículo 11 de la Ley 1185 de 2008, el artículo 10 de la Ley 388 de 1997 y el artículo 2.4.1.1 del Decreto Reglamentario Único del Sector Cultural, el Plan de Ordenamiento Territorial de Facatativá, y en general, las normas urbanísticas que se expidan para la zona afectada y la zona de influencia del presente PEMP, sobre conservación, preservación y uso de las áreas e inmuebles de interés cultural constituyen normas de superior jerarquía en el momento de elaborar, adoptar, modificar o ajustar los Planes de Ordenamiento Territorial del municipio, por lo cual lo establecido en el presente plan especial de manejo y protección deberá aplicarse de preferencia frente a cualquier disposición que contraríe o desconozca su contenido.
ARTÍCULO 86. INCORPORACIÓN DEL PEMP AL POT DE FACATATIVÁ. En cumplimiento de lo dispuesto en el numeral 1.3. del artículo 11 de la Ley 397 de 1997 (modificado por el artículo 7o de la Ley 1185 de 2008), el municipio de Facatativá (Cundinamarca) incorporará en el Plan de Ordenamiento Territorial (POT) el PEMP aprobado mediante la presente resolución.
ARTÍCULO 87. INSCRIPCIÓN EN EL REGISTRO DE INSTRUMENTOS PÚBLICOS. La Dirección de Patrimonio del Ministerio de Cultura remitirá la publicación de la presente resolución y copia de la misma a la respectiva Oficina de Registro de Instrumentos Públicos, a fin de que:
1. Incorpore en los respectivos Folios de Matrícula Inmobiliaria la declaratoria BICN del Parque Arqueológico de Facatativá.
2. Inscriba, en los correspondientes Folios de Matrícula Inmobiliaria de los inmuebles que conforman el área afectada y la zona de influencia definidas en la presente resolución, la anotación sobre la existencia del presente Plan Especial de Manejo y Protección (PEMP).
Para el cumplimiento de lo anterior, la Dirección de Patrimonio y Memoria enviará copia del presente acto administrativo.
PARÁGRAFO. Con el fin de suministrar la información respectiva a la Oficina de Registro de Instrumentos Públicos competente, en aquellos casos de predios respecto de los cuales no se cuenta con la información de la Matrícula Inmobiliaria, la administración municipal, dentro de los tres (3) meses siguientes a la entrada en vigencia de la presente resolución, adelantará los trámites necesarios para obtener el correspondiente número de matrícula inmobiliaria y lo informará al Ministerio de Cultura.
ARTÍCULO 88. DIFERENCIAS DE CRITERIO. Las diferencias de criterio que surjan en relación con la aplicación e interpretación del presente PEMP serán dirimidas por el Ministerio de Cultura.
ARTÍCULO 89. MODIFICACIONES. Cualquier modificación del presente PEMP requiere la elaboración previa de un estudio técnico que la sustente en concordancia con las normas vigentes sobre el patrimonio cultural, y requerirá el concepto previo favorable del Consejo Nacional de Patrimonio Cultural.
ARTÍCULO 90. RÉGIMEN SANCIONATORIO. En cumplimiento de lo dispuesto en el numeral 7 del artículo 2.4.1.9. del Decreto 1080 de 2015, las personas que vulneren el deber constitucional, legal y reglamentario de proteger el patrimonio cultural de la Nación, representado en el Parque Arqueológico de Facatativá y su zona de influencia, incurrirán en las faltas de que trata el artículo 15 de la Ley 397 de 1997 (modificado por el artículo 10 de la Ley 1185 de 2008) y demás normas aplicables según la falta de que se trate.
Igualmente, quienes incurran en uno o más de los comportamientos contrarios a la protección y conservación del patrimonio cultural, previstos en el artículo 115 de la Ley 1801 de 2016 (Código Nacional de Seguridad y Convivencia Ciudadana)(3), serán objeto de la aplicación de las medidas correctivas a que se refiere el parágrafo 3 del citado artículo, sin perjuicio de las establecidas en la normativa específica y demás disposiciones que las reglamenten, modifiquen, adicionen o sustituyan.
ARTÍCULO 91. RÉGIMEN DE TRANSICIÓN. El presente PEMP se regirá por los actos de adopción enunciados en el mismo, sin perjuicio de que, de acuerdo con el régimen de transición contenido en el artículo 2.4.1.1.17 del Decreto 2358 de 2019, pueda revisarse, ajustarse y/o adicionarse conforme a las disposiciones vigentes.
ARTÍCULO 92. PUBLICIDAD. La presente resolución es un acto administrativo de carácter general; por ende, su publicación se llevará a cabo, conforme lo establece el artículo 65 de la Ley 1437 de 2011.
ARTÍCULO 93. VIGENCIA Y DEROGATORIAS. La presente resolución rige a partir de su publicación en el Diario Oficial y deroga todas las normas que le sean contrarias.
Dada en Bogotá, D. C., a 9 de diciembre de 2020.
La Ministra de Cultura,
Carmen Inés Vásquez Camacho.
CONSULTAR ANEXO EN EL ORIGINAL IMPRESO O EN FORMATO PDF.
NOTAS AL FINAL:
1. ICANH. 2009. Manual de mantenimiento para la conservación de los parques arqueológicos de San Agustín, Alto de los Ídolos y Alto de las Piedras. P. 13.
2. Definidos en el guion museológico del PAF.
3. Artículo 6o de la Ley 2000 del 14 de noviembre de 2019.