RESOLUCIÓN 1560 DE 2018
(mayo 22)
Diario Oficial No. 50.609 de 30 de mayo de 2018
MINISTERIO DE CULTURA
Por la cual se aprueba el Plan Especial de Manejo y Protección (PEMP) del Cordón Amurallado y el Castillo de San Felipe de Barajas, ubicados en Cartagena de Indias, declarados monumento nacional, hoy bienes de interés cultural del ámbito nacional.
LA MINISTRA DE CULTURA,
en uso de las facultades que le confiere el numeral 1 del artículo 11 de la Ley 397 de 1997, modificado por el numeral 1 del artículo 7o de la Ley 1185 de 2008 y el Decreto Único Reglamentario del Sector Cultural 1080 de 2015, y
CONSIDERANDO:
Que el ordenamiento territorial constituye una función pública que busca la satisfacción de diversos intereses relacionados con el acceso a infraestructuras urbanas de soporte, espacios públicos, la materialización de derechos constitucionales, la administración del uso del suelo, la mejora de la calidad de vida de los habitantes, la distribución equitativa de las carga y los beneficios, así como la preservación del patrimonio cultural.
Que el artículo 72 de la Constitución Política establece que
El patrimonio cultural de la Nación está bajo la protección del Estado. El patrimonio arqueológico y otros bienes culturales que conforman la identidad nacional, pertenecen a la Nación y son inalienables, inembargables e imprescriptibles. La ley establecerá los mecanismos para readquirirlos cuando se encuentren en manos de particulares y reglamentará los derechos especiales que pudieran tener los grupos étnicos asentados en territorios de riqueza arqueológica.
Que la Ley 397 de 1997 (ley general de cultura), modificada y adicionada por la Ley 1185 de 2008, establecieron como objetivos de la política estatal, en relación con el patrimonio cultural de la Nación, la salvaguardia, protección, recuperación, conservación, sostenibilidad y divulgación del mismo, con el propósito fundamental de que este sirva como testimonio de la identidad cultural nacional para las generaciones presentes y futuras;
Que el artículo 4o de la Ley 397 de 1997, modificado por el artículo 1o de la Ley 1185 de 2008, establece que:
El patrimonio cultural de la Nación está constituido por todos los bienes materiales, las manifestaciones inmateriales, los productos y las representaciones de la cultura que son expresión de la nacionalidad colombiana, tales como la lengua castellana, las lenguas y dialectos de las comunidades indígenas, negras y creoles, la tradición, el conocimiento ancestral, el paisaje cultural, las costumbres y los hábitos, así como los bienes materiales de naturaleza mueble e inmueble a los que se les atribuye, entre otros, especial interés histórico, artístico, científico, estético o simbólico en ámbitos como el plástico, arquitectónico, urbano, arqueológico, lingüístico, sonoro, musical, audiovisual, fílmico, testimonial, documental, literario, bibliográfico, museológico o antropológico.
Que el artículo 8o de la Ley 397 de 1997, modificado por el artículo 5o de la Ley 1185 de 2008, señala que le corresponde al Ministerio de Cultura, previo concepto favorable del Consejo Nacional de Patrimonio Cultural, declarar los bienes de interés cultural (BIC) del ámbito nacional y gestionar su manejo;
Que el artículo 11 de la Ley 397 de 1997, modificado por el artículo 7o de la Ley 1185 de 2008, en concordancia con lo dispuesto en el artículo 2.4.1.4.1 del Decreto Único Reglamentario del Sector Cultural 1080 de 2015, establece el Régimen Especial de Protección de los BIC, de acuerdo con el cual:
1. La declaratoria de un bien como de interés cultural incorporará el plan especial de manejo y protección (PEMP) cuando se requiera, de conformidad con lo definido en la Ley 397 de 1997, modificada por la Ley 1185 de 2008.
2. La autoridad que efectúe la declaratoria de un bien inmueble de interés cultural informará a la correspondiente Oficina de Registro de Instrumentos Públicos, a efectos de que esta incorpore la respectiva anotación en el folio de matrícula inmobiliaria correspondiente, y la anotación sobre la existencia del plan especial de manejo y protección aplicable al inmueble, si dicho plan fuese requerido.
3. Los planes especiales de manejo y protección relativos a bienes inmuebles deberán ser incorporados por las autoridades territoriales en sus respectivos planes de ordenamiento territorial. El PEMP puede limitar los aspectos relativos al uso y edificabilidad de los bienes inmuebles que sean declarados de interés cultural y su área de influencia, aun si ya hubiese sido aprobado un plan de ordenamiento territorial sin dichas limitaciones por la respectiva autoridad territorial.
4. De conformidad con lo preceptuado en los numerales 2 del artículo 10, y 4 del artículo 28 de la Ley 397 de 1997, o las normas que los sustituyan, las disposiciones sobre conservación, preservación y uso de las áreas e inmuebles de interés cultural constituyen normas de superior jerarquía en relación con los planes de ordenamiento territorial de los municipios y distritos.
5. La intervención de un bien de interés cultural del ámbito nacional deberá contar con la autorización del Ministerio de Cultura, según el caso. Por intervención se entiende todo acto que cause cambios a cualquier bien de interés cultural o que afecte el estado de estos bienes, lo que comprende, a título enunciativo, actos de conservación, restauración, recuperación, remoción, demolición, desmembramiento, desplazamiento o subdivisión. Las intervenciones deberán conformarse a lo dispuesto en el respectivo plan especial de manejo y protección si este fuese requerido.
Que de acuerdo con las normas citadas en esta sección, el PEMP es un instrumento de gestión del patrimonio cultural, mediante el cual se establecen las acciones necesarias con el objetivo de garantizar la protección, conservación y sostenibilidad de los BIC mediante:
1. Acciones de protección de carácter preventivo o correctivo para la conservación de los bienes muebles.
2. Mecanismos y estrategias que permitan la recuperación y sostenibilidad de los bienes.
3. Condiciones y estrategias para el mejor conocimiento y la apropiación de los bienes por la comunidad, con el fin de garantizar su conservación y su transmisión a futuras generaciones.
4. Niveles de intervención y posibles usos a partir de la vocación de cada espacio.
Que el artículo 11 de la Ley 397 de 1997, modificado por el artículo 7o de la Ley 1185 de 2008, especifica que en los PEMP se establecerán el área afectada, la zona de influencia, el nivel permitido de intervención, las condiciones de manejo y el plan de divulgación, con el propósito de obtener el respaldo de la comunidad a la conservación de los respectivos BIC.
Que el artículo 2.4.1.1.2 del Decreto Reglamentario Único del Sector Cultural número 1080 de 2015 establece las categorías en las que se clasifican los BIC, para efectos de la expedición de los correspondientes PEMP.
Que las categorías en las que se clasifican los bienes inmuebles de interés cultural, de acuerdo con la disposición citada arriba, son: i) del grupo urbano y ii) del grupo arquitectónico;
Que el artículo 2.4.1.1.2 del Decreto Único Reglamentario 1080 de 2015 establece que los bienes inmuebles de interés cultural que hacen parte del grupo arquitectónico son las construcciones de arquitectura habitacional, institucional, comercial, industrial, militar, religiosa, para el transporte y las obras de ingeniería.
Que el artículo 2.4.1.1.3 del Decreto Único Reglamentario 1080 de 2015 establece que cualquier bien inmueble del grupo arquitectónico que sea declarado bien de interés cultural requiere de un PEMP cuando se presente alguna de las siguientes condiciones:
1. Riesgo de transformación o demolición parcial o total debido a desarrollos urbanos, rurales o infraestructura.
2. Cuando el uso represente riesgo o limitación para su conservación.
3. Cuando el bien requiera definir o redefinir su normativa y/o la de su entorno para efectos de su conservación.
Que el artículo 4o de la Ley 163 de 1959 declaró monumentos nacionales los sectores antiguos, cuando dispuso lo siguiente:
Declárense como monumentos nacionales los sectores antiguos de las ciudades de Tunja, Cartagena, Mompox, Popayán, Guaduas, Pasto y Santa Marta […]
PARÁGRAFO. Para los efectos de la presente ley se entenderá por sectores antiguos los de las ciudades de Tunja, Cartagena, Mompox, Popayán, Guaduas, Pasto, Santa Marta, Santa Fe de Antioquia, Mariquita, Cartago, Villa de Leyva, Cali, Cerrito y Buga. Las calles, plazas, plazoletas, murallas, inmuebles, incluidos casas y construcciones históricas, en los ejidos, inmuebles, etc., incluidos en el perímetro que tenían estas poblaciones durante los siglos XVI, XVII y XVIII” (negrilla agregada).
Que el Decreto nacional 1911 de 1995 declaró monumentos nacionales determinados inmuebles de la ciudad de Cartagena de Indias, entre los cuales están los siguientes:
1. Castillo de San Felipe de Barajas y las baterías Colaterales
2. Puerta principal (hoy Torre del Reloj)
3. Baluarte de la Contaduría (o San Juan)
4. Cortina entre los baluartes de La Contaduría y San Ignacio
5. Baluarte de San Ignacio
6. Cortina entre los baluartes de San Ignacio y San Francisco Javier
7. Baluarte de San Francisco Javier
8. Cortina entre los baluartes San Francisco Javier y Santiago
9. Baluarte de Santiago
10. Cortina entre los baluartes de Santiago y Santo Domingo
11. Baluarte de Santo Domingo
12. Cortina entre los baluartes de Santo Domingo y Santa Cruz
13. Baluarte de Santa Cruz
14. Cortina entre los baluartes de Santa Cruz y La Merced, o plataforma de Ballestas
15. Baluarte de la Merced
16. Muralla entre los baluartes La Merced y Santa Clara
17. Baluarte de Santa Clara
18. Cortina entre los baluartes de Santa Clara y Santa Catalina
19. Baluarte de Santa Catalina
20. Cortina entre los baluartes de Santa Catalina y San Lucas
21. Baluarte de San Lucas
22. Cortina entre los baluartes de San Lucas y San Pedro Mártir
23. Baluarte de San Pedro Mártir
24. Edificio militar las Bóvedas
25. El Espigón
Que al tenor de lo expuesto, tanto los componentes que conforman el Cordón Amurallado de Cartagena (bóvedas, baluartes y cortinas) como los que componen el castillo de San Felipe de Barajas (baterías), fueron declarados monumentos nacionales antes de que entrara en vigencia la Ley 397 de 1997, y por expresa disposición legal, estos inmuebles son BIC de la Nación a partir del 7 de agosto de 1997, fecha de entrada en vigencia de la Ley 397 de 1997.
Que mediante la Convención sobre la Protección del Patrimonio Mundial Cultural y Natural, la Organización de las Naciones Unidas para la Educación, la Ciencia y la Cultura (Unesco) reconoce la importancia de proteger, identificar, conservar, rehabilitar y transmitir a las futuras generaciones el patrimonio cultural y nacional de los Estados parte.
Que en el año 1984 el puerto, las fortalezas y el conjunto monumental de Cartagena de Indias fueron incluidos en la Lista del patrimonio mundial de la Unesco;
Que el Cordón Amurallado de Cartagena y el castillo de San Felipe de Barajas son construcciones arquitectónicas militares que sirvieron para proteger a la ciudad de invasiones foráneas y utilizadas como lugares de almacenamiento y depósito de armas, así como también de cuartel militar durante el imperio español.
Que en virtud de lo expuesto, y de acuerdo con el artículo 2.4.1.1.2 del Decreto Reglamentario Único 1080 de 2015, el Cordón Amurallado de Cartagena y el castillo de San Felipe de Barajas son bienes de interés cultural de ámbito nacional del grupo arquitectónico.
Que de acuerdo con el artículo 2.4.1.3.3 del Decreto Reglamentario Único 1080 de 2015, el Ministerio de Cultura tiene la facultad de definir aspectos técnicos y administrativos que desarrollen como mínimo dos fases del PEMP: i) Fase I: de análisis y diagnóstico, para evaluar el estado actual del BIC y su zona de influencia desde la perspectiva administrativa, financiera, física, legal y social; y ii) Fase II: propuesta integral para la conservación y sostenibilidad del BIC, con el fin de potenciar sus fortalezas, aprovechar las oportunidades, solucionar las debilidades y mitigar las amenazas, de acuerdo con los estudios del diagnóstico.
Que el documento técnico de soporte (DTS) incluyo todos los estudios del diagnóstico, así como los documentos de las directrices para llevar a cabo el plan y la propuesta técnica del PEMP.
Que de acuerdo con el DTS elaborado para la formulación del PEMP del Cordón Amurallado y el castillo de San Felipe de Barajas, es necesario adoptar este instrumento en la medida en que se cumple con los criterios 2 y 3 del artículo 2.4.1.3.3 del Decreto Único Reglamentario del Sector Cultural 1080 de 2015, toda vez que el uso de estos inmuebles representa un riesgo para su conservación y que es necesario definir su normativa y la de su entorno para efectos de asegurar su conservación.
Que de conformidad con el DTS, es necesario que este PEMP prevea soluciones a los problemas urbanos, físicos, administrativos y financieros que afectan el Cordón Amurallado y el castillo de San Felipe de Barajas, y que plantee acciones y alternativas que permitan la recuperación y conservación integral de su estructura física y su significado histórico, turístico y cultural.
Que el artículo 2.4.1.3.1 del Decreto Único Reglamentario del Sector Cultura 1080 de 2015 establece que la competencia para formular un PEMP para un bien de interés cultural del grupo arquitectónico corresponderá al propietario, que en el caso del castillo de San Felipe de Barajas y del Cordón Amurallado es la Nación (específicamente, el Ministerio de Cultura).
Que el estudio de valoración incluido en el DTS identificó los valores propios de los BIC y sus atributos de representatividad teniendo en cuenta los aspectos histórico y estético y su valor universal excepcional, en los términos que se detallan a continuación:
VALOR HISTÓRICO
Situada en la costa norte de Colombia, en una bahía protegida frente al mar Caribe, Cartagena de Indias fue uno de los puertos más importantes del Caribe en la época del Imperio español. Dada la ubicación estratégica de la ciudad, el Imperio español edificó en Cartagena de Indias el sistema de fortificaciones militares más extenso y más completo de Sudamérica en la época, que hoy constituye un ejemplo de la arquitectura militar de los siglos XVI, XVII y XVIII.
El puerto de Cartagena fue un enlace esencial en la ruta de las Indias Occidentales, junto con La Habana y San Juan de Puerto Rico, y la ruta del oro que pasaba por estos puertos constituyó un capítulo importante en la historia de la exploración mundial, y de las grandes rutas marítimas comerciales.
Durante varios siglos Cartagena fue un punto focal de confrontación entre las principales potencias europeas que competían por el control del Nuevo Mundo. Para defenderla, el Imperio español construyó sus fortificaciones entre 1586 y mediados del siglo XVIII, aprovechando las defensas naturales ofrecidas por los numerosos canales y pasos de la bahía.
El sistema inicial de fortificaciones incluyó el muro del recinto urbano, el puerto abatido de San Matías, en la entrada al paso de Bocagrande, y la torre de San Felipe del Boquerón. Todos los pasos naturales del puerto finalmente fueron dominados por fortalezas: San Luis y San José, San Fernando, San Rafael y Santa Bárbara, en Bocachica (el paso suroeste); Santa Cruz, San Juan de Manzanillo y San Sebastián de Pastelillo, alrededor del interior de la bahía, y el formidable castillo de San Felipe de Barajas sobre el risco rocoso que dominaba la ciudad, hacia el este, y protegía el acceso al istmo de Cabrero.
En la seguridad protectora de sus muros defensivos se desarrolló una ciudad rica en arquitectura doméstica y eclesiástica que respondía a las condiciones socioeconómicas de Cartagena como el mayor puerto de las Indias Occidentales.
VALOR ESTÉTICO
Las fortificaciones de Cartagena constituyen un ejemplo excepcional de la arquitectura militar española de los siglos XVI, XVII y XVIII, y son ejemplo de las obras de los ingenieros militares más importantes de ese período, entre los cuales estuvieron Juan Bautista (Giovanni Batista) Antonelli, Juan de Herrera y Sotomayor, Antonio de Arévalo, Ignacio Sala y Juan Bautista MacEvan, quienes se basaron en elementos de los tratados de arquitectura militar de cada época en la que se edificaron las construcciones.
VALOR UNIVERSAL EXCEPCIONAL
De conformidad con el documento de Directrices prácticas para la aplicación de la Convención del Patrimonio Mundial, emitido por el Comité Intergubernamental de Protección del Patrimonio Mundial Cultural y Natural (Centro del Patrimonio Mundial), el Valor Universal Excepcional (VUE) significa una importancia cultural o natural tan extraordinaria que trasciende las fronteras nacionales y cobra importancia para las generaciones presentes y venideras de toda la humanidad, por lo que la protección permanente de este patrimonio es de especial importancia para la comunidad mundial.
Todos los bienes inscritos en la Lista del patrimonio mundial, como son el puerto, las fortalezas y el conjunto monumental de Cartagena de Indias (1984) tienen VUE, de forma que constituyen piezas irreemplazables del legado cultural de la humanidad. El VUE de estos bienes puede apreciarse mediante los criterios i) al vi) de valor universal excepcional descritos en el documento Directrices prácticas. Conforme a lo dispuesto por la Unesco, Cartagena cumple con el criterio (iv) debido a que la ciudad es un ejemplo eminente de la arquitectura militar de los siglos XVI, XVII y XVII, siendo la más extensa fortificación y una de las más completas del Nuevo Mundo, y con el criterio vi) debido a que Cartagena, junto con La Habana (Cuba) y San Juan de Puerto Rico, fue un eslabón esencial en la ruta de las Indias Occidentales y es un vestigio de la época de la exploración mundial.
Teniendo en cuenta la importancia de estos bienes, se estableció un área de estudio que tomó como punto de partida la zona en la cual se reconocen y mantienen los valores propios de la arquitectura militar de la ciudad, zona con la cual hasta el siglo XX estaban íntimamente ligados los bienes por su relaciones visuales, y que actualmente están en peligro por la actividad de construcción inmobiliaria que tiene lugar en la ciudad.
Asociados a los elementos de carácter arquitectónico correspondientes al Cordón Amurallado de Cartagena y al castillo de San Felipe de Barajas se han identificado determinados bienes muebles que tienen especial importancia patrimonial y que deben ser objeto de protección, razón por la cual este acto administrativo identifica el respetivo conjunto de bienes muebles a la luz de las características del espacio donde están ubicados, el nivel permitido de intervención, las condiciones de manejo y el plan de divulgación dirigido a asegurar el respaldo comunitario a su conservación.
En el proceso de elaboración del diagnóstico y de la formulación del presente PEMP se adelantaron los procesos de información pública y participación democrática, y se tuvo en cuenta el principio de coordinación entre la Nación y las autoridades distritales.

Ilustración 1. Ámbito de estudio
Que en cumplimiento del artículo 2.3.2.3 del Decreto Reglamentario Único del Sector Cultural 1080 de 2015, numeral 5, y el artículo 2.4.1.6, la formulación del PEMP del castillo de San Felipe de Barajas y el Cordón Amurallado de la ciudad de Cartagena fue puesta en consideración ante el Consejo Nacional de Patrimonio Cultural, que emitió concepto favorable y recomendó su aprobación, tal como consta en el Acta de la Sesión Ordinaria que se llevó a cabo el día 8 de marzo de 2018.
Que en mérito de lo expuesto,
CONTENIDO
Artículo 1. Aprobación.
Artículo 2. Ámbito de aplicación.
Artículo 3. Objetivo general del Plan Especial de Manejo y Protección (PEMP).
Artículo 4. Objetivos específicos del Plan Especial de Manejo y Protección (PEMP).
Artículo 5. Delimitación del área afectada.
Artículo 6. Delimitación de la zona de influencia.
Artículo 7. Niveles de intervención y tipos de obra permitidos en el área afectada.
Artículo 8. Niveles de intervención y tipos de obra permitidos en la zona de Influencia.
Artículo 9. Tratamiento urbanístico y edificabilidad permitida en el área afectada.
Artículo 10. Usos permitidos área afectada.
Artículo 11. Restricciones de uso en el área afectada.
Artículo 12. Régimen de transición para la aplicación de la normativa urbanística en el área afectada.
Artículo 13. Sectores y subsectores normativos de la zona de influencia.
Artículo 14. Identificación de predios por sectores y subsectores normativos de la zona de influencia.
Artículo 15. Tratamientos urbanísticos y edificabilidad permitida en la zona de influencia.
Artículo 16. Condiciones normativas especiales y complementarias para la zona de influencia.
Artículo 17. Propuesta urbana.
Artículo 18. Identificación del conjunto de muebles.
Artículo 19. Intervenciones permitidas para el conjunto de muebles.
Artículo 20. Principios generales para la intervención.
Artículo 21. Lineamientos de manejo físico del conjunto de muebles.
Artículo 22. Otras medidas para el manejo del conjunto de bienes muebles.
Artículo 23. Modelo institucional.
Artículo 24. Características del ente Administrador.
Artículo 25. Competencias y funciones del ente Administrador.
Artículo 26. Esquema de gestión con los operadores o arrendatarios del BIC.
Artículo 27. Medidas económicas y financieras para la recuperación y sostenibilidad del BIC.
Artículo 28. Fuentes de financiación provenientes de recursos privados.
Artículo 29. Cobro por el uso temporal de espacios.
Artículo 30. Otras fuentes de financiación.
Artículo 31. Mantenimiento del BIC.
Artículo 32. Prácticas socio-culturales asociadas al Patrimonio Cultural Inmaterial (PCI).
Artículo 33. Manifestaciones del Patrimonio Cultural Inmaterial (PCI).
Artículo 34. Estrategias para la protección del Patrimonio Cultural Inmaterial (PCI):
Artículo 35. Condiciones de manejo físico técnico para la protección del Patrimonio Cultural Inmaterial (PCI).
Artículo 36. Condiciones de manejo administrativo para la protección del Patrimonio Cultural Inmaterial (PCI).
Artículo 37. Condiciones de manejo financiero para la protección del Patrimonio Cultural Inmaterial (PCI).
Artículo 38. Objetivo de los programas y proyectos.
Artículo 39. Programas del PEMP.
Artículo 40. Proyectos del PEMP.
Artículo 41. Objetivo del plan de divulgación.
Artículo 42. Estrategias de divulgación.
Artículo 43. Obligatoriedad del PEMP.
Artículo 44. Implementación del PEMP.
Artículo 45. Prevalencia del PEMP.
Artículo 46. Incorporación del PEMP al POT de Cartagena de Indias.
Artículo 47. Inscripción en el Registro de Instrumentos Públicos.
Artículo 48. Diferencias de criterio.
Artículo 49. Modificaciones.
Artículo 50. Autorización de intervenciones en el área afectada.
Artículo 51. Régimen sancionatorio.
Artículo 52. Documentos del Plan Especial de Manejo y Protección (PEMP).
Artículo 53. Vigencia y derogatorias.
ÍNDICE DE ILUSTRACIONES
Ilustración 1. Ámbito de estudio
Ilustración 2. Identificación del Cordón Amurallado
Ilustración 3. Identificación del castillo de San Felipe de Barajas
Ilustración 4.. Delimitación del área afectada
Ilustración 5. Corte del área afectada para el caso 1. Centro-San Diego
Ilustración 6. Corte del área afectada frente a la laguna de San Lázaro
Ilustración 7. Corte del área afectada frente al muelle de los Pegasos
Ilustración 8. Delimitación de la zona de influencia
Ilustración 9. Bienes de interés cultural de los ámbitos Nacional y distrital localizados en la zona de influencia
Ilustración 10. Sectores normativos de la zona de influencia
Ilustración 11. Sub sectores normativos de la zona de influencia
ÍNDICE DE TABLAS
Tabla 1. Inmuebles del área afectada
Tabla 2. Coordenadas de delimitación del polígono 1 del área afectada, Centro - San Diego
Tabla 3. Coordenadas de delimitación del polígono 2 del área afectada, Getsemaní - Puente de la Media Luna - Castillo San Felipe de Barajas.
Tabla 4. Coordenadas de delimitación de la zona de influencia.
Tabla 5. Usos permitidos en el área afectada
Tabla 6. Identificación de los sectores y subsectores normativos de la zona de influencia
Tabla 7. Identificación de subsectores del sector normativo II
Tabla 8. Identificación de predios del subsector IIa
Tabla 9. Identificación de predios del subsector IIb
Tabla 10. Identificación de predios del subsector IIc
Tabla 11. Identificación de predios del subsector IId
Tabla 12. Identificación de subsectores del sector normativo III
Tabla 13. Identificación de predios del subsector IIIa
Tabla 14. Identificación de predios del subsector IIIb
Tabla 15. Identificación de predios del subsector IIIc
Tabla 16. Identificación de predios del subsector IIId
Tabla 17. Identificación de predios del subsector IIIe
Tabla 18. Identificación de predios del subsector IIIf
Tabla 19. Identificación de predios del subsector IIIg
Tabla 20. Identificación de predios del subsector IIIi
Tabla 21. Identificación de predios del subsector IIIj
Tabla 22. Identificación de predios del subsector IIIj
Tabla 23. Identificación de subsectores del sector normativo IV
Tabla 24. Identificación de predios del subsector IV
Tabla 25. Normativa urbanística de la zona de influencia
Tabla 26. Identificación de bienes muebles
Tabla 27. Prácticas socioculturales asociadas al PCI
Tabla 28. Manifestaciones del PCI
RESUELVE:
DISPOSICIONES GENERALES.
ARTÍCULO 1o APROBACIÓN. La presente resolución tiene por objeto aprobar el Plan Especial de Manejo y Protección (PEMP) del Cordón Amurallado de Cartagena y el castillo de San Felipe de Barajas, bienes declarados monumentos nacionales, hoy BIC del ámbito nacional del grupo arquitectónico.
ARTÍCULO 2o. ÁMBITO DE APLICACIÓN. La presente resolución tiene aplicación en el área afectada y en la zona de influencia definidas en los artículos 5o y 6o de la presente resolución.


ARTÍCULO 3o. OBJETIVO GENERAL DEL PLAN ESPECIAL DE MANEJO Y PROTECCIÓN (PEMP). El PEMP tiene como objetivo plantear acciones y alternativas que permitan la recuperación y conservación del Cordón Amurallado de Cartagena y del castillo de San Felipe de Barajas, para preservar y potenciar sus valores culturales y patrimoniales, con el objeto de facilitar su sostenibilidad en el tiempo y su reconocimiento por la sociedad.
Para lograr este objetivo, este PEMP realiza las siguientes acciones:
3.1. Define las condiciones para la edificabilidad y los usos asociados a la articulación del Cordón Amurallado de la ciudad de Cartagena y el castillo de San Felipe de Barajas con su contexto físico y arquitectónico, teniendo en cuenta los planes preexistentes y su entorno sociocultural, para lo cual parte de la conservación de sus valores, vela por la mitigación de los riesgos que pueden afectar los BIC y procura aprovechar sus potencialidades.
3.2. Precisa las acciones de protección de carácter preventivo o correctivo necesarias para la conservación de los BIC.
3.3. Establece las condiciones físicas de mantenimiento y conservación de los BIC.
3.4. Establece los mecanismos o determinantes que deberán tenerse en cuenta para la recuperación y sostenibilidad de los BIC.
3.5. Genera condiciones y estrategias para el mejor conocimiento y la apropiación de los BIC por la comunidad, con el fin de garantizar la conservación de los bienes y su transmisión a las futuras generaciones.
ARTÍCULO 4o. OBJETIVOS ESPECÍFICOS DEL PLAN ESPECIAL DE MANEJO Y PROTECCIÓN (PEMP). De acuerdo con las orientaciones definidas en el Decreto Único Reglamentario del Sector Cultural 1080 de 2015, y conforme a los lineamientos a los que se deben ajustar los PEMP, esta resolución establece tres objetivos específicos para el PEMP, enfocados en aspectos indispensables para la conservación preventiva de los BIC y en las posibles intervenciones, con miras a garantizar su conservación y su adecuada gestión:
4.1. Objetivos enfocados en la conservación preventiva
4.1.1. Fomentar las buenas prácticas de uso y manejo del Cordón Amurallado de Cartagena, el castillo de San Felipe y los bienes muebles e inmuebles.
4.1.2. Mitigar los riesgos a los que están expuestos los BIC muebles e inmuebles.
4.1.3. Promover la capacidad institucional para prevenir y responder a los eventos inesperados que puedan afectarlos por fenómenos naturales o antropogénicos, tales como sismos y alteraciones en las estructuras de los BIC muebles e inmuebles.
4.1.4. Hacer el mantenimiento periódico de los BIC muebles e inmuebles de acuerdo con lo establecido en el Manual de mantenimiento del Cordón Amurallado de la ciudad de Cartagena y del castillo de San Felipe de Barajas, y en lo dispuesto por el Decreto Reglamentario Único del Sector Cultural 1080 de 2015 y las normas que lo modifiquen.
4.2. Objetivos enfocados en las intervenciones para la conservación
4.2.1. Fomentar la investigación histórica de los BIC muebles e inmuebles y sus componentes antes de cualquier intervención.
4.2.2. Fomentar la investigación de las propiedades físicas, mecánicas y químicas de los materiales constitutivos de los BIC muebles e inmuebles.
4.2.3. Fomentar la investigación histórica de los procesos constructivos y las técnicas utilizadas en la etapa de construcción de los BIC inmuebles.
4.2.4. Fomentar la investigación de las intervenciones que han sufrido los BIC inmuebles a lo largo del tiempo, identificando los materiales, procesos y técnicas utilizados para tal fin.
4.2.5. Fomentar la investigación de las propiedades físicas, mecánicas y químicas de los materiales actuales que se vayan a utilizar en las intervenciones, de tal forma que se identifiquen fuentes de materiales con propiedades similares a los originalmente empleados en los BIC muebles e inmuebles.
4.2.6. Elaborar registros de cada una de las intervenciones que se han hecho en el pasado a los BIC inmuebles, para determinar los alcances de las mismas, los materiales utilizados y sus propiedades, los procesos y técnicas de intervención utilizados, planos, memorias técnicas y registro fotográfico y de video.
4.2.7. Definir, por medio del PEMP, los niveles de intervención patrimonial admisibles y las condiciones normativas urbanísticas aplicables al área afectada y a la zona de influencia de los BIC inmuebles, de forma que permitan su articulación con el ordenamiento territorial de la ciudad de Cartagena.
4.3. Objetivos enfocados en la gestión de los BIC
4.3.1. Determinar los lineamientos para promover la integración funcional entre el Cordón Amurallado de Cartagena y el castillo de San Felipe de Barajas con la estructura urbana que los rodea, con miras a mejorar sus calidades ambientales, espaciales y urbanísticas.
4.3.2. Identificar las condiciones que debe cumplir el administrador a cargo de la gestión del PEMP.
4.3.3. Identificar las acciones que debe adelantar la Administración local para coordinar con la entidad custodia y administradora del Cordón Amurallado y el castillo de San Felipe para asegurar el mantenimiento del área afectada y la gestión integral del PEMP, con apoyo de la Dirección de Patrimonio del Ministerio de Cultura.
4.3.4. Identificar las posibles fuentes de financiación para la gestión y ejecución del PEMP.
4.3.5. Establecer las condiciones que deben aplicarse para el desarrollo de actividades de uso, manejo, administración, ocupación, convivencia, puesta en valor, desarrollo cultural y recreación en las áreas correspondientes al Cordón Amurallado de Cartagena y al castillo de San Felipe de Barajas.
DELIMITACIÓN DEL ÁREA AFECTADA Y LA ZONA DE INFLUENCIA DEL CORDÓN AMURALLADO Y DEL CASTILLO DE SAN FELIPE DE BARAJAS.
ARTÍCULO 5o. DELIMITACIÓN DEL ÁREA AFECTADA. La delimitación del área afectada que corresponde al presente PEMP se basa en la identificación de los componentes que históricamente hacen parte del Cordón Amurallado de Cartagena y del castillo de San Felipe de Barajas, e incluye también los elementos arquitectónicos y urbanísticos que permiten su vinculación funcional e histórica como conjunto.
Se delimita como área afectada el área correspondiente al sector del Cordón Amurallado del sector Centro-San Diego, y el sector del Cordón Amurallado Getsemaní-Puente de la Media Luna-Castillo San Felipe de Barajas. Esta área se identifica con un único sector constituido por todos y cada uno de los inmuebles destacados en la ilustración n.° 4, “Delimitación área afectada”.
En el área afectada están los siguientes inmuebles:
| Inmuebles | Componentes | Identificación |
| Cordón Amurallado de Cartagena | Baluartes | Santo Domingo Santiago Apóstol San Francisco Javier San Ignacio La Contaduría o San Juan Evangelista Santa Clara Santa Catalina San Lucas Santa Cruz La Merced San Pedro Mártir El Reducto San José Santa Bárbara Santa Teresa San Miguel de Chambacú Espigón de la Tenaza La Torre del Reloj |
| Lienzos o cortinas | Entre San Lucas y Santa Catalina Entre Santa Catalina y Santa Clara Entre Santa Clara y La Merced Entre la Merced y Santa Cruz Entre La Cruz y Santo Domingo Entre Santo Domingo y Santiago Entre Santiago y San Francisco Javier Entre San Francisco Javier y San Ignacio Entre San Ignacio y La Contaduría (San Juan Evangelista) Entre San Pedro Mártir y San Lucas Entre El Reducto y San José Entre San José y Santa Bárbara Entre Santa Teresa y San Miguel de Chambacú De la boca del puente Del edificio militar de Las Bóvedas | |
| Bóvedas | Cuartel de Bóvedas (23) Bóveda Santo Domingo | |
| Castillo de San Felipe de Barajas | Baterías | Bonete La Redención Santa Bárbara San Lázaro La Cruz Hornabeque San Carlos y los Doce Apóstoles |

El área afectada está conformada entonces por dos polígonos delimitados así:
Polígono 1. Centro – San Diego
Toma como punto de partida la intersección de la calle 30 con la av. Blas de Lezo, en sentido norte-sur, pasando por el baluarte de San Juan Evangelista y bordeando la plaza de la Paz hasta el desaparecido baluarte San Pedro Apóstol, donde se retorna en sentido norte-sur sobre la contraescarpa de la torre del Reloj, desde la plaza de los Coches, pasando por la plaza de la Aduana hasta el baluarte de San Ignacio, y girando en sentido occidente y siguiendo el paseo de la Ronda hasta el baluarte San Francisco (incluyendo la plaza San Pedro), virando luego hacia el norte sobre la carrera 2, pasando por los baluartes de San Pedro Apóstol y Santo Domingo hasta calle 36, para luego girar hacia el noroccidente y tomar la carrera 1, pasando por los baluartes de Santa Cruz, Ballestas, La Merced, Santa Clara y las Bóvedas hasta la carrera 10, y girar hacia el suroriente sobre la carrera 11 pasando por el baluarte de San Lucas, la puerta de Santa Catalina y la puerta de La Paz y Concordia hasta el baluarte de San Pedro Mártir, donde se toma dirección occidente sobre la av. Venezuela, atravesando la av. Rafael Núñez hasta la laguna del Cabrero, estableciéndose rumbo norte y bordeando la misma laguna hasta virar al noroccidente entre el límite oriental del parque Apolo y la Ermita, donde se realiza un nuevo giro hacia el suroccidente sobre la carrera 2 hasta la calle 34, y tomándose la anterior vía al noroccidente hasta la línea costera, extendiéndose 100 metros al interior del mar Caribe, y manteniéndose paralela a la línea costera en sentido sur-oriente hasta la intersección con la proyección en el mar de la carrera 31A, para girar luego hacia oriente hasta el Baluarte de San Francisco y tomar finalmente la calle 30 en el mismo sentido hasta la av. Blas de Lezo.
Los anteriores límites están contenidos en el polígono conformado por las siguientes coordenadas:
Delimitación del área afectada – Polígono 1. Centro San Diego
| Puntos | Coordenadas | |||
| 1 | N | 1.644.586,11 | E | 838.206,08 |
| 2 | N | 1.644.607,24 | E | 838.318,04 |
| 3 | N | 1.644.621,77 | E | 838.395,05 |
| 4 | N | 1.644.578,70 | E | 838.413,50 |
| 5 | N | 1.644.508,62 | E | 838.669,94 |
| 6 | N | 1.644.521,43 | E | 838.686,01 |
| 7 | N | 1.644.656,14 | E | 838.782,01 |
| 8 | N | 1.644.703,88 | E | 838.829,46 |
| 9 | N | 1.644.717,02 | E | 838.831,12 |
| 10 | N | 1.644.739,25 | E | 838.852,98 |
| 11 | N | 1.644.790,51 | E | 838.874,46 |
| 12 | N | 1.644.800,29 | E | 838.841,58 |
| 13 | N | 1.644.730,97 | E | 838.786,66 |
| 14 | N | 1.644.692,46 | E | 838.765,74 |
| 15 | N | 1.644.590,53 | E | 838.684,79 |
| 16 | N | 1.644.577,12 | E | 838.686,48 |
| 17 | N | 1.644.573,74 | E | 838.620,80 |
| 18 | N | 1.644.605,27 | E | 838.488,89 |
| 19 | N | 1.644.628,07 | E | 838.496,14 |
| 20 | N | 1.644.624,56 | E | 838.425,75 |
| 21 | N | 1.644.666,74 | E | 838.416,91 |
| 22 | N | 1.644.817,20 | E | 838.363,57 |
| 23 | N | 1.644.946,23 | E | 838.352,32 |
| 24 | N | 1.644.965,01 | E | 838.353,55 |
| 25 | N | 1.645.001,18 | E | 838.367,38 |
| 26 | N | 1.645.117,54 | E | 838.477,79 |
| 27 | N | 1.645.186,92 | E | 838.574,03 |
| 28 | N | 1.645.212,49 | E | 838.583,53 |
| 29 | N | 1.645.244,54 | E | 838.639,72 |
| 30 | N | 1.645.403,09 | E | 838.904,43 |
| 31 | N | 1.645.445,00 | E | 838.951,00 |
| 32 | N | 1.645.473,04 | E | 839.037,25 |
| 33 | N | 1.645.553,46 | E | 839.165,05 |
| 34 | N | 1.645.543,70 | E | 839.216,43 |
| 35 | N | 1.645.533,26 | E | 839.229,23 |
| 36 | N | 1.645.488,18 | E | 839.267,86 |
| 37 | N | 1.645.464,18 | E | 839.279,40 |
| 38 | N | 1.645.433,11 | E | 839.274,38 |
| 39 | N | 1.645.359,16 | E | 839.229,23 |
| 40 | N | 1.645.347,52 | E | 839.227,54 |
| 41 | N | 1.645.312,07 | E | 839.241,30 |
| 42 | N | 1.645.221,50 | E | 839.275,49 |
| 43 | N | 1.645.154,15 | E | 839.274,38 |
| 44 | N | 1.645.149,97 | E | 839.294,17 |
| 45 | N | 1.645.235,76 | E | 839.364,98 |
| 46 | N | 1.645.295,75 | E | 839.304,73 |
| 47 | N | 1.645.377,64 | E | 839.308,50 |
| 48 | N | 1.645.489,67 | E | 839.384,94 |
| 49 | N | 1.645.553,99 | E | 839.454,45 |
| 50 | N | 1.645.581,77 | E | 839.437,71 |
| 51 | N | 1.645.588,55 | E | 839.446,16 |
| 52 | N | 1.645.659,17 | E | 839.401,79 |
| 53 | N | 1.645.603,71 | E | 839.309,60 |
| 54 | N | 1.645.829,49 | E | 839.194,12 |
| 55 | N | 1.645.189,76 | E | 838.244,86 |
| 56 | N | 1.645.174,21 | E | 838.220,01 |
Delimitación del área afectada – Polígono 1. Centro San Diego
| Puntos | Coordenadas | |||
| 57 | N | 1.645.128,77 | E | 838.183,56 |
| 58 | N | 1.645.081,81 | E | 838.170,77 |
| 59 | N | 1.644.910,92 | E | 838.119,08 |
| 60 | N | 1.644.830,31 | E | 838.110,99 |
| 1 | N | 1.644.586,11 | E | 838.206,08 |
Tabla 2. Coordenadas de delimitación del polígono 1 del área afectada, Centro - San Diego
| Sistema de coordenadas: | MAGNA Cartagena Bolívar |
| Proyección: | IGAC Plano cartesiano |
| Datum: | MAGNA |
| False easting: | 842.981.4100 |
| False northing: | 1.641.887.0900 |
| Longitude of center: | - 75.5112 |
| Latitude of center: | 10.3970 |
| Height: | 0.0000 |
| Unidades: | Metro |
Polígono 2. Getsemaní - Puente de la Media Luna - Castillo San Felipe de Barajas.
Toma como punto de partida el baluarte del Reducto en sentido norte-sur sobre la escarpa del Cordón Amurallado y pasando por los baluartes de San José y Santa Bárbara hasta la calle 30, donde se vira al oriente, pasando por el puente del Revellín hasta la carrera 15 y extendiéndose en el mismo rumbo hasta empalmar con la calle 31, para bordear el castillo de San Felipe de Barajas por el sur hasta la carrera 18B y luego girar hacia el norte hasta encontrarse con la av. Pedro de Heredia, continuando hacia el occidente hasta la carrera 15 y retornar en sentido norte-sur hasta la calle 30, para luego avanzar al occidente hasta el baluarte de Santa Teresa, bordeando nuevamente el puente del Revellín y proseguir en dirección norte hasta el baluarte de San Miguel, donde se inicia un retorno en sentido norte-sur sobre la línea de contraescarpa del Cordón Amurallado, pasando por los baluartes de Santa Teresa, Santa Bárbara, San José y el Reducto y girar hacia occidente sobre la calle 24, bordeando el parque hasta los límites con el Centro de Convenciones y retornando en sentido occidente-oriente bordeando la bahía de Las Ánimas hasta encontrarse finalmente con el baluarte del Reducto.
Los anteriores límites están contenidos en el polígono conformado por las siguientes coordenadas:
Delimitación del área afectada – Polígono 2.
| Puntos | Coordenadas | |||
| 1 | N | 1.644.403,45 | E | 838.881,88 |
| 2 | N | 1.644.328,19 | E | 838.952,87 |
| 3 | N | 1.644.281,64 | E | 838.950,74 |
| 4 | N | 1.644.267,32 | E | 838.974,26 |
| 5 | N | 1.644.267,98 | E | 838.988,42 |
| 6 | N | 1.644.254,21 | E | 839.037,85 |
| 7 | N | 1.644.209,37 | E | 839.089,30 |
| 8 | N | 1.644.136,78 | E | 839.199,74 |
| 9 | N | 1.644.141,44 | E | 839.224,55 |
| 10 | N | 1.644.115,94 | E | 839.251,56 |
| 11 | N | 1.644.150,73 | E | 839.269,65 |
| 12 | N | 1.644.160,29 | E | 839.253,21 |
| 13 | N | 1.644.360,97 | E | 839.386,18 |
| 14 | N | 1.644.383,52 | E | 839.411,58 |
| 15 | N | 1.644.415,58 | E | 839.413,59 |
| 16 | N | 1.644.559,41 | E | 839.420,20 |
| 17 | N | 1.644.638,64 | E | 839.427,35 |
| 18 | N | 1.644.639,00 | E | 839.438,35 |
| 19 | N | 1.644.680,06 | E | 839.461,23 |
| 20 | N | 1.644.692,72 | E | 839.512,44 |
| 21 | N | 1.644.678,67 | E | 839.524,21 |
| 22 | N | 1.644.672,84 | E | 839.561,98 |
| 23 | N | 1.644.675,13 | E | 839.578,27 |
| 24 | N | 1.644.664,71 | E | 839.593,89 |
| 25 | N | 1.644.667,37 | E | 839.614,02 |
| 26 | N | 1.644.654,31 | E | 839.624,73 |
| 27 | N | 1.644.673,39 | E | 839.644,08 |
| 28 | N | 1.644.647,27 | E | 839.679,39 |
| 29 | N | 1.644.640,96 | E | 839.689,94 |
| 30 | N | 1.644.611,47 | E | 839.712,80 |
| 31 | N | 1.644.568,08 | E | 839.778,34 |
| 32 | N | 1.644.578,29 | E | 839.797,90 |
| 33 | N | 1.644.539,49 | E | 839.916,21 |
| 34 | N | 1.644.538,37 | E | 839.975,19 |
| 35 | N | 1.644.627,97 | E | 840.154,11 |
Delimitación del área afectada – Polígono 2.
| Puntos | Coordenadas | |||
| 36 | N | 1.644.640,77 | E | 840.160,18 |
| 37 | N | 1.644.746,11 | E | 840.157,40 |
| 38 | N | 1.644.889,26 | E | 839.984,99 |
| 39 | N | 1.644.886,78 | E | 839.929,27 |
| 40 | N | 1.644.804,12 | E | 839.852,87 |
| 41 | N | 1.644.607,65 | E | 839.805,01 |
| 42 | N | 1.644.669,34 | E | 839.689,66 |
| 43 | N | 1.644.689,31 | E | 839.648,19 |
| 44 | N | 1.644.713,37 | E | 839.634,67 |
| 45 | N | 1.644.703,52 | E | 839.620,53 |
| 46 | N | 1.644.718,28 | E | 839.605,59 |
| 47 | N | 1.644.714,13 | E | 839.588,90 |
| 48 | N | 1.644.727,12 | E | 839.578,12 |
| 49 | N | 1.644.733,84 | E | 839.536,35 |
| 50 | N | 1.644.730,27 | E | 839.519,92 |
| 51 | N | 1.644.739,94 | E | 839.451,90 |
| 52 | N | 1.644.757,40 | E | 839.455,52 |
| 53 | N | 1.644.759,39 | E | 839.464,76 |
| 54 | N | 1.644.778,26 | E | 839.465,74 |
| 55 | N | 1.644.780,26 | E | 839.453,72 |
| 56 | N | 1.644.924,27 | E | 839.416,06 |
| 57 | N | 1.644.945,01 | E | 839.423,64 |
| 58 | N | 1.644.933,73 | E | 839.387,77 |
| 59 | N | 1.644.791,16 | E | 839.429,25 |
| 60 | N | 1.644.759,83 | E | 839.430,69 |
| 61 | N | 1.644.762,52 | E | 839.423,09 |
| 62 | N | 1.644.735,23 | E | 839.407,95 |
| 63 | N | 1.644.705,42 | E | 839.405,11 |
| 64 | N | 1.644.687,10 | E | 839.419,31 |
| 65 | N | 1.644.585,68 | E | 839.402,61 |
| 66 | N | 1.644.397,80 | E | 839.378,24 |
| 67 | N | 1.644.199,84 | E | 839.269,18 |
| 68 | N | 1.644.179,14 | E | 839.247,67 |
| 69 | N | 1.644.168,83 | E | 839.205,99 |
| 70 | N | 1.644.431,10 | E | 838.910,31 |
| 1 | N | 1.644.403,45 | E | 838.881,88 |
Tabla 3. Coordenadas de delimitación del polígono 2 del área afectada, Getsemaní - Puente de la Media Luna - Castillo San Felipe de Barajas.
| Sistema de coordenadas: | MAGNA Cartagena Bolívar |
| Proyección: | IGAC Plano cartesiano |
| Datum: | MAGNA |
| False easting: | 842.981.4100 |
| False northing: | 1.641.887.0900 |
| Longitude of center: | - 75.5112 |
| Latitude of center: | 10.3970 |
| Height: | 0.0000 |
| Unidades: | Metro |
De forma complementaria con lo anterior, los límites del área afectada como BIC se establecen de acuerdo a los tres casos de implantación de cada cortina y baluarte en el paisaje urbano que lo rodea, así:

Caso 1. Cortina o baluarte entre el mar Caribe y tierra firme: Corresponde a los tramos comprendidos entre el baluarte de San Francisco Javier y el baluarte de Santo Domingo, y los baluartes de Santo Domingo hasta el espigón de La Tenaza. El área afectada en este caso está comprendida entre la línea que forma el borde de la calzada interior frente a la contraescarpa, y otra línea -paralela al borde de la calzada- que se traza contados 100 metros mar adentro.
Ilustración 5. Corte del área afectada para el caso 1. Centro-San Diego
Caso 2. Cortina o baluarte entre otro cuerpo de agua y tierra firme: Aplica para el tramo comprendido entre el baluarte del Reducto y el baluarte de Santa Bárbara, el comprendido entre el baluarte de Santa Bárbara y el baluarte de San Miguel, y el comprendido entre el baluarte de San Lucas y el baluarte de San Pedro Mártir. El área afectada es el área comprendida entre el borde de la calzada interior frente a la contraescarpa hasta dos metros agua adentro a partir del punto más saliente del cimiento de la muralla, e incluye desde el fondo del agua hasta la superficie, en línea de 90 grados.

Caso 3: Cortina o baluarte sobre la tierra firme: Aplica para el tramo comprendido entre los baluartes de San Francisco Javier y de la Contaduría, y el tramo comprendido entre el espigón de La Tenaza y el baluarte de San Lucas.
El área afectada es la comprendida entre el borde de la calzada interior frente a la contraescarpa y el borde de la calzada exterior frente a la escarpa. En caso de colindancia con inmuebles o edificaciones, el límite del área afectada se define por los límites prediales.

PARÁGRAFO. En el caso de las áreas contenedoras de vestigios arqueológicos de fortificaciones demolidas (frente del Arsenal, antiguo paso de la Media Luna y parque Apolo), el área afectada se aplicará siguiendo los criterios establecidos a partir de los vestigios arqueológicos, exceptuando el tramo comprendido entre la puerta del Reloj y el baluarte de San Pedro Mártir, áreas que han sido ocupadas y construidas.
ARTÍCULO 6o. DELIMITACIÓN DE LA ZONA DE INFLUENCIA. <Consultar modificación a este artículo directamente en el artículo 1 de la Resolución 3098 de 2019> Se establece como zona de influencia del Cordón Amurallado de Cartagena y del castillo de San Felipe de Barajas el territorio comprendido entre los siguientes límites, tal como aparece en la ilustración número 9.

Para la delimitación de la zona de influencia se toma como punto de partida la intersección de la calle 10 con carrera 5, en el sector de Bocagrande y, se sigue en sentido sur-norte la línea costera de la bahía interior hasta llegar frente al Boquerón, donde se atraviesa en dirección nororiente la porción marina de la bahía de las Ánimas hasta la isla de Manga para continuar en sentido suroriente sobre la línea costera hasta la carrera 23 y proseguir sobre esta última en sentido occidente hasta la calle 25, para después girar en trayectoria norte hasta la carrera 22 y continuar sobre esta en sentido occidente hasta la calle 29B, atravesando el caño Bazurto y extendiéndose hasta la av. Pedro de Heredia, donde se cambia el rumbo a sentido suroriente hasta la carrera 23, y sobre esta en dirección nororiente hasta el pie del cerro de la Popa, para bordearlo por el occidente hasta la carrera 20D y continuar sobre la calle 36 en rumbo oriente hasta la carrera 19B y permanecer en dirección norte hasta la calle 43, retomando el sentido noroccidente sobre esta última, atravesando la carrera 17 y extendiéndose hasta la laguna del Cabrero, donde se mantendrán hacia el oriente como límites los márgenes de este cuerpo hídrico; luego se retoma en dirección nororiente la calle 41A, desde el borde de la laguna del Cabrero hasta la carrera 3, y continuando por esta en sentido suroriente hasta la calle 41, para proseguir luego en trayectoria noroccidente hasta el encuentro con la carrera 2 y reanudar nuevamente en sentido nororiente hasta la calle 41B, para luego virar hacia el noroccidente hasta la línea costera sobre el mar Caribe, continuando en rumbo suroccidente hasta el encuentro con la calle 34, donde se gira hacia suroriente buscando el encuentro con la carrera 2 y se bordea el parque Apolo en sus flancos norte y oriental hasta encontrarse con la laguna del Cabrero, se mantiene en rumbo sur hasta la av. Venezuela, atravesando la av. Rafael Núñez y continuando en sentido suroccidente hasta la carrera 8, para retornar en dirección inversa sobre la calle 32 hasta la escarpa del baluarte de San Miguel, en donde se vira en rumbo sur hasta el baluarte de Santa Teresa, para luego buscar rumbo occidente sobre la calle 30, bordeando el puente del Revellín hasta la carrera 15 y rodear el castillo de San Felipe de Barajas sobre esta última en el flanco oriental, sobre la av. Pedro de Heredia, en el norte, la carrera 18C en el oriente y la calle 31 sobre el costado sur hasta el encuentro con la carrera 15; se continúa en sentido noroccidente sobre la calle 30 desde la carrera 15, bordeando el puente del Revellín hasta la escarpa del baluarte de Santa Bárbara y se vira en dirección sur pasando por el baluarte de San José hasta el baluarte de El Reducto, donde se gira en rumbo noroccidente bordeando la bahía de las Ánimas y pasando por el desaparecido baluarte de Santa Isabel hasta el Centro de Convenciones, y adoptando los márgenes suroriente y nororiente del muelle de los Pegasos como límites, para luego tomar la av. Blas de Lezo desde la plaza de la Paz, pasando por el baluarte de San Juan Evangelista hasta la calle 30 y virando hacia el occidente desde el baluarte San Ignacio, pasando por el baluarte San Francisco hasta la calle 31A, sobre la cual se extienden los límites hasta la línea costera del mar Caribe, para finalmente mantenerse sobre esta última en sentido sur hacia al sector de Bocagrande, hasta la calle 10.
Los anteriores límites están contenidos en el polígono conformado por las siguientes coordenadas:
Delimitación de la zona de influencia
| Puntos | Coordenadas | |||
| 1 | N | 1.642.867,76 | E | 838.618,25 |
| 2 | N | 1.643.390,03 | E | 838.916,31 |
| 3 | N | 1.643.346,54 | E | 839.056,14 |
| 4 | N | 1.643.598,27 | E | 839.137,00 |
| 5 | N | 1.643.773,46 | E | 839.321,44 |
| 6 | N | 1.643.720,12 | E | 839.426,94 |
| 7 | N | 1.643.738,77 | E | 839.436,27 |
| 8 | N | 1.643.653,94 | E | 839.542,07 |
| 9 | N | 1.643.973,43 | E | 839.770,41 |
| 10 | N | 1.644.002,79 | E | 839.781,97 |
| 11 | N | 1.643.946,12 | E | 839.936,36 |
| 12 | N | 1.643.928,92 | E | 839.957,86 |
| 13 | N | 1.643.898,71 | E | 839.975,47 |
| 14 | N | 1.644.062,07 | E | 840.194,42 |
| 15 | N | 1.644.071,33 | E | 840.196,27 |
| 16 | N | 1.644.118,55 | E | 840.224,05 |
| 17 | N | 1.644.138,57 | E | 840.244,79 |
| 18 | N | 1.644.124,28 | E | 840.257,03 |
| 19 | N | 1.644.095,44 | E | 840.253,59 |
| 20 | N | 1.644.047,62 | E | 840.345,93 |
| 21 | N | 1.644.032,54 | E | 840.380,19 |
| 22 | N | 1.644.042,98 | E | 840.402,10 |
| 23 | N | 1.643.954,56 | E | 840.544,17 |
| 24 | N | 1.643.829,21 | E | 840.676,85 |
| 25 | N | 1.643.856,33 | E | 840.692,07 |
| 26 | N | 1.643.929,55 | E | 840.577,50 |
| 27 | N | 1.643.970,20 | E | 840.565,16 |
| 28 | N | 1.644.089,49 | E | 840.433,97 |
| 29 | N | 1.644.119,39 | E | 840.378,80 |
| 30 | N | 1.644.132,23 | E | 840.352,01 |
| 31 | N | 1.644.146,68 | E | 840.320,35 |
| 32 | N | 1.644.154,02 | E | 840.261,21 |
| 33 | N | 1.644.379,46 | E | 840.469,74 |
| 34 | N | 1.644.465,45 | E | 840.505,13 |
| 35 | N | 1.644.621,03 | E | 840.616,53 |
| 36 | N | 1.644.638,13 | E | 840.584,21 |
| 37 | N | 1.644.771,05 | E | 840.672,11 |
| 38 | N | 1.644.872,13 | E | 840.565,38 |
| 39 | N | 1.644.901,48 | E | 840.580,23 |
| 40 | N | 1.644.872,68 | E | 840.632,84 |
| 41 | N | 1.644.926,11 | E | 840.667,52 |
| 42 | N | 1.645.013,80 | E | 840.668,31 |
| 43 | N | 1.645.034,24 | E | 840.630,52 |
| 44 | N | 1.645.050,58 | E | 840.638,99 |
| 45 | N | 1.645.070,55 | E | 840.599,96 |
Delimitación de la zona de influencia
| Puntos | Coordenadas | |||
| 46 | N | 1.645.102,45 | E | 840.614,90 |
| 47 | N | 1.645.154,05 | E | 840.577,10 |
| 48 | N | 1.645.168,10 | E | 840.595,06 |
| 49 | N | 1.645.218,05 | E | 840.580,40 |
| 50 | N | 1.645.251,54 | E | 840.525,51 |
| 51 | N | 1.645.241,19 | E | 840.517,34 |
| 52 | N | 1.645.265,65 | E | 840.489,84 |
| 53 | N | 1.645.257,28 | E | 840.472,52 |
| 54 | N | 1.645.312,40 | E | 840.314,88 |
| 55 | N | 1.645.318,51 | E | 840.308,42 |
| 56 | N | 1.645.313,07 | E | 840.271,87 |
| 57 | N | 1.645.335,30 | E | 840.216,70 |
| 58 | N | 1.645.458,33 | E | 840.098,83 |
| 59 | N | 1.645.494,84 | E | 840.110,74 |
| 60 | N | 1.645.677,98 | E | 839.928,17 |
| 61 | N | 1.645.823,49 | E | 840.098,25 |
| 62 | N | 1.645.868,13 | E | 840.155,36 |
| 63 | N | 1.645.918,33 | E | 840.260,50 |
| 64 | N | 1.645.964,17 | E | 840.332,14 |
| 65 | N | 1.645.971,39 | E | 840.356,91 |
| 66 | N | 1.645.996,91 | E | 840.390,94 |
| 67 | N | 1.646.007,76 | E | 840.384,86 |
| 68 | N | 1.645.982,09 | E | 840.348,61 |
| 69 | N | 1.645.927,32 | E | 840.256,67 |
| 70 | N | 1.645.943,99 | E | 840.191,71 |
| 71 | N | 1.645.976,54 | E | 840.149,91 |
| 72 | N | 1.645.893,19 | E | 839.990,89 |
| 73 | N | 1.645.900,87 | E | 839.976,87 |
| 74 | N | 1.645.882,61 | E | 839.945,38 |
| 75 | N | 1.645.918,06 | E | 839.887,70 |
| 76 | N | 1.645.901,13 | E | 839.877,38 |
| 77 | N | 1.645.938,99 | E | 839.849,23 |
| 78 | N | 1.645.905,53 | E | 839.790,58 |
| 79 | N | 1.645.948,07 | E | 839.759,26 |
| 80 | N | 1.645.968,95 | E | 839.787,62 |
| 81 | N | 1.645.988,95 | E | 839.805,40 |
| 82 | N | 1.646.027,98 | E | 839.791,51 |
| 83 | N | 1.646.087,69 | E | 839.740,31 |
| 84 | N | 1.646.031,78 | E | 839.635,16 |
| 85 | N | 1.646.015,84 | E | 839.608,22 |
| 86 | N | 1.645.935,97 | E | 839.467,80 |
| 87 | N | 1.645.920,10 | E | 839.440,92 |
| 88 | N | 1.645.836,70 | E | 839.444,73 |
| 89 | N | 1.645.801,56 | E | 839.388,64 |
| 90 | N | 1.645.850,46 | E | 839.316,46 |
| 91 | N | 1.645.838,70 | E | 839.277,98 |
| 92 | N | 1.645.763,77 | E | 839.305,29 |
| 93 | N | 1.645.740,42 | E | 839.235,85 |
| 94 | N | 1.645.603,71 | E | 839.309,60 |
| 95 | N | 1.645.659,17 | E | 839.401,79 |
| 96 | N | 1.645.588,55 | E | 839.446,16 |
| 97 | N | 1.645.581,77 | E | 839.437,71 |
| 98 | N | 1.645.553,99 | E | 839.454,45 |
| 99 | N | 1.645.489,67 | E | 839.384,94 |
| 100 | N | 1.645.377,64 | E | 839.308,50 |
| 101 | N | 1.645.295,75 | E | 839.304,73 |
| 102 | N | 1.645.235,76 | E | 839.364,98 |
| 103 | N | 1.645.149,97 | E | 839.294,17 |
| 104 | N | 1.644.800,49 | E | 838.887,85 |
| 105 | N | 1.644.758,21 | E | 838.900,19 |
| 106 | N | 1.644.757,25 | E | 838.935,57 |
| 107 | N | 1.644.933,73 | E | 839.387,77 |
| 108 | N | 1.644.945,01 | E | 839.423,64 |
| 109 | N | 1.644.924,27 | E | 839.416,06 |
| 110 | N | 1.644.780,26 | E | 839.453,72 |
| 111 | N | 1.644.778,26 | E | 839.465,74 |
| 112 | N | 1.644.759,39 | E | 839.464,76 |
| 113 | N | 1.644.757,40 | E | 839.455,52 |
| 114 | N | 1.644.739,94 | E | 839.451,90 |
| 115 | N | 1.644.730,27 | E | 839.519,92 |
| 116 | N | 1.644.733,84 | E | 839.536,35 |
| 117 | N | 1.644.727,13 | E | 839.578,12 |
| 118 | N | 1.644.714,13 | E | 839.588,90 |
| 119 | N | 1.644.718,28 | E | 839.605,59 |
| 120 | N | 1.644.703,52 | E | 839.620,53 |
Delimitación de la zona de influencia
| Puntos | Coordenadas | |||
| 121 | N | 1.644.713,38 | E | 839.634,67 |
| 122 | N | 1.644.689,31 | E | 839.648,19 |
| 123 | N | 1.644.669,34 | E | 839.689,66 |
| 124 | N | 1.644.607,65 | E | 839.805,01 |
| 125 | N | 1.644.804,12 | E | 839.852,87 |
| 126 | N | 1.644.886,78 | E | 839.929,27 |
| 127 | N | 1.644.889,26 | E | 839.984,99 |
| 128 | N | 1.644.746,11 | E | 840.157,40 |
| 129 | N | 1.644.640,77 | E | 840.160,18 |
| 130 | N | 1.644.627,97 | E | 840.154,11 |
| 131 | N | 1.644.538,37 | E | 839.975,19 |
| 132 | N | 1.644.539,49 | E | 839.916,21 |
| 133 | N | 1.644.578,29 | E | 839.797,90 |
| 134 | N | 1.644.568,08 | E | 839.778,34 |
| 135 | N | 1.644.611,47 | E | 839.712,80 |
| 136 | N | 1.644.640,96 | E | 839.689,94 |
| 137 | N | 1.644.647,27 | E | 839.679,39 |
| 138 | N | 1.644.673,39 | E | 839.644,08 |
| 139 | N | 1.644.654,31 | E | 839.624,73 |
| 140 | N | 1.644.667,37 | E | 839.614,02 |
| 141 | N | 1.644.664,71 | E | 839.593,89 |
| 142 | N | 1.644.675,13 | E | 839.578,27 |
| 143 | N | 1.644.672,84 | E | 839.561,98 |
| 144 | N | 1.644.678,67 | E | 839.524,21 |
| 145 | N | 1.644.692,72 | E | 839.512,44 |
| 146 | N | 1.644.680,06 | E | 839.461,23 |
| 147 | N | 1.644.639,00 | E | 839.438,36 |
| 148 | N | 1.644.638,64 | E | 839.427,36 |
| 149 | N | 1.644.559,41 | E | 839.420,21 |
| 150 | N | 1.644.415,59 | E | 839.413,59 |
| 151 | N | 1.644.383,52 | E | 839.411,58 |
| 152 | N | 1.644.360,98 | E | 839.386,18 |
| 153 | N | 1.644.160,29 | E | 839.253,21 |
| 154 | N | 1.644.150,73 | E | 839.269,65 |
| 155 | N | 1.644.115,94 | E | 839.251,56 |
| 156 | N | 1.644.141,44 | E | 839.224,55 |
| 157 | N | 1.644.136,78 | E | 839.199,75 |
| 158 | N | 1.644.209,37 | E | 839.089,31 |
| 159 | N | 1.644.254,21 | E | 839.037,85 |
| 160 | N | 1.644.267,98 | E | 838.988,43 |
| 161 | N | 1.644.267,32 | E | 838.974,26 |
| 162 | N | 1.644.281,65 | E | 838.950,74 |
| 163 | N | 1.644.328,19 | E | 838.952,87 |
| 164 | N | 1.644.403,45 | E | 838.881,88 |
| 165 | N | 1.644.506,58 | E | 838.756,13 |
| 166 | N | 1.644.639,14 | E | 838.884,55 |
| 167 | N | 1.644.681,65 | E | 838.839,41 |
| 168 | N | 1.644.703,88 | E | 838.829,46 |
| 169 | N | 1.644.656,14 | E | 838.782,01 |
| 170 | N | 1.644.521,43 | E | 838.686,01 |
| 171 | N | 1.644.508,62 | E | 838.669,94 |
| 172 | N | 1.644.578,70 | E | 838.413,50 |
| 173 | N | 1.644.621,77 | E | 838.395,05 |
| 174 | N | 1.644.607,24 | E | 838.318,05 |
| 175 | N | 1.644.505,79 | E | 838.357,22 |
| 176 | N | 1.644.456,68 | E | 838.372,24 |
| 177 | N | 1.644.345,45 | E | 838.417,12 |
| 178 | N | 1.644.313,81 | E | 838.427,49 |
| 179 | N | 1.644.228,23 | E | 838.462,63 |
| 180 | N | 1.644.131,82 | E | 838.506,98 |
| 181 | N | 1.644.099,85 | E | 838.510,68 |
| 182 | N | 1.644.084,47 | E | 838.515,97 |
| 183 | N | 1.643.889,41 | E | 838.587,30 |
| 184 | N | 1.643.859,15 | E | 838.592,17 |
| 185 | N | 1.643.769,61 | E | 838.595,85 |
| 186 | N | 1.643.735,32 | E | 838.590,68 |
Delimitación de la zona de influencia
| Puntos | Coordenadas | |||
| 187 | N | 1.643.620,17 | E | 838.573,33 |
| 188 | N | 1.643.595,20 | E | 838.566,34 |
| 189 | N | 1.643.460,37 | E | 838.535,86 |
| 190 | N | 1.643.447,03 | E | 838.533,53 |
| 191 | N | 1.643.304,55 | E | 838.519,67 |
| 192 | N | 1.643.286,88 | E | 838.517,13 |
| 193 | N | 1.643.182,21 | E | 838.449,40 |
| 194 | N | 1.643.164,82 | E | 838.437,79 |
| 195 | N | 1.643.062,75 | E | 838.391,46 |
| 1 | N | 1.642.867,76 | E | 838.618,25 |
Tabla 4. Coordenadas de delimitación de la zona de influencia.
| Sistema de coordenadas: | MAGNA Cartagena Bolívar |
| Proyección: | IGAC Plano cartesiano |
| Datum: | MAGNA |
| False easting: | 842.981.4100 |
| False northing: | 1.641.887.0900 |
| Longitude of center: | - 75.5112 |
| Latitude of center: | 10.3970 |
| Height: | 0.0000 |
| Unidades: | Metro |
NIVELES DE INTERVENCIÓN Y TIPOS DE OBRA PERMITIDOS.
ARTÍCULO 7o. NIVELES DE INTERVENCIÓN Y TIPOS DE OBRA PERMITIDOS EN EL ÁREA AFECTADA. Se asigna el nivel de intervención 1, conservación integral, a toda el área afectada del Cordón Amurallado y el castillo de San Felipe de Barajas.
Los tipos de obras permitidos corresponden a lo establecido en el artículo 2.4.1.1.7. del Decreto 1080 de 2015, o los que lo modifiquen, adicionen o sustituyan.
ARTÍCULO 8o. NIVELES DE INTERVENCIÓN Y TIPOS DE OBRA PERMITIDOS EN LA ZONA DE INFLUENCIA. Los inmuebles que cuenten con declaratoria individual como BIC de los ámbitos Nacional o Distrital, localizados en la zona de influencia del Cordón Amurallado y el castillo de San Felipe de Barajas, corresponden al nivel de intervención 1, conservación integral. Al resto de los inmuebles que hacen parte de la zona influencia, que no han sido declarados individualmente como BIC en cualquier ámbito, se les asigna el nivel de intervención 3, contextual.
Los tipos de obras permitidos corresponden a lo establecido en el artículo 2.4.1.1.7. del Decreto 1080 de 2015, o los que lo modifiquen, adicionen o sustituyan.
PARÁGRAFO. Las intervenciones en los predios que conforman la zona de influencia en las modalidades de obra nueva o ampliación en altura deberán contar con la aprobación del Ministerio de Cultura, en los términos establecidos en el numeral 2 del artículo 11 de la Ley 397 de 1997, modificado por el artículo 7o numeral 2 de la Ley 1185 de 2008.

CONDICIONES DE MANEJO.
ASPECTOS FÍSICOS-TÉCNICOS.
NORMA URBANÍSTICA EN EL ÁREA AFECTADA.
ARTÍCULO 9o. TRATAMIENTO URBANÍSTICO Y EDIFICABILIDAD PERMITIDA EN EL ÁREA AFECTADA. Se asigna el tratamiento de conservación arquitectónica y urbanística a la totalizad del área afectada del Cordón Amurallado y el castillo de San Felipe de Barajas. No se permite edificabilidad adicional; es decir, nuevas construcciones o ampliaciones en el área afectada del Cordón Amurallado y el castillo de San Felipe de Barajas.
ARTÍCULO 10. USOS PERMITIDOS ÁREA AFECTADA. Los siguientes son los usos permitidos en el Cordón Amurallado de Cartagena y en el castillo de San Felipe de Barajas:


Tabla 5. Usos permitidos en el área afectada
ARTÍCULO 11. RESTRICCIONES DE USO EN EL ÁREA AFECTADA. Las siguientes son las restricciones de uso y actividad en el cordón amurallado y el castillo de San Felipe de Barajas, las cuales se establecen para evitar que se afecte de manera parcial o total la naturaleza de estos bienes por su calidad de bienes de interés cultural.
11.1. Para la totalidad del área afectada del cordón amurallado y el castillo de San Felipe de Barajas, la capacidad máxima de carga será de 200 kg/m2.
11.2. No se permite usar pipetas o algún hidrocarburo que afecte la plataforma y pueda poner en riesgo la integridad del espacio y a los asistentes a la actividad objeto de aprovechamiento.
11.3. No se podrá subcontratar el arrendamiento de cualquier espacio.
11.4. No se permite alterar el normal desarrollo de la cotidianidad del sector en el momento de cargue o descargue de los elementos que se vayan a utilizar durante la actividad de aprovechamiento.
11.5. Se deberá disponer de los residuos sólidos en los lugares establecidos para tal fin por la autoridad distrital.
11.6. Las reglas sobre niveles de ruido máximos permitidos establecidas en la Resolución 627 de 2006, por medio de la cual se establece la norma nacional de emisión de ruido y ruido ambiental, o los que la modifiquen, adicionen o sustituyan, deben ser cumplidas de manera estricta, tanto por los arrendatarios como por los usuarios del cordón amurallado y el Castillo de San Felipe de Barajas.
11.7. Se prohíbe la venta de bebidas alcohólicas, salvo en los espacios objeto de uso permanente que funcionen como restaurantes y que presten efectivamente ese servicio, y cuyos ingresos se deriven predominantemente de la venta de comida.
11.8. Los productos comercializados en el área afectada deben ser de origen nacional en su totalidad.
11.9. No se podrá subdividir ni realizar cualquier tipo de intervención en el área afectada del cordón amurallado y el Castillo de San Felipe de Barajas sin la autorización del Ministerio de Cultura.
11.10. En las zonas objeto de uso temporal, no se podrá limitar el acceso público y se deberán dejar áreas libres de circulación de acuerdo a los esquemas de recorrido establecidas.
11.11. Se prohíbe el uso de las garitas o garitones como zonas de almacenamiento o bodegaje.
11.12. Todos los espacios de uso temporal o permanente deberán garantizar el acceso a la diversidad de grupos poblacionales, sin restricción alguna de edad o identidad cultural.
ARTÍCULO 12. RÉGIMEN DE TRANSICIÓN PARA LA APLICACIÓN DE LA NORMATIVA URBANÍSTICA EN EL ÁREA AFECTADA. Para efectos de la aplicación de la presente reglamentación urbanística, los espacios objeto de uso permanente en el área afectada, que a la fecha de expedición de este PEMP ofrezcan servicios en el cordón amurallado y el Castillo de San Felipe de Barajas, contarán con un régimen de transición de un año calendario, contado a partir de la entrada en vigencia de la presente resolución. Una vez cumplido el régimen de transición sin que se ajusten a lo normado en el presente PEMP, se solicitara la entrega de los espacios y se dará por terminado en contrato de aprovechamiento de uso permanente.
NORMA URBANÍSTICA EN LA ZONA DE INFLUENCIA.
ARTÍCULO 13. SECTORES Y SUBSECTORES NORMATIVOS DE LA ZONA DE INFLUENCIA. Para la aplicación de la presente normativa urbanística en la zona de influencia del Cordón Amurallado y el castillo de San Felipe de Barajas, se definen los siguientes sectores y subsectores normativos:


| Sector | Subsector | Nombre |
| II | IIa | Espinal (antiguo barrio) |
| IIb | Predio catastral del Mall Plaza, área construida Mall Plaza | |
| IIc | Cordón de San Antonio | |
| IId | Periferia 100 m del castillo | |
| III | IIIa | Manga/San Sebastián del Pastelillo |
| IIIb | Manga | |
| IIIc | Periferia 600 m del castillo | |
| IIId | Parque La Marina | |
| IIIe | Muelle de la Bodeguita | |
| IIIf | Proyecto Chambacú | |
| IIIg | Espíritu del Manglar | |
| Sector | Subsector | Nombre |
| IIIh | Predios del Distrito | |
| IIIi | La Matuna | |
| IIIj | Cabrero, subsector A | |
| IIIk | Cabrero, subsector B | |
| IV | IV | Loma de Lefranc |
| V | V | Bahía de Las Animas/lagunas de San Lázaro, Chambacú, El Cabrero |
Tabla 6. Identificación de los sectores y subsectores normativos de la zona de influencia
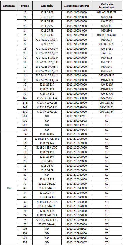
ARTÍCULO 14. IDENTIFICACIÓN DE PREDIOS POR SECTORES Y SUBSECTORES NORMATIVOS DE LA ZONA DE INFLUENCIA. Los predios que conforman la zona de influencia se identifican como a continuación se describen:
Subsector normativo II
| Sector | Subsector | Nombre | Manzanas |
| II | IIa | Espinal (antiguo barrio) | 134,135, 136, 137, 138, 139, 140, 151, 919, 920, 921, 922, 923, 924. |
| IIb | Predio catastral del Mall Plaza Área construida Mall Plaza | 140, 150. | |
| IIc | Cordón de San Antonio | 111, 117, 118, 119, 121, 122, 123, 124, 125, 126, 127, 128, 130, 152, 938, 939, 940, 948, 959, 960. | |
| IId | Periferia 100 m del castillo | 133, 937, 989. | |
Tabla 7. Identificación de subsectores del sector normativo II
Predios del subsector normativo IIa
| Manzana | Predio | Dirección | Referencia catastral | Matrícula Inmobiliaria |
| 134 | 1 | C 30 12 35 | 10201340001000 | SD |
| 2 | C 30 12 09 | 10201340002000 | 060-0031432 | |
| 3 | C 30 12 05 | 10201340003000 | 060-180539 | |
| 135 | 1 | C 30 14 03 | 10201350001000 | SD |
| 2 | K 14 30 32 | 10201350002000 | 060-10971 | |
| 3 | K 14 30 44 | 10201350003000 | 060-103405 | |
| 4 | C 31 14 18 | 10201350004000 | 060-103406 | |
| 5 | C 30 14 28 | 10201350005000 | 060-71765 | |
| 6 | C 31 14 42 | 10201350006000 | 101051800259555366 | |
| 7 | C 31 14 50 | 10201350007000 | 060-70756 | |
| 8 | C 31 14 58 | 10201350008000 | 10302950102049 | |
| 9 | C 30 15 22 | 10201350009000 | 060-0074462 | |
| 10 | C 30 14 98 | 10201350010000 | 060-70757 | |
| 11 | C 30 14 82 | 10201350011000 | 10202920034872 | |
| 12 | C 30 14 67 | 10201350012000 | 060-44400 | |
| 13 | C 30 14 53 | 10201350013000 | 060-70766 | |
| 14 | C 30 14 43 | 10201350014000 | 060-70758 | |
| 15 | C 30 14 39 | 10201350015000 | 10504530242770 | |
| 16 | C 30 14 27 | 10201350016000 | 060-25674 | |
| 136 | 1 | K 15 31 02 | 10201360001000 | 060-70769 |
| 2 | K 15 31 26 | 10201360002000 | 102045401120506467 | |
| 3 | K 15 31 36 | 10201360003000 | 060-70770 | |
| 4 | K 15 31 54 | 10201360004000 | 060-0070771 | |
| 5 | K 15 31 66 | 10201360005000 | 060-22995 | |
| 6 | K 15 31 76 | 10201360006000 | 060-0099916 | |
| 7 | K 15 31 88 | 10201360007000 | 102032000847595882 | |
| 8 | SD | 10201360008000 | SD | |
| 10 | SD | 10201360010000 | SD | |
| 11 | SD | 10201360011000 | SD | |
| 12 | K 17 31A 34 | 10201360012000 | SD | |
| 13 | K 14 31A 52 | 10201360013000 | 10102640017159 | |
| 14 | K 14 31A 64 | 10201360014000 | 102034500383735040 | |
| 15 | K 14 31A 78 | 10201360015000 | 10402830119145 | |
| 16 | K 14 31A 88 | 10201360016000 | SD | |
| 17 | K 14 31A 104 | 10201360017000 | 20202650123061 | |
| 18 | K 14 31 C 118 | 10201360018000 | 060-70920 | |
| 19 | T 14 31A 134 | 10201360019000 | 060-3421 | |
| 20 | K 14 31A 146 | 10201360020000 | 10403170234671 | |
| 21 | K 17 31 173 | 10201360021000 | 060-70924 | |
| 22 | K 17 31 163 | 10201360022000 | 060-9448 | |
| 23 | SD | 10201360023000 | SD | |
| 24 | K 17 31 93 | 10201360024000 | 060-84056 | |
| 25 | K 17 31 87 | 10201360025000 | 060-0084055 | |
| 28 | K 17 31 59 | 10201360028000 | 060-70950 | |
| 29 | K 17 31 49 | 10201360029000 | 10201460054747 | |
| 30 | K 17 31 29 | 10201360030000 | 060-0019457 | |
| 31 | K 17 31 23 | 10201360031000 | 060-70958 | |
| 32 | C 17 31 01 | 10201360032000 | 060-21615 | |
| 33 | K 17 31 73 | 10201360033000 | 060-107537 | |
| Manzana | Predio | Dirección | Referencia catastral | Matrícula Inmobiliaria |
| 34 | K 15 31 60 | 10201360034000 | 060-0008157 | |
| 36 | K 17 31 75 LC 2 | 10201360036000 | 060-99917 | |
| 137 | 1 | K 14 31 02 | 10201370001000 | 060-71168 |
| 2 | K 14 31 26 | 10201370002000 | 060-13736 | |
| 3 | K 14 31 38 | 10201370003000 | 060-21109 | |
| 4 | K 14 31 48 | 10201370004000 | 060-42340 | |
| 5 | K 14 31 56 | 10201370005000 | 060-54247 | |
| 6 | K 14 31 78 | 10201370006000 | 060-21597 | |
| 7 | K 14 31 92 | 10201370007000 | 10300730037975 | |
| 8 | K 14 31 106 | 10201370008000 | 060-19771 | |
| 9 | K 15 31 95 | 10201370009000 | 060-34855 | |
| 10 | K 15 31 63 | 10201370010000 | 060-0032202-87 | |
| 11 | K 15 31 55 | 10201370011000 | 10104320030838 | |
| 12 | K 15 31 47 | 10201370012000 | 102-0019076 | |
| 13 | K 15 31 37 | 10201370013000 | 060-32957 | |
| 14 | K 15 31 27 | 10201370014000 | 060-45331 | |
| 15 | K 15 31 17 | 10201370015000 | 10200780037052 | |
| 16 | K 15 31 03 | 10201370016000 | 060-33534 | |
| 17 | C 31 14 31 | 10201370017000 | 060-71205 | |
| 18 | C 31 14 17 | 10201370018000 | 060-71209 | |
| 19 | K 14 31 30 | 10201370019000 | 060-113808 | |
| 20 | K 15 31 81 | 10201370020000 | 060-182708 | |
| 138 | 1 | K 14 31 03 | 10201380001000 | 060-68921 |
| 2 | K 13 31 102 | 10201380002000 | SD | |
| 3 | K 14 31 133 | 10201380003000 | 10502590184849 | |
| 4 | K 14 31 125 | 10201380004000 | 060-272005 | |
| 5 | K 14 31 113 | 10201380005000 | 060-122597 | |
| 6 | K 14 31 93 | 10201380006000 | 060-127059 | |
| 7 | K 14 31 81 | 10201380007000 | 102016500559424202 | |
| 8 | K 14 31 71 | 10201380008000 | 060-9560 | |
| 9 | K 14 31 61 | 10201380009000 | 102005100420660675 | |
| 10 | K 14 31 55 | 10201380010000 | 060-71331 | |
| 11 | K 14 31 49 | 10201380011000 | 10701870254849 | |
| 12 | K 14 31 41 | 10201380012000 | 060-15193 | |
| 139 | 1 | K 14 31A 65 | 10201390001000 | 060-17336 |
| 2 | K 14 31A 47 | 10201390002000 | 060-45442 | |
| 3 | K 14 31A 29 | 10201390003000 | 060-70979 | |
| 4 | K 14 31A 15 | 10201390004000 | 060-10913 | |
| 5 | K 14 31A 03 | 10201390005000 | 060-0021361 | |
| 6 | K 14 31A 35 | 10201390006000 | 060-70984 | |
| 140 | 4 | K 13 31 77 | 10201400004000 | 10103870005656 |
| 5 | K 13 31 67 | 10201400005000 | 060-22847 | |
| 6 | K 13 31 51 | 10201400006000 | 060-71007 | |
| 7 | K 13 31 39 | 10201400007000 | 060-185620 | |
| 8 | K 13 31 27 | 10201400008000 | 060-0041994 | |
| 9 | K 13 31 15 | 10201400009000 | 106007601629466814 | |
| 10 | K 13 31 05 | 10201400010000 | 060-24037 | |
| 151 | 1 | K 14 31B 16 | 10201510001000 | 060-20798 |
| 2 | T 14 31B 25 | 10201510002000 | 060-16136 | |
| 3 | T 14 31B 01 | 10201510003000 | 060-71673 | |
| 4 | C 31B 14 12 | 10201510004000 | 060-18321 | |
| 5 | K 31 B 14 04 | 10201510005000 | 060-68916 | |
| 919 | 1 | SD | 10209190001000 | SD |
| 920 | 1 | SD | 10209200001000 | SD |
| 921 | 1 | SD | 10209210001000 | SD |
| 922 | 1 | SD | 10209220001000 | SD |
| 923 | 1 | SD | 10209230001000 | SD |
| 924 | 1 | SD | 10209240001000 | SD |
Tabla 8. Identificación de predios del subsector IIa
Predios del subsector normativo IIb
| Manzana | Predio | Dirección | Referencia catastral | Matrícula Inmobiliaria |
| 140 | 1 | SD | 10201400001000 | SD |
| 1 | C 32 53 270 | 10200910001000 | 060-0129877 | |
| 2 | SD | 10201400002000 | SD | |
| 3 | SD | 10201400003000 | SD | |
| 150 | 1 | C 31B 13 05 | 10201500001000 | 060-71599 |
| 2 | K 13 31B 26 | 10201500002000 | 060-195177 | |
| 3 | K 14 31B 25 | 10201500003000 | 060-276173 | |
| 4 | K 14 31B 35 | 10201500004000 | 060-17398 | |
| 5 | K 14 31B 42 | 10201500005000 | 060-20796 | |
| 6 | K 14 31B 15 | 10201500006000 | 060-71611 | |
| 150 | 7 | K 14 31B 01 | 10201500007000 | 060-71615 |
| 8 | K 13 31B 35 | 10201500008000 | 060-105087 | |
| 9 | K 14 31B 52 | 10201500009000 | SD | |
| 10 | SD | 10201500010000 | SD | |
Tabla 9. Identificación de predios del subsector IIb
Predios del subsector normativo IIc
| Manzana | Predio | Dirección | Referencia catastral | Matrícula Inmobiliaria |
| 937 | 1 | SD | 10209370001000 | SD |
| 983 | 1 | SD | 10209830002000 | 01010338002650060 |
| 983 | 2 | SD | 10209830003000 | 060-32192 |
| 133 | 3 | T 13 29 235 | 10201330003000 | SD |
| 4 | T 17 29B 211 | 10201330004000 | 060-20799 | |
| 28 | SD | 10209830001000 | 060-159682 | |
| 28 | T 17 29B 140 | 10201330028000 | 060-159682 | |
| 29 | T 17 29B 212 | 10201330029000 | 060-233741 | |
| 4 | T 17 29B 211 | 10201330004000 | 060-20799 | |
| 5 | T 17 29B 174 | 10201330005000 | 060-10249 | |
| 6 | T 17 29B 157 | 10201330006000 | 060-68794 | |
| 7 | T 17 29B 141 | 10201330007000 | 060-27840 | |
| 8 | T 17 29B 133 | 10201330008000 | 060-33868 | |
| 10 | T 17 29B 109 | 10201330010000 | 060-291226 | |
| 11 | T 17 29B 99 | 10201330011000 | SD | |
| 12 | T 17 29B 87 | 10201330012000 | SD | |
| 14 | K 17 29B 55 | 10201330014000 | 104004701509410201 | |
| 15 | K 17 29B 45 | 10201330015000 | 060-10911 | |
| 16 | K 17 29B 31 | 10201330016000 | 060-27352 | |
| 25 | T 17 29B 121 | 10201330025000 | 060-0071208 | |
Tabla 10. Identificación de predios del subsector IIc
Predios del subsector normativo IId
| Manzana | Predio | Dirección | Referencia catastral | Matrícula Inmobiliaria |
| 111 | 3 | C 32 18C 11 | 10201110003000 | 010143132-152-59 |
| 4 | K 18C 32B 22 | 10201110004000 | 060-90753 | |
| 62 | C32 18 C 55 | 10201110062000 | 060-79718 | |
| 117 | 1 | C 30 180 04 | 10201170001000 | 010267151-74 |
| 2 | C 30 18A 28 | 10201170002000 | 060-0014273-94 | |
| 3 | C 30 18A 62 | 10201170003000 | 060-146015 | |
| 169 | C 29B 18A 67 | 10201170169000 | 060-120934 | |
| 118 | 3 | C 31 18B 50 | 10201180003000 | SD |
| 4 | C 31 18B 120 | 10201180004000 | SD | |
| 5 | C 31 18B 170 | 10201180005000 | SD | |
| 6 | C 31 18B 142 | 10201180006000 | SD | |
| 119 | 1 | C 31 18B 05 | 10201190001000 | 10400590070175 |
| 2 | K 18B 31 14 | 10201190002000 | 10101320002823 | |
| 3 | K 18B 31 20 | 10201190003000 | 060-15453 | |
| 4 | K 18B 31 30 | 10201190004000 | 060-0007968-87 | |
| 5 | K 18B 31 44 | 10201190005000 | 060-31075 | |
| 6 | K 18B 31 56 | 10201190006000 | 060-5609 | |
| 7 | K 18B 18B 02 | 10201190007000 | 10601140096847 | |
| 8 | K 18B 18B 22 | 10201190008000 | 060-0021346 | |
| 9 | C 32 18B 108 LT 1A | 10201190009000 | 060-124401 | |
| 10 | C 32 18B 108 | 10201190010000 | 060-64292 | |
| 11 | C 30 18B 112 | 10201190011000 | 060-0073769 | |
| 12 | C 30 18B 118 | 10201190012000 | 060-0102430 | |
| 13 | C 30 188 132 | 10201190013000 | 060-0038631 | |
| 14 | C 30 18B 146 | 10201190014000 | 060-133755 | |
| 15 | C 32 18B 158 LT 1 | 10201190015000 | 060-48962 | |
| 17 | C 30 18B 182 | 10201190017000 | 20302360110445 | |
| 18 | C 30 18B 196 | 10201190018000 | 060-8306 | |
| 19 | C 30 18B 196 | 10201190019000 | 060-157861 | |
| 20 | C 3D 18B 204 | 10201190020000 | 060-22825 | |
| 21 | K 19 31 63 | 10201190021000 | 102029900350 | |
| 22 | K 19 31 47 | 10201190022000 | 10201230115361 | |
| 23 | K 19 31 35 | 10201190023000 | 060-20794 | |
| 24 | C 31 18B 201 | 10201190024000 | 060-43638 | |
| 25 | C 31 18B 187 | 10201190025000 | 10302300242464 | |
| 26 | C 31 18B 179 | 10201190026000 | 060-0002767 | |
| 27 | C 31 18B 165 | 10201190027000 | 060-0002763 | |
| 28 | C 31 18B 153 | 10201190028000 | 060-0002766 | |
| 29 | C 31 18B 139 | 10201190029000 | 060-105730 | |
| 32 | C 31 18B 103 | 10201190032000 | 060-200297 | |
| 33 | C 31 18B 81 | 10201190033000 | 060-51173 | |
| 35 | C 31 18B 17 | 10201190035000 | 060-59482 | |
| 36 | C 31 18B 109 | 10201190036000 | 060-36081 | |
| 37 | C 30 18B 112 | 10201190037000 | 10200530016825 | |
| 38 | K 19 31 51 | 10201190038000 | 060-19837 | |
| 39 | K 19 31 23 | 10201190039000 | 060-43710 | |
| 40 | C 32 18B 150 | 10201190040000 | 060-0048963 | |
| 41 | C 32 18B 100 L C 1 | 10201190041000 | 060-51532 | |
| Manzana | Predio | Dirección | Referencia catastral | Matrícula Inmobiliaria |
| 42 | C 32 18B 100 L C 2 | 10201190042000 | 060-51533 | |
| 44 | C 31 18B 183 | 10201190044000 | 060-52395 | |
| 45 | C 31 18B 55 LT 2 | 10201190045000 | 060-118302 | |
| 46 | C 32 18B 112 | 10201190046000 | 060-0124402 | |
| 47 | C 32 18B 114 | 10201190047000 | 060-124403 | |
| 48 | C 32 18B 116 | 10201190048000 | 060-124404 | |
| 49 | C 32 18B 118 | 10201190049000 | 060-124405 | |
| 901 | SD | 10201190901901 | SD | |
| 121 | 1 | C 32 18C 05 | 10201210001000 | 20302080102069 |
| 122 | 1 | C 32A 18B 03 | 10201220001000 | 060-126238 |
| 2 | K 18B 32A 14 | 10201220002000 | 20202040144170 | |
| 3 | C 32 18 02 | 10201220003000 | 20202090144170 | |
| 4 | C 32B 18B 16 | 10201220004000 | 10200570026667 | |
| 5 | C 32B 18B 28 | 10201220005000 | 060-113951 | |
| 6 | C 32B 18B 38 | 10201220006000 | 060-167611 | |
| 7 | C 32B 17B 48 | 10201220007000 | 060-0155027 | |
| 8 | C 32B 18B 62 | 10201220008000 | 060-0063133-84 | |
| 9 | C 32B 18B 70 | 10201220009000 | 10101350000833 | |
| 10 | C 32B 18B 80 | 10201220010000 | 10302580099314 | |
| 11 | C 32 18B 85 | 10201220011000 | 060-30470 | |
| 12 | C 32A 18B 59 | 10201220012000 | 103058301989710000 | |
| 13 | C 32A 18B 50 | 10201220013000 | 10302920088173 | |
| 14 | C 32A 18B 39 | 10201220014000 | 060-111006 | |
| 15 | C 32A 18B 29 | 10201220015000 | 10201430031639 | |
| 16 | C 32 A 18 B 21 | 10201220016000 | 060-100982 | |
| 17 | C 32A 18B 17 | 10201220017000 | 060-135507 | |
| 18 | C 32A 18B 09 | 10201220018000 | 060-127259 | |
| 19 | C 32A 18B 61 | 10201220019000 | 060-0063132 | |
| 123 | 1 | C 32A 18B 04 | 10201230001000 | SD |
| 2 | K 18B 32B 18 | 10201230002000 | SD | |
| 3 | K 18B 32B 30 | 10201230003000 | SD | |
| 4 | C 33 32 B 52 | 10201230004000 | SD | |
| 5 | C 33 32B 66 | 10201230005000 | SD | |
| 6 | SD | 10201230006000 | SD | |
| 11 | K 18C 32B 49 | 10201230011000 | SD | |
| 12 | K 18C 32B 41 | 10201230012000 | SD | |
| 13 | K 18C 32B 33 | 10201230013000 | SD | |
| 14 | K 18C 32B 23 | 10201230014000 | SD | |
| 15 | C 32B 18 B 93 | 10201230015000 | SD | |
| 16 | C 32B 18B 81 | 10201230016000 | SD | |
| 17 | C 32B 18B 71 | 10201230017000 | SD | |
| 18 | C 32B 18B 61 | 10201230018000 | SD | |
| 19 | C 32B 18B 49 | 10201230019000 | SD | |
| 19 | C 32B 18B 45 | 10201230025000 | SD | |
| 20 | C 32B 18B 37 | 10201230020000 | SD | |
| 21 | C 32B 18B 31 | 10201230021000 | SD | |
| 22 | C 32B 18B 19 | 10201230022000 | SD | |
| 23 | C 32B 18B 11 | 10201230023000 | SD | |
| 24 | C 33 32 60 | 10201230024000 | SD | |
| 124 | 14 | C 33 18B 35 | 10201240014000 | SD |
| 15 | C 33 18B 13 | 10201240015000 | SD | |
| 125 | 1 | C 34 18 02 | 10201250001000 | 10202280213569 |
| 1 | C 34 18B 02 | 10201240001000 | SD | |
| 2 | C 34 18 16 | 10201250002000 | 10201690045321 | |
| 2 | C 34 18 B 16 | 10201240002000 | SD | |
| 3 | C 34 18A 26 | 10201250003000 | 10601590172026 | |
| 3 | C 34 18B 26 | 10201240003000 | SD | |
| 4 | C 34 18A 38 | 10201250004000 | 20400220196750 | |
| 4 | C 34 18B 36 | 10201240004000 | SD | |
| 5 | C 34 18 B 48 | 10201250005000 | 10702190224549 | |
| 5 | C 34 18B 50 | 10201240005000 | SD | |
| 6 | C 34 18 A 58 | 10201250006000 | 060-11116 | |
| 7 | C 34 18 A 70 | 10201250007000 | 060-216767 | |
| 8 | C 34 18 A 78 | 10201250008000 | 060-113527 | |
| 9 | C 33 18A 81 | 10201250009000 | 20203570110373 | |
| 10 | C 33 18A 69 | 10201250010000 | 060-104150 | |
| 11 | C 33 18A 45 | 10201250011000 | 060-0047917 | |
| 12 | C 33 18A 19 | 10201250012000 | 060-243105 | |
| 13 | C 33 18A 39 | 10201250013000 | 060-148679 | |
| 126 | 1 | C 32A 18A 02 | 10201260001000 | 102006900352280000 |
| 2 | C 33 18 A 30 | 10201260002000 | 20305180034873 | |
| 3 | C 33 18A 42 | 10201260003000 | 060-116550 | |
| 4 | K 18B 32A 51 | 10201260004000 | 10301600089149 | |
| 5 | K 18B 32A 43 | 10201260005000 | 060-32922 | |
| 6 | K 18B 32A 33 | 10201260006000 | 102048101213570463 | |
| Manzana | Predio | Dirección | Referencia catastral | Matrícula Inmobiliaria |
| 7 | K 18B 32A 21 | 10201260007000 | 060-0180802-2000 | |
| 8 | C 32 A 18 A 43 | 10201260008000 | 10302080179866 | |
| 9 | C 32A 18A 29 | 10201260009000 | 103024300792160000 | |
| 10 | C 32 A 18 A 19 | 10201260010000 | 060-291222 | |
| 127 | 1 | C 32 17A 09 | 10201270001000 | 060-165646 |
| 2 | C 32A 18A 06 | 10201270002000 | 060-3053 | |
| 3 | C 32A 18A 14 | 10201270003000 | 10302900191465 | |
| 4 | C 32A 18A 24 | 10201270004000 | 10104430046150 | |
| 5 | C 32A 18A 38 | 10201270005000 | 060-165647 | |
| 6 | C 32 A 18 A 48 | 10201270006000 | 060-33673 | |
| 8 | C 32A 18A 102 | 10201270008000 | 060-11591 | |
| 9 | C 32A 18A 102 | 10201270009000 | 10601000158344 | |
| 10 | C 3IA 18A 124 | 10201270010000 | SD | |
| 12 | C 32 18A 53 | 10201270012000 | 010203770226-67 | |
| 13 | C 32 18A 49 | 10201270013000 | 060-24912 | |
| 14 | C 32 18 A 25 | 10201270014000 | 060-0108503-91 | |
| 15 | C 32 18A 59 LC 02 | 10201270015000 | 102037700226670000 | |
| 16 | C 32 18A 63 LC 03 | 10201270016000 | 060-155237 | |
| 17 | C 32 18A 67 | 10201270017000 | 102037700226670000 | |
| 128 | 1 | K 17 32 30 | 10201280001000 | 060-0084034-87 |
| 3 | SD | 10201280003000 | SD | |
| 6 | C 34 17 50 | 10201280006000 | 060-104882 | |
| 7 | C 35 17 60 | 10201280007000 | 060-258674 | |
| 8 | C 34 17 70 | 10201280008000 | 10103500005265 | |
| 9 | C 34 17 81 | 10201280009000 | 060-146051 | |
| 10 | C 34 17 96 | 10201280010000 | 060-38059 | |
| 11 | K 18 A 32 95 | 10201280011000 | 10301480195066 | |
| 12 | K 18 32 89 | 10201280012000 | 060-0031592-80 | |
| 13 | K 18A 32 81 | 10201280013000 | 060-33574 | |
| 14 | K 18A 32 67 | 10201280014000 | 060-42714 | |
| 15 | K 18A 32 61 | 10201280015000 | 10200920156541 | |
| 16 | K 18A 32 53 | 10201280016000 | 101011100105500000 | |
| 17 | K 17 32 50 | 10201280017000 | 060-48792 | |
| 25 | K 17 32 98 LC 1 | 10201280025000 | 060-167520 | |
| 26 | K 17 32 104 LC 2A | 10201280026000 | 060-167521 | |
| 27 | K 17 32 108 LC 2B | 10201280027000 | 060-167522 | |
| 28 | K 17 32 112 LC 3A | 10201280028000 | 060-167523 | |
| 29 | K 17 32 116 LC 3B | 10201280029000 | 060-167524 | |
| 30 | K 17 32 122 LC 4 | 10201280030000 | 060-167525 | |
| 31 | C 34 17 24 LC 5 | 10201280031000 | 060-167526 | |
| 32 | C 34 17 34 LC 6 | 10201280032000 | 060-167527 | |
| 33 | C 34 17 44 LC 7 | 10201280033000 | 060-167528 | |
| 34 | K 17 32 98 LT 8 IN | 10201280034000 | 060-167529 | |
| 35 | Andén | 10201280035000 | 060-0167519 | |
| 36 | SD | 10201280036000 | SD | |
| 901 | SD | 10201280901901 | SD | |
| 130 | 1 | K 18 29B 18 | 10201300001000 | 102004200403 |
| 2 | C 30 29A 64 | 10201300002000 | SD | |
| 3 | K 18 29B 78 | 10201300003000 | 060-0081586-87 | |
| 4 | C 30 18 24 | 10201300004000 | 060-38604 | |
| 5 | C 30 29 BD 59 | 10201300005000 | 060-9020 | |
| 7 | C 30 18 08 | 10201300007000 | 060-49831 | |
| 12 | K 18A 29B 11 LC B | 10201300012000 | 060-163976 | |
| 13 | K 18A 29B 35 LC A | 10201300013000 | 060-163975 | |
| 901 | SD | 10201300901901 | SD | |
| 131 | 1 | C 30 17 36 | 10201310001000 | 060-16520 |
| 3 | C 29C 17 14 | 10201310003000 | 060-0008850-77 | |
| 4 | SD | 10201310004000 | SD | |
| 5 | C 29C 17 80 | 10201310005000 | 060-68919 | |
| 6 | SD | 10201310006000 | SD | |
| 7 | SD | 10201310007000 | SD | |
| 8 | C 30 17 220 | 10201310008000 | 060-0122312 | |
| 9 | K 18 29B 57 | 10201310009000 | 060-10932 | |
| 10 | SD | 10201310010000 | SD | |
| 11 | SD | 10201310011000 | SD | |
| 12 | SD | 10201310012000 | SD | |
| Manzana | Predio | Dirección | Referencia catastral | Matrícula Inmobiliaria |
| 152 | 1 | K 14 32 12 | 10201520001000 | 060-210916 |
| 2 | K 14 32 24 | 10201520002000 | 060-15499 | |
| 3 | K 14 32 48 | 10201520003000 | 060-65528 | |
| 4 | K 14 32 64 | 10201520004000 | 060-134478 | |
| 5 | K 14 32 82 | 10201520005000 | 10303670095075 | |
| 6 | K 14 32 100 | 10201520006000 | 060-19391 | |
| 7 | K 14 32 108 | 10201520007000 | 060-143527 | |
| 8 | K 14 32 118 | 10201520008000 | 060-9801 | |
| 9 | C 35 14 28 | 10201520009000 | SD | |
| 10 | C 35 14 38 | 10201520010000 | 060-5203 | |
| 11 | C 35 14 46 | 10201520011000 | 10302340070375 | |
| 12 | C 35 14 56 | 10201520012000 | 060-48752 | |
| 13 | C 35 14 66 | 10201520013000 | 060-3556 | |
| 14 | K 17 32 115 | 10201520014000 | 060-11120 | |
| 15 | K 17 32 103 | 10201520015000 | 060-44814 | |
| 16 | K 17 32 83 | 10201520016000 | 060-95844 | |
| 17 | K 17 32 37 | 10201520017000 | 060-11019 | |
| 18 | K 17 32 23 | 10201520018000 | 060-239576 | |
| 19 | K 17 32 09 | 10201520019000 | 060-5186 | |
| 20 | C 35 14 76 | 10201520020000 | 10202390028675 | |
| 21 | K 14 32 06 | 10201520021000 | SD | |
| 22 | C 32 32 09 | 10201520022000 | 060-49694 | |
| 938 | 1 | SD | 10209380001000 | SD |
| 939 | 1 | SD | 10209390001000 | SD |
| 940 | 1 | SD | 10209400001000 | SD |
| 948 | 1 | SD | 10209480001000 | SD |
| 959 | 1 | SD | 10209590001000 | SD |
| 960 | 1 | SD | 10209600001000 | SD |
Tabla 11. Identificación de predios del subsector IId
Subsector normativo III
| Sector | Subsector | Nombre | Manzanas |
| III | IIIa | Manga/San Sebastián del Pastelillo | 154, 155, 156, 161, 162, 274, 284, 348, 349 |
| IIIb | Manga | 160, 161 | |
| IIIc | Periferia 600 m del castillo | 81, 103, 108, 109, 110, 111, 112, 113, 114, 115, 116, 117, 123, 124, 132, 157, 158, 167, 168, 169, 170, 183, 185, 186, 187, 188, 189, 190, 191, 192, 215, 224, 225, 226, 227, 229, 230, 231, 278, 335, 347, 367, 744, 745, 746, 747, 748, 757, 775, 852, 853, 854, 855, 856, 857, 858, 859, 860, 861, 862, 863, 864, 865, 866, 867, 948, 984 | |
| IIId | Parque de La Marina | 65, 260 | |
| IIIe | Muelle de la Bodeguita | 255 | |
| IIIf | Proyecto Chambacú | 182, 194, 201, 202, 203, 204, 208, 678 | |
| IIIg | Espíritu del Manglar | ||
| IIIh | Predios del Distrito | 91 | |
| IIIi | La Matuna | 116, 117, 118, 119, 120, 121, 122, 123, 124, 125, 214, 215, 216, 288, 300, 304, 307, 323, 337 | |
| IIIj | Cabrero subsector A | 622, 929 | |
| IIIk | Cabrero subsector B | 618, 730 | |
Tabla 12. Identificación de subsectores del sector normativo III
Predios del subsector normativo IIIa
| Manzana | Predio | Dirección | Referencia catastral | Matrícula Inmobiliaria |
| 154 | 1 | C 24 16 18 | 10101540001000 | SD |
| 2 | K 16 24 94 | 10101540002000 | 060-73440 | |
| 3 | C 24 16 18 | 10101540003000 | SD | |
| 155 | 1 | K 16 24 30 | 10101550001000 | SD |
| 2 | K 16 24 52 | 10101550002000 | SD | |
| 3 | C 25 16 28 | 10101550003000 | SD | |
| 4 | C 25 16 36 | 10101550004000 | SD | |
| 156 | 1 | C 25 15 15 | 10101560001000 | 060-117100 |
| 2 | C 25 15 63 | 10101560002000 | 060-935 | |
| 3 | C 26 16 50 | 10101560003000 | 060-35432 | |
| 4 | C 26 15 60 | 10101560004000 | 060-74634 | |
| 6 | C 26 15 114 | 10101560006000 | 060-10213 | |
| 7 | C 26 15 124 Ap. 3 | 10101560007000 | 060-129982 | |
| 8 | C 25 25 16 | 10101560008000 | 10100510004157 | |
| 9 | K 16 25 27 | 10101560009000 | 060-71430 | |
| 16 | C 25 15 63 LC1 | 10101560016000 | 060-008951-88 | |
| 17 | C 25 15 63 LC 2 | 10101560017000 | SD | |
| 18 | C 25 15 63 LC 3 | 10101560018000 | 060-89053 | |
| 19 | C 25 15 63 LC 4 | 10101560019000 | SD | |
| 20 | C 25 15 63 LC 5 | 10101560020000 | SD | |
| 21 | C 25 15 63 LC 6 | 10101560021000 | 060-89056 | |
| 22 | C 25 15 63 LC 7 | 10101560022000 | 060-89057 | |
| Manzana | Predio | Dirección | Referencia catastral | Matrícula Inmobiliaria |
| 23 | C 25 15 63 LC 8 | 10101560023000 | 060-89058 | |
| 24 | K 17 16 05 Ap. 2 | 10101560024000 | 060-129981 | |
| 25 | K 16 25 49 Ap. 1 | 10101560025000 | 060-129980 | |
| 901 | SD | 10101560901901 | SD | |
| 161 | 1 | K 17A 24A 06 | 10101610001000 | SD |
| 2 | K 17 24 120 | 10101610002000 | SD | |
| 4 | K 17 24 146 | 10101610004000 | SD | |
| 5 | K 17 24 156 | 10101610005000 | SD | |
| 6 | K 17 24 178 | 10101610006000 | SD | |
| 7 | K 17 24 82 | 10101610007000 | SD | |
| 8 | C 25 17 22 | 10101610008000 | SD | |
| 9 | C 25 17 36 | 10101610009000 | SD | |
| 10 | C 25 17 48A | 10101610010000 | SD | |
| 11 | C 25 17 50 | 10101610011000 | SD | |
| 26 | K 17A 24 45 | 10101610026000 | SD | |
| 27 | K 17B 24A 35 | 10101610027000 | SD | |
| 28 | K 17B 24A 23 | 10101610028000 | SD | |
| 29 | K 17B 24A 09 | 10101610029000 | SD | |
| 30 | C 24A 17A 25 | 10101610030000 | SD | |
| 33 | C 25 17 48 | 10101610033000 | SD | |
| 43 | C 24A 17 47 | 10101610043000 | SD | |
| 901 | SD | 10101610901901 | SD | |
| 902 | SD | 10101610902902 | SD | |
| 162 | 1 | K 17 24 10 | 10101620001000 | SD |
| 2 | K 17A 24 26 | 10101620002000 | SD | |
| 3 | K 17 24 36 | 10101620003000 | SD | |
| 5 | K 17A 24B 06 | 10101620005000 | SD | |
| 6 | K 17 24 78 | 10101620006000 | SD | |
| 7 | K 17 24 90 | 10101620007000 | SD | |
| 9 | C 24A 17 60 | 10101620009000 | SD | |
| 11 | K 17A 24 76 78 | 10101620011000 | SD | |
| 12 | C 17A 24 73 | 10101620012000 | SD | |
| 14 | K 17A 24 51 | 10101620014000 | SD | |
| 15 | K 17A 24 37 | 10101620015000 | SD | |
| 16 | C 24 17 77 | 10101620016000 | SD | |
| 17 | C 24 17 67 | 10101620017000 | SD | |
| 23 | C 24A 17 44 | 10101620023000 | SD | |
| 24 | C 24B 17 46 | 10101620024000 | SD | |
| 27 | C 24 BIS 17 47 | 10101620027000 | SD | |
| 35 | C 24A 17 25 | 10101620035000 | SD | |
| 38 | C 24 BIS 17 28 LC 1A | 10101620038000 | SD | |
| 901 | SD | 10101620901901 | SD | |
| 902 | SD | 10101620902902 | SD | |
| 903 | SD | 10101620903903 | SD | |
| 904 | SD | 10101620904904 | SD | |
| 905 | SD | 10101620905905 | SD | |
| 906 | SD | 10101620906906 | SD | |
| 908 | SD | 10101620908908 | SD | |
| 909 | SD | 10101620909909 | SD | |
| 274 | 1 | D 23 25 11 Glorieta Z. V. | 10102740001000 | SD |
| 284 | 1 | K 17 C 25 | 10102840001000 | SD |
| 348 | 1 | K 17 25 09 zona verde | 10103480001000 | SD |
| 349 | 1 | C 24 19 140 paseo peatonal | 10103490001000 | SD |
Tabla 13. Identificación de predios del subsector IIIa
Predios del subsector normativo IIIb
| Manzana | Predio | Dirección | Referencia catastral | Matrícula Inmobiliaria |
| 160 | 1 | C 25 17 69 | 10101600001000 | 060-38423 |
| 3 | C 25 17 41 | 10101600003000 | 10302090109471 | |
| 4 | C 25 17 31 | 10101600004000 | 10300700138168 | |
| 7 | K 17 25 36 | 10101600007000 | 10100580006274 | |
| 8 | K 17 25 46 | 10101600008000 | 060-8187 | |
| 9 | K 17 25 68 | 10101600009000 | 060-29928 | |
| 11 | C 26 17 42 | 10101600011000 | 10302380178967 | |
| 12 | C 26 17 48 | 10101600012000 | 060-62364 | |
| 14 | K 17A 26 45 Ap. 5 | 10101600014000 | 060-0022718 | |
| 15 | C 26 17 100 | 10101600015000 | 060-24423 | |
| 16 | C 26 17 110 | 10101600016000 | 060-20725 | |
| 17 | C 26 17 114 | 10101600017000 | 060-18206 | |
| 18 | C 26 17 132 | 10101600018000 | 060-32769 | |
| 19 | K 18 25 103 | 10101600019000 | 060-978 | |

Tabla 14. Identificación de predios del subsector IIIb
Predios del subsector normativo IIIc
| Manzana | Predio | Dirección | Referencia catastral | Matrícula Inmobiliaria |
| 81 | 1 | C 32 19A 02 LC 1 | 10200810001000 | 060-21441 |
| 7 | K 20 30 25 | 10200810007000 | 060-38147 | |
| 8 | C 30 19A 11 | 10200810008000 | 060-9454 | |
| 9 | K 20 30 95 LC B3 | 10200810009000 | 060-185802 | |
| 11 | C 32 19A 24 LC 4 | 10200810011000 | 060-146651 | |
| 12 | C 32 19A 32 LC 5 | 10200810012000 | 060-31734 | |
| 13 | C 32 19A 42 | 10200810013000 | 10101000000000 | |
| 48 | C 32 19 10 LC 2 | 10200810048000 | 060-185798 | |
| 49 | C 32 19 18 LC 3 | 10200810049000 | 060-185799 | |
| 50 | K 20 30 107 LC B1 | 10200810050000 | 060-185800 | |
| Manzana | Predio | Dirección | Referencia catastral | Matrícula Inmobiliaria |
| 51 | K 20 30 101 LC B2 | 10200810051000 | 060-185801 | |
| 901 | SD | SD | SD | |
| 902 | SD | SD | SD | |
| 903 | SD | SD | SD | |
| 904 | SD | SD | SD | |
| 103 | 2 | K 19A 29A 150 MZ 4 LT 17 | 10201030002000 | SD |
| 3 | K 19A 29A 164 | 10201030003000 | SD | |
| 6 | K 19A 29A 200 | 10201030006000 | SD | |
| 7 | K 19A 29A 212 | 10201030007000 | SD | |
| 9 | C 30 19A 06 | 10201030009000 | SD | |
| 10 | C 30 19 45 | 10201030010000 | SD | |
| 11 | C 30 19 35 | 10201030011000 | SD | |
| 13 | K 19 29A 251 | 10201030013000 | SD | |
| 14 | K 19 29A 239 | 10201030014000 | SD | |
| 15 | K 19 29A 227 | 10201030015000 | SD | |
| 16 | K 19 29A 213 | 10201030016000 | SD | |
| 17 | K 19 29A 203 MZ A LT 9 | 10201030017000 | SD | |
| 18 | K 19 29B 181 | 10201030018000 | SD | |
| 19 | K 19 29A 173 | 10201030019000 | SD | |
| 20 | K 19 29A 161 | 10201030020000 | SD | |
| 22 | K 19 29A 123 | 10201030022000 | SD | |
| 23 | K 19 29A 111 | 10201030023000 | SD | |
| 24 | K 19 29A 91 | 10201030024000 | SD | |
| 25 | K 19 29A 75 | 10201030025000 | SD | |
| 26 | K 19 29A 65 | 10201030026000 | SD | |
| 27 | K 19 29A 53 | 10201030027000 | SD | |
| 28 | K 19 29A 43 | 10201030028000 | SD | |
| 29 | K 19 29A 27 MZ C LT 15 | 10201030029000 | SD | |
| 30 | K 19 29A 07 | 10201030030000 | SD | |
| 31 | K 19 29A 100 | 10201030031000 | SD | |
| 49 | K 19A 29A 19 | 10201030049000 | SD | |
| 50 | K 19A 29A 138 | 10201030050000 | SD | |
| 51 | K 19 29A 181 AP 01 | 10201030051000 | SD | |
| 901 | SD | SD | SD | |
| 902 | SD | SD | SD | |
| 903 | SD | SD | SD | |
| 904 | SD | SD | SD | |
| 905 | SD | SD | SD | |
| 906 | SD | SD | SD | |
| 108 | 1 | C 34 20 15 | 10201080001000 | 060-46655 |
| 2 | K 20 34 16 | 10201080002000 | 101060000000000000 | |
| 3 | K 20 34 26 | 10201080003000 | 060-44146 | |
| 4 | K 20 34 36 | 10201080004000 | 112687742 | |
| 5 | K 20 34 46 | 10201080005000 | SD | |
| 6 | K 20 34 62 | 10201080006000 | 102021000000000000 | |
| 7 | K 20 34 78 | 10201080007000 | 060-74355 | |
| 8 | K 20 20 04 | 10201080008000 | 060-0028005-99 | |
| 9 | C 35 20 12 | 10201080009000 | 060-108780 | |
| 10 | K 20A 34 89 | 10201080010000 | 060-73926 | |
| 11 | K 20A 34 79 | 10201080011000 | 01022890635-59 | |
| 12 | K 20A 34 65 | 10201080012000 | 060-216821 | |
| 13 | K 20A 34 57 | 10201080013000 | 060-3358 | |
| 14 | K 20A 34 45 | 10201080014000 | 104267000000 | |
| 15 | K 20A 34 37 | 10201080015000 | 060-0008557-94 | |
| 16 | K 20A 34 27 | 10201080016000 | 060-239343 | |
| 17 | K 20A 34 11 | 10201080017000 | 101053000000000000 | |
| 18 | C 34 20 31 | 10201080018000 | 060-79838 | |
| 19 | C 35 20 22 | 10201080019000 | 060-24244 | |
| 20 | K 20 34 10 | 10201080020000 | SD | |
| 21 | C 35 20 18 | 10201080021000 | 060-0074615-86 | |
| 22 | K 20A 34 39 | 10201080022000 | 060-136077 | |
| 109 | 1 | C 34 19 03 | 10201090001000 | 060-16172 |
| 2 | K 19 34 16 | 10201090002000 | 060-34827 | |
| 3 | K 19 34 26 | 10201090003000 | 060-172813 | |
| 4 | K 19 34 30 | 10201090004000 | 060-81978 | |
| 5 | K 19 34 36 | 10201090005000 | 060-37334 | |
| 6 | K 19 34 46 | 10201090006000 | 0103211727-63 | |
| 7 | K 19 34 58 | 10201090007000 | 060-135482 | |
| Manzana | Predio | Dirección | Referencia catastral | Matrícula Inmobiliaria |
| 8 | K 19 34 68 | 10201090008000 | 060-44558 | |
| 9 | K 19 34 82 | 10201090009000 | 102490000000 | |
| 10 | K 19 34 90 | 10201090010000 | SD | |
| 11 | C 35 19 02 | 10201090011000 | 060-42533 | |
| 12 | C 35 19 24 | 10201090012000 | 060-0069292 | |
| 13 | K 20 34 91 | 10201090013000 | SD | |
| 14 | K 20 34 77 | 10201090014000 | 101106000000 | |
| 15 | K 20 34 67 | 10201090015000 | 060-119820 | |
| 16 | K 20 34 57 | 10201090016000 | 060-133514 | |
| 17 | K 20 34 49 | 10201090017000 | 060-44254 | |
| 18 | K 20 34 39 | 10201090018000 | 060-117500 | |
| 19 | K 20 34 24 | 10201090019000 | 060-72367 | |
| 20 | K 20 34 15 | 10201090020000 | 060-24407 | |
| 21 | K 20 34 07 | 10201090021000 | 060-0099479 | |
| 22 | C 34 19 29 | 10201090022000 | 060-24406 | |
| 23 | C 34 19 19 | 10201090023000 | 201115000000 | |
| 24 | C 35 19 12 | 10201090024000 | 060-0042532-82 | |
| 26 | C 35 19 18 | 10201090025000 | 060-42531 | |
| 110 | 2 | K 18E 34 46 | 10201100002000 | SD |
| 3 | K 18E 34 56 | 10201100003000 | SD | |
| 4 | K 18E 34 62 | 10201100004000 | SD | |
| 5 | K 18E 34 74 | 10201100005000 | SD | |
| 6 | K 19 34 84 | 10201100006000 | SD | |
| 7 | K 19 34 75 | 10201100007000 | SD | |
| 8 | K 19 34 67 | 10201100008000 | SD | |
| 9 | K 19 34 57 | 10201100009000 | SD | |
| 10 | K 19 34 47 | 10201100010000 | SD | |
| 11 | K 19 34 39 | 10201100011000 | SD | |
| 12 | K 19 34 21 | 10201100012000 | SD | |
| 13 | K 19 34 05 | 10201100013000 | SD | |
| 14 | K 18E 34 36 | 10201100014000 | SD | |
| 15 | C 34 18C 03 | 10201100015000 | SD | |
| 16 | K 18E 34 30 | 10201100016000 | SD | |
| 17 | C 35 18E 14 | 10201100017000 | SD | |
| 111 | 5 | K 18 C 32 B 42 | 10201110005000 | 205009000000000000 |
| 6 | K 18C 32B 60 | 10201110006000 | 101031000000000000 | |
| 8 | C 33 18 C 18 | 10201110008000 | SD | |
| 9 | C 33 18 C 24 | 10201110009000 | 060-0183807 | |
| 10 | C 34 18 C 36 | 10201110010000 | 26-198-6048-45 | |
| 11 | C 33 18 C 42 | 10201110011000 | 0104331605-27 | |
| 12 | C 34 18 C 50 | 10201110012000 | 02035302064-58 | |
| 13 | C 34 18 C 58 | 10201110013000 | 0201106143-71 | |
| 14 | C 34 18C 70 | 10201110014000 | 060-187021 | |
| 15 | C 34 18 C 76 | 10201110015000 | 37-282-13422-53 | |
| 16 | C 34 18C 84 | 10201110016000 | 32-244-11881-52 | |
| 17 | C 34 18 C 92 | 10201110017000 | 060-214315 | |
| 18 | C 34 18 C 106 | 10201110018000 | 0102128405-35 | |
| 19 | C 34 18 C 114 | 10201110019000 | 105069261791012-50 | |
| 20 | C 34 18 C 124 | 10201110020000 | 060-0000196 | |
| 21 | C 34 18C 130 | 10201110021000 | 101030000000000000 | |
| 22 | C 34 18 C 136 | 10201110022000 | 060-0015-374 | |
| 23 | C 34 18C 142 | 10201110023000 | 01012591296-66 | |
| 24 | C 34 18C 150 | 10201110024000 | 060-66266 | |
| 25 | K 18D 32 87 | 10201110025000 | 102030000000000000 | |
| 26 | K 18 D 38 82 | 10201110026000 | 104006000000000000 | |
| 27 | C 34 18 B 06 | 10201110027000 | SD | |
| 28 | C 34 18D 18 | 10201110028000 | SD | |
| 29 | C 34 18D 44 | 10201110029000 | 060-166028 | |
| 31 | C 34 18D 74 | 10201110031000 | 103011000000000000 | |
| 32 | C 34 18D 80 | 10201110032000 | 10100400000000 | |
| 33 | C 34 18 D 88 | 10201110033000 | 060-98752 | |
| 34 | C 34 18D 108 | 10201110034000 | 101006000000000000 | |
| 35 | K 19 32 134 | 10201110035000 | 101039000000000000 | |
| 36 | K 19 32 125 | 10201110036000 | 10305200000000 | |
| 37 | K 19 32 117 | 10201110037000 | 103018000000000000 | |
| 38 | K 19 32 107 | 10201110038000 | 060-129563 | |
| 39 | K 19 32 97 | 10201110039000 | 060-22228 | |
| 40 | K 19 32 87 | 10201110040000 | 060-70310 | |
| 41 | K 19 32 77 | 10201110041000 | SD | |
| 43 | K 19 32 61 | 10201110043000 | 060-57851 | |
| 44 | K 19 32 55 parte restante | 10201110044000 | 060-47511 | |
| 45 | K 19 32 47 | 10201110045000 | 060-133564 | |
| 46 | K 19 32 37 | 10201110046000 | 060-0130608-2000 | |
| 47 | K 19 32 33 | 10201110047000 | 060-50021 | |
| 48 | SD | 10201110048000 | SD | |
| Manzana | Predio | Dirección | Referencia catastral | Matrícula Inmobiliaria |
| 49 | K 19 32 13 | 10201110049000 | 104031000000000000 | |
| 50 | K 19 32 03 | 10201110050000 | 060-0057248-84 | |
| 51 | C 32 18C 251 | 10201110051000 | 060-131394 | |
| 52 | C 34 18C 237 | 10201110052000 | 10201400000000 | |
| 54 | C 32 18C 217 | 10201110054000 | 060-0002572-84 | |
| 55 | C 32 18C 211 | 10201110055000 | 060-14101 | |
| 56 | C 32 18C 205 | 10201110056000 | 10202000000000 | |
| 57 | C 32 18C 195 | 10201110057000 | 060-37132 | |
| 58 | C 32 18C 157 | 10201110058000 | 060-16613 | |
| 59 | C32 18C 75 | 10201110059000 | 10401900000000 | |
| 61 | C 32 18C 65 | 10201110061000 | 060-68946 | |
| 64 | C 32 18C 119 | 10201110064000 | 060-27959 | |
| 65 | C 32 18C 123 | 10201110065000 | 060-27960 | |
| 66 | C 32 18C 129 | 10201110066000 | 060-27961 | |
| 67 | C 32 18C 133 | 10201110067000 | 060-27963 | |
| 68 | C 32 18C 139 | 10201110068000 | 060-27962 | |
| 69 | C 32 18C 143 | 10201110069000 | 060-27964 | |
| 70 | C 34 18D 28 | 10201110070000 | 060-114551 | |
| 71 | C 34 18D 52 | 10201110071000 | SD | |
| 73 | K 18C 32B 34 | 10201110073000 | 060-0090754 | |
| 74 | C 34 18D 50 | 10201110074000 | 060-0061852-93 | |
| 75 | C 32 18 25 | 10201110075000 | 060-135684 | |
| 79 | C 34 18D 58 | 10201110079000 | 060-0061852 | |
| 80 | C 34 18D 52 | 10201110080000 | 060-130328 | |
| 83 | K 18C 32 B 80 | 10201110083000 | SD | |
| 84 | K 18C 32B 72 | 10201110084000 | SD | |
| 85 | K 19 18C 74 IN | 10201110085000 | 060-130361 | |
| 86 | K 19 18C 74 | 10201110086000 | 060-175479 | |
| 87 | K 18C 32B 62 | 10201110087000 | 060-104861 | |
| 901 | SD | 10201110901901 | SD | |
| 112 | 1 | K 19 32 15 | 10201120001000 | SD |
| 2 | K 19 32 30 | 10201120002000 | SD | |
| 3 | K 19 32 42 | 10201120003000 | SD | |
| 4 | K 19 32 54 | 10201120004000 | SD | |
| 6 | K 19 32 76 | 10201120006000 | SD | |
| 7 | K 19 32 90 | 10201120007000 | SD | |
| 8 | K 19A 32 21 | 10201120008000 | SD | |
| 9 | K 19A 32 05 | 10201120009000 | SD | |
| 12 | C 32 19 57 | 10201120012000 | SD | |
| 113 | 1 | C 32 19A 23 | 10201130001000 | SD |
| 2 | K 19A 32 10 | 10201130002000 | SD | |
| 3 | K 19A 32 22 | 10201130003000 | SD | |
| 4 | K 19A 32 30 | 10201130004000 | SD | |
| 5 | K 19A 32 40 | 10201130005000 | SD | |
| 6 | K 19A 32 50 | 10201130006000 | SD | |
| 7 | K 19A 32 56 | 10201130007000 | SD | |
| 8 | C 34 19 A 10 | 10201130008000 | SD | |
| 9 | C 34 19 A 20 | 10201130009000 | SD | |
| 10 | C 34 19A 30 | 10201130010000 | SD | |
| 11 | C 34 19A 05 | 10201130011000 | SD | |
| 12 | K 20 32 45 | 10201130012000 | SD | |
| 13 | K 20 32 39 | 10201130013000 | SD | |
| 14 | K 20 32 33 | 10201130014000 | SD | |
| 15 | K 20 32 25 | 10201130015000 | SD | |
| 16 | K 20 32 15 | 10201130016000 | SD | |
| 17 | C 32 19 53 LC 4 | 10201130017000 | SD | |
| 18 | C 32 19 49 LC 3 | 10201130018000 | SD | |
| 19 | C 32 19 45 LC 2 | 10201130019000 | SD | |
| 20 | C 32 19 41 LC 1 | 10201130020000 | SD | |
| 21 | K 20 32 09 | 10201130021000 | SD | |
| 22 | K 20 32 49 | 10201130022000 | SD | |
| 114 | 1 | C 32 20 13 | 10201140001000 | SD |
| 2 | K 20 32 40 | 10201140002000 | SD | |
| 3 | C 34 20 06 | 10201140003000 | SD | |
| 4 | C 34 20 18 | 10201140004000 | SD | |
| 5 | C 34 20 24 | 10201140005000 | SD | |
| 6 | C 34 20 34 | 10201140006000 | SD | |
| 7 | C 34 20 46 | 10201140007000 | SD | |
| 8 | C 32 20 31 | 10201140008000 | SD | |
| 115 | 1 | C 31 19 07 | 10201150001000 | 10200200000000 |
| 2 | C 32 19 04 | 10201150002000 | 10201000000000 | |
| 3 | C 32 19 20 | 10201150003000 | 060-28293 | |
| 5 | C 32 19 46 | 10201150005000 | 060-20960 | |
| 6 | C 32 19 140 | 10201150006000 | 060-0036429 | |
| 7 | C 31 19 133 | 10201150007000 | 060-0215776 | |
| Manzana | Predio | Dirección | Referencia catastral | Matrícula Inmobiliaria |
| 8 | SD | SD | SD | |
| 11 | K 80E 40 56 | 10201150011000 | 060-101066 | |
| 12 | C 31 19 69 LT 1 | 10201150012000 | 060-147260 | |
| 13 | C 32 19 68 | 10201150013000 | 060-2748 | |
| 14 | C 31 19 57 | 10201150014000 | 060-15001 | |
| 15 | C 31 19 39 | 10201150015000 | 060-125958 | |
| 16 | C 31 19 23 | 10201150016000 | 060-9958 | |
| 17 | C 32 19 96 | 10201150017000 | 10501500000000 | |
| 19 | C 32 19 126 | 10201150019000 | 060-135 | |
| 20 | C 32 19 120 | 10201150020000 | 060-147492 | |
| 21 | C 32 19 114 | 10201150021000 | 060-30954 | |
| 24 | C 32 19 86 | 10201150024000 | 060-0007977 | |
| 25 | SD | SD | SD | |
| 26 | SD | SD | SD | |
| 27 | SD | SD | SD | |
| 28 | SD | SD | SD | |
| 29 | SD | SD | SD | |
| 30 | SD | SD | SD | |
| 31 | SD | SD | SD | |
| 32 | SD | SD | SD | |
| 33 | SD | SD | SD | |
| 34 | SD | SD | SD | |
| 35 | SD | SD | SD | |
| 36 | SD | SD | SD | |
| 37 | SD | SD | SD | |
| 38 | SD | SD | SD | |
| 39 | SD | SD | SD | |
| 40 | SD | SD | SD | |
| 41 | SD | SD | SD | |
| 42 | SD | SD | SD | |
| 43 | SD | SD | SD | |
| 44 | SD | SD | SD | |
| 45 | SD | SD | SD | |
| 46 | SD | SD | SD | |
| 47 | SD | SD | SD | |
| 48 | SD | SD | SD | |
| 49 | SD | SD | SD | |
| 50 | SD | SD | SD | |
| 51 | SD | SD | SD | |
| 52 | SD | SD | SD | |
| 53 | SD | SD | SD | |
| 54 | C 31 19 65 | 10201150054000 | 060-0075659 | |
| 62 | C 31 19 79 LT 2 | 10201150062000 | 060-147261 | |
| 63 | C 31 19 81 LT 3 | 10201150063000 | 060-147262 | |
| 64 | C 32 19 30 | 10201150064000 | 060-28315 | |
| 65 | C 30 19 136 LT 2 | 10201150065000 | 060-36433 | |
| 901 | SD | SD | SD | |
| 116 | 2 | K 19 29C 38 MZ B LT 5 | 10201160002000 | SD |
| 3 | K 19 29C 50 | 10201160003000 | SD | |
| 4 | K 19 29C 62 MZ B LT 3 | 10201160004000 | SD | |
| 5 | K 19 29C 72 | 10201160005000 | SD | |
| 6 | C 30 19 06 MZ B LT 01 | 10201160006000 | SD | |
| 9 | C 29C 19 57 | 10201160009000 | SD | |
| 10 | C 29C 19 43 | 10201160010000 | SD | |
| 11 | C 29 19 31 | 10201160011000 | SD | |
| 12 | C 29C 19 19 | 10201160012000 | SD | |
| 13 | C 30 19 54 | 10201160013000 | SD | |
| 14 | K 19A 29C 25 | 10201160014000 | SD | |
| 16 | K 19A 29C 39 | 10201160016000 | SD | |
| 18 | K 19 29C 98 | 10201160018000 | SD | |
| 19 | K 19 29C 90 | 10201160019000 | SD | |
| 20 | K 19 29C 84 MZ B LT 4 | 10201160020000 | SD | |
| 28 | C 29C 19 27 | 10201160028000 | SD | |
| 801 | SD | SD | SD | |
| 901 | SD | SD | SD | |
| 902 | SD | SD | SD | |
| 905 | SD | SD | SD | |
| 905 | SD | SD | SD | |
| 117 | 4 | C 30 18A 90 | 10201170004000 | 060-24383 |
| 5 | SD | 10201170005000 | SD | |
| 6 | C 30 18A 152 | 10201170006000 | 060-35889 | |
| 7 | C 30 18A 254 | 10201170007000 | 060-42594 | |
| 8 | K 19 29B 119 | 10201170008000 | 060-0023390 | |
| 9 | K 19B 29B 101 | 10201170009000 | 060-6537 | |
| 10 | K 19 29B 83 | 10201170010000 | 060-23403 | |
| Manzana | Predio | Dirección | Referencia catastral | Matrícula Inmobiliaria |
| 11 | K 19 29B 65 | 10201170011000 | 060-5212 | |
| 12 | K 19 29B 51 | 10201170012000 | 060-3186 | |
| 13 | K 19 29B 37 | 10201170013000 | 060-16878 | |
| 17 | K 19 29B 103 | 10201170017000 | 060-6538 | |
| 18 | C 30 18A 130 | 10201170018000 | 060-35887 | |
| 167 | C 30 18A 74 LC 3 | 10201170167000 | 060-35890 | |
| 168 | C 30 18A 74 IN LC 4 | 10201170168000 | 060-35891 | |
| 901 | SD | 10201170901901 | SD | |
| 902 | SD | 10201170902902 | SD | |
| 903 | SD | 10201170903903 | SD | |
| 904 | SD | 10201170904904 | SD | |
| 123 | 6 | SD | 10201230006000 | SD |
| 7 | C 33 32B 92 | 10201230007000 | SD | |
| 8 | C 33 32B 102 | 10201230008000 | SD | |
| 9 | C 33 32 108 | 10201230009000 | SD | |
| 10 | K 18C 32B 55 | 10201230010000 | SD | |
| 11 | K 18C 32B 49 | 10201230011000 | SD | |
| 124 | 6 | C 34 18B 60 | 10201240006000 | SD |
| 7 | C 34 18B 68 | 10201240007000 | SD | |
| 8 | C 34 18 B 78 | 10201240008000 | SD | |
| 9 | C 34 18B 98 | 10201240009000 | SD | |
| 10 | C 34 18B 102 | 10201240010000 | SD | |
| 11 | C 34 18B 108 | 10201240011000 | SD | |
| 12 | C 34 18 B 118 | 10201240012000 | SD | |
| 13 | C 33 18B 65 | 10201240013000 | SD | |
| 132 | 1 | C 29B 17 130 Complejo de Raquetas | 10201320001000 | 060-159655 |
| 1 | C 29B 17 130 Complejo de Raquetas | 10201320001000 | 060-159655 | |
| 1 | C 29B 17 130 Complejo de Raquetas | 10201320001000 | 060-159655 | |
| 1 | C 29B 17 130 Complejo de Raquetas | 10201320001000 | 060-159655 | |
| 1 | C 29B 17 130 Complejo de Raquetas | 10201320001000 | 060-159655 | |
| 1 | C 29B 17 130 Complejo de Raquetas | 10201320001000 | 060-159655 | |
| 1 | C 29B 17 130 Complejo de Raquetas | 10201320001000 | 060-159655 | |
| 1 | SD | 10209840001000 | 060-255422 | |
| 1 | C 29B 17 130 Complejo de Raquetas | 10201320001000 | 060-159655 | |
| 157 | 3 | K 15 26 50 | 10101570003000 | 060-76147 |
| 5 | SD | 10101570005000 | SD | |
| 8 | K 15 26 102 | 10101570008000 | 060-78490 | |
| 9 | K 15 26 112 | 10101570009000 | 060-226028 | |
| 10 | K 15 26 134 | 10101570010000 | 060-80372 | |
| 13 | K 15 26 184 | 10101570013000 | 060-30937 | |
| 14 | K 17 15 28 | 10101570014000 | 060-90887 | |
| 15 | K 17 26 141 LT 1A | 10101570015000 | 060-112149 | |
| 16 | K 17 26 133 | 10101570016000 | 060-9852 | |
| 17 | K 17 26 117 | 10101570017000 | 060-4647 | |
| 18 | K 17 26 101 | 10101570018000 | 060-136049 | |
| 19 | K 17 26 95 | 10101570019000 | 060-0040794 | |
| 20 | K 17 26 73 | 10101570020000 | 060-48682 | |
| 21 | K 17 26 65 | 10101570021000 | 060-109517 | |
| 22 | K 17 26 49 | 10101570022000 | 10300900000000 | |
| 23 | K 17 26 37 | 10101570023000 | 060-15771 | |
| 78 | K 17 26 149 | 10101570078000 | 060-212501 | |
| 901 | SD | 10101570901901 | SD | |
| 902 | SD | 10101570902902 | SD | |
| 903 | SD | 10101570903903 | SD | |
| 904 | SD | 10101570904904 | SD | |
| 905 | SD | 10101570905905 | SD | |
| 906 | SD | 10101570906906 | SD | |
| 907 | SD | 10101570907907 | SD | |
| 908 | SD | 10101570908908 | SD | |
| 909 | SD | 10101570909909 | SD | |
| 910 | SD | 10101570910910 | SD | |
| 911 | SD | 10101570911911 | SD | |
| 158 | 1 | K 18A 29 25 | 10101580001000 | 10404000000000 |
| 2 | K 18A 29 15 | 10101580002000 | 10202000000000 | |
| 3 | K 18A 29 01 | 10101580003000 | 060-121688 | |
| 4 | C 29 17 313 | 10101580004000 | 060-46304 | |
| 5 | C 29 17 305 | 10101580005000 | 060-276973 | |
| 6 | SD | 10101580006000 | SD | |
| Manzana | Predio | Dirección | Referencia catastral | Matrícula Inmobiliaria |
| 7 | SD | 10101580007000 | SD | |
| 10 | C 29 17 267 | 10101580010000 | 060-0077889-86 | |
| 11 | C 29 17 255 | 10101580011000 | 060-121768 | |
| 12 | C 29 17 239 | 10101580012000 | 060-7915 | |
| 13 | C 29 17 211 | 10101580013000 | 060-54650 | |
| 15 | C 29 17 229 | 10101580015000 | 20101900000000 | |
| 16 | K 18A 29 39 | 10101580016000 | 060-75264 | |
| 29 | K 17E 29 04 | 10101580029000 | 060-20238 | |
| 30 | K 17E 29 10 LC 50 | 10101580030000 | 060-20239 | |
| 31 | K 17E 29 18 | 10101580031000 | 060-20240 | |
| 32 | K 17E 29 24 LC 52 | 10101580032000 | 060-20241 | |
| 33 | K 17E 29 32 | 10101580033000 | 060-20242 | |
| 34 | K 17E 29 38 | 10101580034000 | 060-20243 | |
| 35 | K 17E 29 46 B 6 LC 55 | 10101580035000 | 060-20244 | |
| 36 | K 17E 29 52 | 10101580036000 | 060-20245 | |
| 38 | SD | 10101580038000 | SD | |
| 39 | K 18A 29 49 | 10101580039000 | 060-111316 | |
| 87 | C 29 17 257 | 10101580087000 | 060-0121769 | |
| 901 | SD | 10101580901901 | SD | |
| 159 | 1 | K 17 26 08 | 10101590001000 | 060-50403 |
| 3 | K 17 26 50 | 10101590003000 | 060-44566 | |
| 4 | K 17 26 64 | 10101590004000 | 060-0073817 | |
| 8 | C 17 26 118 | 10101590008000 | 060-5344 | |
| 9 | K 17 26 132 | 10101590009000 | 060-63607 | |
| 10 | C 29 17 04 | 10101590010000 | 060-5941 | |
| 11 | C 29 17 38 | 10101590011000 | 060-645 | |
| 12 | C 29 17 50 | 10101590012000 | 060-219016 | |
| 14 | C 29 17 74 | 10101590014000 | SD | |
| 15 | C 29 17 144 | 10101590015000 | SD | |
| 16 | C 29 17 230 | 10101590016000 | 060-34789 | |
| 19 | C 29 17 258 | 10101590019000 | 20104800000000 | |
| 20 | C 29 17 266 | 10101590020000 | 060-101132 | |
| 22 | K 18A 26 165 | 10101590022000 | 060-82668 | |
| 23 | K 18A 26 171 | 10101590023000 | 060-5693 | |
| 24 | K 18A 26 149 | 10101590024000 | 060-43910 | |
| 26 | SD | 10101590026000 | SD | |
| 28 | K 18A 26 93 | 10101590028000 | SD | |
| 29 | K 18A 26 81 | 10101590029000 | 060-104815 | |
| 30 | K 18A 26 73 | 10101590030000 | 060-34553 | |
| 31 | K 18A 26 65 | 10101590031000 | 21022500000000 | |
| 32 | K 18A 26 43 | 10101590032000 | 10201900000000 | |
| 33 | K 18A 26 33 | 10101590033000 | 10200400000000 | |
| 34 | K 18A 26 23 | 10101590034000 | 060-0015267 | |
| 35 | C 26 18 83 | 10101590035000 | 060-223699 | |
| 38 | C 26 18 43 | 10101590038000 | 060-23742 | |
| 39 | C 26 18 25 | 10101590039000 | 060-98541 | |
| 40 | C 26 17 179 | 10101590040000 | 102037101231-64 | |
| 41 | C 26 17 151 | 10101590041000 | 060-65179 | |
| 43 | C 26 17 139 | 10101590043000 | 060-35528 | |
| 45 | C 26 17 117 | 10101590045000 | 060-38415 | |
| 46 | C 26 17 111 | 10101590046000 | 060-45974 | |
| 47 | C 26 17 103 | 10101590047000 | 060-29733 | |
| 48 | C 26 17 95 | 10101590048000 | 060-49023 | |
| 49 | C 26 17 83 | 10101590049000 | 10204400000000 | |
| 51 | C 26 17 49 | 10101590051000 | 060-98771 | |
| 52 | C 26 17 35 | 10101590052000 | 060-79889 | |
| 58 | K 17 26 20 | 10101590058000 | 10302600000000 | |
| 59 | C I6 17 27 | 10101590059000 | 060-71734 | |
| 61 | K 18A 26 189 LC 4 | 10101590061000 | 060-10974 | |
| 62 | C 29 17 290 | 10101590062000 | 060-11488 | |
| 63 | C 29 17 284 | 10101590063000 | 10201100000000 | |
| 64 | C 29 17 280 | 10101590064000 | 060-11486 | |
| 65 | C 41 18 13 | 10101590065000 | 060-46947 | |
| 66 | K 18A 26 65 | 10101590066000 | 060-33818 | |
| 152 | C 29 17 262 | 10101590152000 | 060-0102232 | |
| 153 | C 29 17 262 IN | 10101590153000 | 060-103618 | |
| 218 | C 29 17 278 Lc 2 | 10101590218000 | 060-351 | |
| 219 | C 29 17 274 LC 1 | 10101590219000 | 060-156688 | |
| 220 | K 18A 26 119 LC 1 | 10101590220000 | 060-220594 | |
| 221 | K 18A 26 117 IN LC 2 | 10101590221000 | 060-220595 | |
| 801 | SD | 10101590801801 | SD | |
| 901 | SD | 10101590901901 | SD | |
| 902 | SD | 10101590902902 | SD | |
| 903 | SD | 10101590903903 | SD | |
| 904 | SD | 10101590904904 | SD | |
| Manzana | Predio | Dirección | Referencia catastral | Matrícula Inmobiliaria |
| 905 | SD | 10101590905905 | SD | |
| 906 | SD | 10101590906906 | SD | |
| 907 | SD | 10101590907907 | SD | |
| 908 | SD | 10101590908908 | SD | |
| 909 | SD | 10101590909909 | SD | |
| 910 | SD | 10101590910910 | SD | |
| 911 | SD | 10101590911911 | SD | |
| 167 | 1 | C 25 18 A 09 | 10101670001000 | 060-18373 |
| 2 | K 18A 26 26 | 10101670002000 | 060-51570 | |
| 3 | K 18A 26 38 | 10101670003000 | 060-0147144 | |
| 4 | K 18A 26 52 | 10101670004000 | 060-65500 | |
| 5 | K 18A 26 58 | 10101670005000 | 060-49922 | |
| 6 | K 18 26 62 | 10101670006000 | 060-96891 | |
| 7 | K 18A 26 72 | 10101670007000 | 10200000000000 | |
| 8 | K 18A 26 82 | 10101670008000 | 10205100000000 | |
| 9 | K 18A 26 96 | 10101670009000 | 060-16141 | |
| 10 | K 18A 26 112 | 10101670010000 | 060-0061672 | |
| 11 | K 18A 26 130 | 10101670011000 | 060-2820 | |
| 12 | K 18A 26 152 | 10101670012000 | 060-52052 | |
| 13 | K 18A 26 146 | 10101670013000 | 060-0027974 | |
| 15 | K 18A 26 180 | 10101670015000 | 060-120910 | |
| 16 | K 18A 26 194 | 10101670016000 | 060-38416 | |
| 17 | C 29 18A 12 | 10101670017000 | 060-149536 | |
| 18 | C 29 18A 42 | 10101670018000 | 060-127351 | |
| 19 | C 29 18A 48 | 10101670019000 | 10600100000000 | |
| 20 | K 18B 26 209 | 10101670020000 | 060-55280 | |
| 21 | K 18B 26 187 | 10101670021000 | 060-49418 | |
| 22 | K 18B 26 173 | 10101670022000 | 10205900000000 | |
| 23 | K 18B 26 161 | 10101670023000 | 060-1054 | |
| 24 | K 18B 26 151 | 10101670024000 | 060-65354 | |
| 25 | K 18B 26 141 | 10101670025000 | 060-0034888 | |
| 26 | K 18B 26 125 | 10101670026000 | 060-116980 | |
| 27 | SD | 10101670027000 | SD | |
| 28 | K 18B 26 113 | 10101670028000 | 060-16461 | |
| 29 | K 18B 26 97 | 10101670029000 | 060-88843 | |
| 30 | K 18B 26 93 | 10101670030000 | 060-14482 | |
| 31 | K 18B 26 87 | 10101670031000 | 10303500000000 | |
| 32 | K 18B 26 81 79 | 10101670032000 | 060-15429 | |
| 34 | K 18B 26 67 | 10101670034000 | 060-31845 | |
| 35 | K 18B 26 53 | 10101670035000 | 101059000000000000 | |
| 36 | K 18B 26 43 | 10101670036000 | 060-13811 | |
| 37 | K 18B 26 27 | 10101670037000 | 103020000000000000 | |
| 38 | K 18B 26 15 | 10101670038000 | 101022000000000000 | |
| 39 | C 26 18A 43 | 10101670039000 | 10303900000000 | |
| 40 | C 25 18A 31 | 10101670040000 | 060-0073742 | |
| 41 | C 26 18A 19 | 10101670041000 | 060-47494 | |
| 42 | K 18A 26 126 | 10101670042000 | 060-26848 | |
| 43 | K 18B 26 163 | 10101670043000 | SD | |
| 44 | K 18A 26 122 LC A | 10101670044000 | 060-61671 | |
| 45 | K 18A 26 118 | 10101670045000 | 060-112768 | |
| 46 | C 29 18A 45 | 10101670046000 | 060-49420 | |
| 901 | SD | 10101670901901 | SD | |
| 902 | SD | 10101670902902 | SD | |
| 168 | 1 | C 29 18A 63 | 10101680001000 | 060-29522 |
| 2 | C 29 18A 45 | 10101680002000 | 060-37417 | |
| 3 | C 29 18A 37 | 10101680003000 | 060-129853 | |
| 4 | C 29 18A 23 33 | 10101680004000 | 060-15748 | |
| 5 | C 29 18A 151 | 10101680005000 | 060-35801 | |
| 6 | C 29 18A 01 | 10101680006000 | 060-222899 | |
| 8 | C 29 18A 15 | 10101680008000 | 10202900000000 | |
| 9 | C 29 18A 15 09 | 10101680009000 | 10204300000000 | |
| 10 | K 18B 29 39 | 10101680010000 | 060-135788 | |
| 11 | C 29 18A 65 accesoria A | 10101680011000 | 060-130836 | |
| 14 | K 18A 29 38 | 10101680014000 | 060-103593 | |
| 15 | K 18A 29 16 | 10101680015000 | 060-103910 | |
| 19 | C 29 18A 69 accesoria B | 10101680019000 | 060-130837 | |
| 20 | K 18A 29 34 | 10101680020000 | 060-106044 | |
| 21 | K 18A 29 24 | 10101680021000 | 060-49759 | |
| 901 | SD | 10101680901901 | SD | |
| 169 | 1 | K 19 29 41 | 10101690001000 | SD |
| 2 | K 19 29 41 | 10101690002000 | SD | |
| 3 | C 29 18B 57 | 10101690003000 | SD | |
| 4 | C 29 18B 41 | 10101690004000 | SD | |
| 5 | C 29 18B 35 | 10101690005000 | SD | |
| 6 | C 29 18B 21 | 10101690006000 | SD | |
| Manzana | Predio | Dirección | Referencia catastral | Matrícula Inmobiliaria |
| 7 | C 29 18B 17 | 10101690007000 | SD | |
| 8 | C 29 18B 05 LC B | 10101690008000 | SD | |
| 9 | K 19 29 21 | 10101690009000 | SD | |
| 10 | K 19 29 13 | 10101690010000 | SD | |
| 12 | C 29 18B 39 | 10101690012000 | SD | |
| 13 | K 18B 29 32 | 10101690013000 | SD | |
| 14 | C 29 18B 03 LC A | 10101690014000 | SD | |
| 15 | K 18B 29 46 | 10101690015000 | SD | |
| 16 | K 19 29 53 | 10101690016000 | SD | |
| 17 | K 19 29 59 | 10101690017000 | SD | |
| 901 | SD | 10101690901901 | SD | |
| 170 | 1 | K 18B 26 26 | 10101700001000 | 060-28524 |
| 2 | K 18 26 48 | 10101700002000 | 060-3254 | |
| 4 | K 18B 26 68 | 10101700004000 | 060-102020 | |
| 6 | K 18B 26 106 | 10101700006000 | 060-13991 | |
| 7 | K 18B 26 114 | 10101700007000 | 1020245-215169 | |
| 8 | K 18B 26 116 | 10101700008000 | 060-5919 | |
| 9 | K 18B 26 124 | 10101700009000 | 060-23276 | |
| 10 | K 18B 26 80 | 10101700010000 | 060-78815 | |
| 12 | K 18B 26 150 | 10101700012000 | 060-18225 | |
| 13 | K 18B 26 166 | 10101700013000 | 060-46262 | |
| 15 | C 29 18B 18 | 10101700015000 | 106028000000000000 | |
| 16 | C 29 18B 54 | 10101700016000 | 060-5528 | |
| 17 | C 29 18B 64 | 10101700017000 | 060-86541 | |
| 18 | K 19 26 203 | 10101700018000 | 060-79983 | |
| 19 | K 19 26 203 | 10101700019000 | 060-79199 | |
| 20 | K 19 26 181 | 10101700020000 | 060-973 | |
| 21 | K 19 26 179 | 10101700021000 | 060-31801 | |
| 22 | K 19 26 151 | 10101700022000 | 060-24979 | |
| 23 | K 19 26 145 | 10101700023000 | SD | |
| 24 | K 19 26 139 | 10101700024000 | 060-153392 | |
| 26 | K 19 26 113 | 10101700026000 | 0702038900861-76 | |
| 28 | SD | 10101700028000 | SD | |
| 30 | K 19 26 67 Ap. 1 | 10101700030000 | 060-123432 | |
| 31 | SD | 10101700031000 | SD | |
| 32 | K 19 26 29 | 10101700032000 | 060-36286 | |
| 33 | C 26 18B 59 | 10101700033000 | 060-10971 | |
| 35 | K 26 18B 29 | 10101700035000 | 101062000000000000 | |
| 36 | K 18B 26 136 | 10101700036000 | 060-113365 | |
| 41 | K 18B 26 40 | 10101700041000 | 060-15343 | |
| 42 | C 26 18B 09 | 10101700042000 | 060-28525 | |
| 43 | C 26 18B 19 | 10101700043000 | 060-28526 | |
| 44 | K 18B 26 154 | 10101700044000 | 060-29889 | |
| 120 | K 18B 26 166 | 10101700120000 | 060-122011 | |
| 124 | 6018B 26 142 | 10101700124000 | 060-177574 | |
| 125 | K 18B 26 172 | 10101700125000 | 060-153951 | |
| 126 | K 19 26 143 | 10101700126000 | 060-181673 | |
| 901 | SD | 10101700901901 | SD | |
| 902 | SD | 10101700902902 | SD | |
| 903 | SD | 10101700903903 | SD | |
| 904 | SD | 10101700904904 | SD | |
| 905 | SD | 10101700905905 | SD | |
| 906 | SD | 10101700906906 | SD | |
| 907 | SD | 10101700907907 | SD | |
| 908 | SD | 10101700908908 | SD | |
| 183 | 1 | K 19A 29A 13 | 10201830001000 | SD |
| 2 | K 19 29B 10 MZ C LT 09 | 10201830002000 | SD | |
| 3 | K 19 29A 26 MZ C LT 08 | 10201830003000 | SD | |
| 4 | K 19 29B 38 | 10201830004000 | SD | |
| 6 | K 19 2C 19 06 MZ C LT 01 | 10201830006000 | SD | |
| 7 | C 29C 19 20 MZ C LT 02 | 10201830007000 | SD | |
| 8 | C 29 19 32 | 10201830008000 | SD | |
| 9 | C 29C 19 44 MZ C LT 04 | 10201830009000 | SD | |
| 10 | C 29 19 56 | 10201830010000 | SD | |
| 11 | K 19A 29A 81 MZ C LT 14 | 10201830011000 | SD | |
| 12 | K 19A 29A 67 MZ C LT 13 | 10201830012000 | SD | |
| 13 | K 19A 29A 53 | 10201830013000 | SD | |
| 14 | K 19A 29A 39 | 10201830014000 | SD | |
| 15 | K 19A 29A 95 MZ C LT 05 | 10201830015000 | SD | |
| 16 | K 19A 29A 29 Ap. A | 10201830016000 | SD | |
| 22 | K 19A 29A 27 Ap. B | 10201830022000 | SD | |
| 901 | SD | SD | SD | |
| Manzana | Predio | Dirección | Referencia catastral | Matrícula Inmobiliaria |
| 185 | 1 | C 35A 14 02 | 10201850001000 | SD |
| 3 | K 14 35A 28 | 10201850003000 | 10201800000000 | |
| 4 | K 14 35A 38 | 10201850004000 | 20202700000000 | |
| 5 | K 14 35A 46 | 10201850005000 | 060-5311 | |
| 6 | K 14 35A 58 | 10201850006000 | 10203700000000 | |
| 7 | K 15 35A 71 | 10201850007000 | 104010000000000000 | |
| 8 | K 15A 35A 61 | 10201850008000 | 060-55554 | |
| 9 | K 15 35A 51 | 10201850009000 | 060-0019533-89 | |
| 10 | K 15A 35A 37 | 10201850010000 | 102051000000000000 | |
| 11 | C 35A 14 14 | 10201850011000 | SD | |
| 12 | K 15 35A 43 | 10201850012000 | 060-19561 | |
| 186 | 1 | K 15 35 04 | 10201860001000 | 060-8872 |
| 2 | K 15A 35 22 | 10201860002000 | 060-15373 | |
| 3 | K 15 35 30 | 10201860003000 | 10405400000000 | |
| 4 | K 15 35 44 | 10201860004000 | 10304800000000 | |
| 5 | K 15 35 64 | 10201860005000 | 060-15531 | |
| 6 | K 15 35 114 | 10201860006000 | 060-73152 | |
| 7 | K 15 35 126 | 10201860007000 | 103042000000000000 | |
| 8 | K 15 35 134 | 10201860008000 | 10402500000000 | |
| 9 | K 15 35 142 | 10201860009000 | 10400300000000 | |
| 10 | K 15 35 150 | 10201860010000 | 060-58692 | |
| 11 | C 36 15A 38 | 10201860011000 | 060-7190 | |
| 12 | C 36 15 50 CS 6 | 10201860012000 | 060-128234 | |
| 16 | K 17 35 157 | 10201860016000 | 060-108414 | |
| 17 | K 17 35 147 | 10201860017000 | 104019000000000000 | |
| 18 | K 17 35 137 | 10201860018000 | 060-49051 | |
| 19 | K 17 35 127 | 10201860019000 | 060-18618 | |
| 20 | K 17 35 117 | 10201860020000 | 10100100000000 | |
| 21 | K 17 35 71 | 10201860021000 | 060-7862 | |
| 22 | K 17 35 07 LC A | 10201860022000 | 060-149317 | |
| 24 | C 35 15A 67 | 10201860024000 | 060-42088 | |
| 26 | C 35 15A 49 | 10201860026000 | 203030000000000000 | |
| 27 | C 35 15A 39 | 10201860027000 | 060-69550 | |
| 28 | C 35 15 29 | 10201860028000 | 060-29790 | |
| 29 | C 35 15 23 | 10201860029000 | 060-49760 | |
| 31 | C 35 15 59 | 10201860031000 | 060-121538 | |
| 32 | K 15 35 60 | 10201860032000 | 060-80470 | |
| 33 | C 36 15 54 CS 5 | 10201860033000 | 060-128233 | |
| 34 | C 36 16 04 CS 4 | 10201860034000 | 060-128232 | |
| 35 | C 36 16 10 CS 3 | 10201860035000 | 060-128231 | |
| 36 | C 36 16 16 CS 2 | 10201860036000 | 060-128230 | |
| 37 | C 36 16 32 CS 1 | 10201860037000 | 060-128229 | |
| 38 | K 16A 36 22 CS 22 | 10201860038000 | 060-128250 | |
| 39 | K 16A 36 28 CS 21 | 10201860039000 | 060-128249 | |
| 40 | K 16A 36 34 CS 20 | 10201860040000 | 060-128248 | |
| 41 | K 16A 36 40 casa 19 | 10201860041000 | 060-0128247 | |
| 42 | K 16A 36 46 CS 18 | 10201860042000 | 060-128246 | |
| 43 | K 16A 36 52 CS 17 | 10201860043000 | 060-128245 | |
| 44 | K 16 36 15 CS 12 | 10201860044000 | 060-0128240 | |
| 45 | K 16 36 21 CS 13 | 10201860045000 | 060-128241 | |
| 46 | K 16 36 27 CS 14 | 10201860046000 | 060-0128242 | |
| 47 | K 16 36 33 CS 15 | 10201860047000 | 060-128243 | |
| 48 | K 16 36 39 CS 16 | 10201860048000 | 060-0128244 | |
| 49 | K 16 36 38 casa 11 | 10201860049000 | 060-128239 | |
| 50 | K 16 36 32 CS 10 | 10201860050000 | 060-128238 | |
| 51 | K 16 36 26 CS 9 | 10201860051000 | 060-128237 | |
| 52 | K 16 36 20 CS 8 | 10201860052000 | 060-128236 | |
| 53 | K 16 36 14 CS 7 | 10201860053000 | 060-128235 | |
| 54 | C 35 15 55 | 10201860054000 | 060-123461 | |
| 55 | C 35 15 55 LC B | 10201860055000 | 060-150998 | |
| 56 | C 35 15 55 LC A | 10201860056000 | 060-150997 | |
| 57 | C 36 15 98 LC A | 10201860057000 | 060-156942 | |
| 58 | C 36 15 104 LC B | 10201860058000 | 060-156943 | |
| 71 | K 17 35 15 LC B | 10201860071000 | 060-149318 | |
| 72 | K 17 35 21 LC C | 10201860072000 | 060-149319 | |
| 901 | SD | 10201860901901 | SD | |
| 187 | 1 | K 17 34 04 | 10201870001000 | 10202200000000 |
| 2 | K 17 34 12 | 10201870002000 | 10500600000000 | |
| 63 | C 34A 18 36 | 10201870063000 | 103008000000000000 | |
| 64 | K 19A 34 29 | 10201870064000 | SD | |
| 65 | C 34 18E 75 | 10201870065000 | 10302300000000 | |
| 66 | C 34 18E 63 | 10201870066000 | SD | |
| 67 | C 34 18E 51 | 10201870067000 | SD | |
| 68 | C 34 18E 41 | 10201870068000 | SD | |
| 69 | C 34 18E 35 | 10201870069000 | 060-39503 | |
| Manzana | Predio | Dirección | Referencia catastral | Matrícula Inmobiliaria |
| 70 | C 34 18E 23 | 10201870070000 | 103027000000000000 | |
| 71 | C 34 17 241 | 10201870071000 | SD | |
| 72 | C 34 17 231 | 10201870072000 | SD | |
| 73 | C 34 17 223 | 10201870073000 | 10304000000000 | |
| 74 | C 34 17 213 | 10201870074000 | 10102900000000 | |
| 75 | C 34 17 195 | 10201870075000 | 10501300000000 | |
| 76 | C 34 17 191 | 10201870076000 | 10104000000000 | |
| 77 | C 34 17 177 | 10201870077000 | 10401200000000 | |
| 78 | C 34 17 167 | 10201870078000 | 060-8503 | |
| 79 | C 34 17 157 | 10201870079000 | 10100800000000 | |
| 80 | C 34 17 149 | 10201870080000 | 10401600000000 | |
| 81 | C 34 17 137 | 10201870081000 | 202035000000000000 | |
| 82 | C 34 17 127 | 10201870082000 | 060-15678 | |
| 83 | C 34 17 115 | 10201870083000 | 060-0014658-80 | |
| 84 | C 34 17 109 | 10201870084000 | 060-214619 | |
| 85 | C 34 17 105 | 10201870085000 | 10200400000000 | |
| 86 | C 34 17 95 | 10201870086000 | 060-51379 | |
| 87 | SD | 10201870087000 | SD | |
| 88 | C 34 17 59 | 10201870088000 | 10200400000000 | |
| 89 | C 34 17 53 | 10201870089000 | 101051000000000000 | |
| 90 | C 34 17 47 | 10201870090000 | 102053000000000000 | |
| 91 | C 34 17 41 | 10201870091000 | 101054000000000000 | |
| 92 | C 34 12 23 | 10201870092000 | 060-30059 | |
| 93 | K 17 34 56 | 10201870093000 | SD | |
| 94 | C 34 18E 05 | 10201870094000 | 10303900000000 | |
| 94 | C 34 18E 05 | 10201870094000 | 10303900000000 | |
| 379 | C 34 18E 49 | 10201870379000 | SD | |
| 380 | C 34 18E 47 | 10201870380000 | SD | |
| 381 | C 34 18E 45 | 10201870381000 | SD | |
| 188 | 1 | C 36 16 21 | 10201880001000 | SD |
| 2 | K 16 36 26 | 10201880002000 | SD | |
| 3 | K 16 36 30 | 10201880003000 | SD | |
| 5 | K 16 36 40 | 10201880005000 | SD | |
| 6 | K 16 36 46 | 10201880006000 | SD | |
| 7 | K 16 36 60 | 10201880007000 | SD | |
| 8 | K 16 36 70 | 10201880008000 | SD | |
| 9 | C 39 16 30 | 10201880009000 | SD | |
| 10 | C 39 16 38 | 10201880010000 | SD | |
| 11 | C 39 16 58 | 10201880011000 | SD | |
| 12 | K 17 37 85 | 10201880012000 | SD | |
| 13 | K 17 37 73 | 10201880013000 | SD | |
| 14 | K-17 37 67 | 10201880014000 | SD | |
| 15 | K 17 37 55 | 10201880015000 | SD | |
| 16 | K 17 37 45 | 10201880016000 | SD | |
| 17 | K 17 37 35 | 10201880017000 | SD | |
| 18 | K 17 37 25 | 10201880018000 | SD | |
| 19 | K 17 37 15 | 10201880019000 | SD | |
| 20 | K 17 37 05 | 10201880020000 | SD | |
| 21 | C 37 16 35 | 10201880021000 | SD | |
| 22 | C 37 16 25 | 10201880022000 | SD | |
| 23 | C 36 16 11 | 10201880023000 | SD | |
| 24 | K 16 36 04 | 10201880024000 | SD | |
| 25 | K 16 36 12 LC 2 y 3 | 10201880025000 | SD | |
| 26 | K 16 36 18 | 10201880026000 | SD | |
| 27 | K 17 37 27 | 10201880027000 | SD | |
| 28 | K 16 36 42 | 10201880028000 | SD | |
| 29 | K 16 36 14 | 10201880029000 | SD | |
| 901 | SD | 10201880901901 | SD | |
| 189 | 1 | C 36 15 13 | 10201890001000 | 060-268011 |
| 2 | K 15 36 16 | 10201890002000 | SD | |
| 3 | K 15 36 20 | 10201890003000 | 060-48474 | |
| 4 | K 15 36 26 | 10201890004000 | 060-52794 | |
| 5 | K 15 36 36 | 10201890005000 | 060-0006785-96 | |
| 6 | C 37 15 30 | 10201890006000 | 0103741322-71 | |
| 8 | K 16 36 49 | 10201890008000 | 060-42274 | |
| 9 | K 16 36 43 | 10201890009000 | 01035881474-40 | |
| 10 | K 16 36 33 | 10201890010000 | 101158165 | |
| 12 | K 16 36 17 | 10201890012000 | 0102263964-57 | |
| 13 | C 36 15 45 | 10201890013000 | 0102465467-54 | |
| 14 | C 36 15 37 | 10201890014000 | 101045000000000000 | |
| 15 | K 15 36 54 | 10201890015000 | 060-0062291 | |
| 16 | C 37 15 30 IN 0006 | 10201890016000 | 060-62321 | |
| 17 | K 16 36 21 | 10201890017000 | 060-0124801 | |
| 18 | K 16 36 19 | 10201890018000 | 060-157972 | |
| 19 | K 16 36 61 | 10201890019000 | 060-16462 | |
| Manzana | Predio | Dirección | Referencia catastral | Matrícula Inmobiliaria |
| 20 | K 37 15 34 | 10201890020000 | 060-118958 | |
| 21 | C 37 15 20 | 10201890021000 | 060-0157032-96 | |
| 190 | 1 | K 15 37 02 | 10201900001000 | 060-110063 |
| 2 | K 15 37 06 | 10201900002000 | 0102401945-71 | |
| 3 | K 15 37 20 | 10201900003000 | 01012427-50 | |
| 4 | K 15 37 30 | 10201900004000 | 102002000000000000 | |
| 5 | K 15 37 38 | 10201900005000 | 060-63011 | |
| 6 | K 15 37 48 | 10201900006000 | 060-31119 | |
| 7 | C 39 15 06 | 10201900007000 | 060-119991 | |
| 8 | C 39 15 20 | 10201900008000 | 85-234-9877 | |
| 9 | C 39 15 28 | 10201900009000 | 060-45076 | |
| 10 | SD | 10201900010000 | SD | |
| 11 | C 39 15 42 | 10201900011000 | 060-61627 | |
| 12 | C 39 15 46 | 10201900012000 | 060-21671 | |
| 13 | K 16 37 35 | 10201900013000 | 060-20271 | |
| 14 | K 16 37 29 | 10201900014000 | 060-35500 | |
| 15 | K 16 37 23 LC 1 | 10201900015000 | 060-108382 | |
| 16 | K 16 37 05 | 10201900016000 | 060-16660 | |
| 18 | C 37 16 34 | 10201900018000 | 060-59890 | |
| 19 | K 16 37 17 LC 2 | 10201900019000 | 060-108383 | |
| 191 | 1 | K 14 37 06 | 10201910001000 | 060-6467 |
| 2 | K 14 37 26 | 10201910002000 | 060-56885 | |
| 3 | K 14 37 30 | 10201910003000 | 060-3121 | |
| 5 | K 14 37 58 | 10201910005000 | 01033901337-73 | |
| 7 | C 39 14 38 | 10201910007000 | 10370711528 | |
| 8 | C 39 14 40 | 10201910008000 | 060-29124 | |
| 9 | C 39 14 44 | 10201910009000 | 060-78823 | |
| 10 | C 39 14 48 | 10201910010000 | 102121617 | |
| 11 | C 39 14 50 | 10201910011000 | 060-0016540 | |
| 12 | K 15 37 37 | 10201910012000 | 060-0065534 | |
| 27 | K 14 37 40 LC 1 | 10201910027000 | 060-162644 | |
| 28 | K 14 37 46 LC 2 | 10201910028000 | 060-162645 | |
| 29 | K 14 37 48 LC 3 | 10201910029000 | 060-162646 | |
| 901 | SD | 10201910901901 | SD | |
| 192 | 1 | K 14 36 04 | 10201920001000 | 105023000000000000 |
| 2 | K 14 36 22 | 10201920002000 | 060-169931 | |
| 5 | K 14 36 44 | 10201920005000 | 060-217936 | |
| 8 | K 15 36 33 | 10201920008000 | SD | |
| 9 | K 15 36 27 | 10201920009000 | 060-218930 | |
| 10 | K 15 36 17 MZ 4 LC 19 | 10201920010000 | 060-0076958-99 | |
| 11 | K 15 36 01 | 10201920011000 | 060-0048937 | |
| 12 | C 36 14 19 | 10201920012000 | 01032341191-59 | |
| 13 | K 14 36 60 | 10201920013000 | 060-0053408-83 | |
| 15 | C 15 36 39 | 10201920015000 | 060-56892 | |
| 16 | K 14 36 68 LC 1 | 10201920016000 | 060-211975 | |
| 17 | C 37 14 34 | 10201920017000 | 060-292465 | |
| 37 | C 37 14 28 LC 2 | 10201920037000 | 060-211976 | |
| 901 | SD | 10201920901901 | SD | |
| 902 | SD | 10201920902902 | SD | |
| 215 | 1 | C 36 16A 05 | 10202150001000 | SD |
| 2 | C 37 36 47 | 10202150002000 | SD | |
| 3 | K 17 36 45 | 10202150003000 | SD | |
| 4 | K 17 36 41 | 10202150004000 | SD | |
| 5 | K 17 36 29 | 10202150005000 | SD | |
| 6 | C 36 16A 29 | 10202150006000 | SD | |
| 7 | C 36 16A 15 | 10202150007000 | SD | |
| 8 | C 37 16A 04 | 10202150008000 | SD | |
| 224 | 1 | K 17 29A 24 LC 1 | 10102240001000 | 060-18718 |
| 2 | K 17A 29A 25 LC 8 | 10102240002000 | 060-18725 | |
| 3 | K 17A 29A 17 LC 7 | 10102240003000 | 060-18724 | |
| 4 | K 17A 29A 11 | 10102240004000 | 060-18723 | |
| 5 | K 17A 29A 03 | 10102240005000 | 060-18722 | |
| 6 | K 17 29A 04 LC 4 | 10102240006000 | 060-18721 | |
| 7 | K 17 29A 10 LC 3 | 10102240007000 | 060-18720 | |
| 8 | K 17 29A 18 LC 2 | 10102240008000 | 060-18719 | |
| 225 | 1 | K 17A 29A 24 LT 9 | 10102250001000 | 060-18726 |
| 2 | K 17 B 29 A 25 | 10102250002000 | 060-18733 | |
| 3 | K 17B 29A 17 LC 15 | 10102250003000 | 060-18159 | |
| 4 | K 17B 29A 11 | 10102250004000 | 060-18731 | |
| 5 | K 170 29A 03 LC 13 | 10102250005000 | 060-18730 | |
| 6 | K 17A 29A 04 LC12 | 10102250006000 | 060-18729 | |
| 7 | K 17 A 20 A 10 LC11 | 10102250007000 | 060-18728 | |
| 8 | K 17A 29A 18 LC 10 | 10102250008000 | 060-18727 | |
| Manzana | Predio | Dirección | Referencia catastral | Matrícula Inmobiliaria |
| 226 | 1 | C 29A 17 04 | 10102260001000 | 060-18734 |
| 2 | C 29A 17 10 LC 18 | 10102260002000 | 060-18735 | |
| 3 | C 29A 17 18 LC19 | 10102260003000 | 060-18736 | |
| 4 | C 29A 17 24 LC20 | 10102260004000 | 060-18737 | |
| 5 | C 29A 17 32 LC 21 | 10102260005000 | 060-18738 | |
| 6 | C 29A 17 38 LC 22 | 10102260006000 | 060-18739 | |
| 7 | C 29A 17 46 LC 23 | 10102260007000 | 060-18740 | |
| 8 | C 29A 17 52 LC 24 | 10102260008000 | 060-18741 | |
| 9 | C 29A 17 60 | 10102260009000 | 060-18742 | |
| 10 | C 29A 17 66 LC 26 | 10102260010000 | 060-18743 | |
| 11 | C 29A 17 76 LC 27 | 10102260011000 | 060-18744 | |
| 12 | C 29A 17 80 LC 28 | 10102260012000 | 060-18745 | |
| 13 | C 29A 17 88 LC 29 | 10102260013000 | 060-18746 | |
| 14 | C 29A 17 94 LC 30 | 10102260014000 | 060-18747 | |
| 15 | C 29 A 17 102 LC 31 | 10102260015000 | 060-18748 | |
| 16 | C 29A 17 108 | 10102260016000 | 060-18749 | |
| 227 | 1 | K 17D 29 24 Lo 44 | 10102270001000 | 060-20233 |
| 2 | K 17E I9 25 | 10102270002000 | 060-20234 | |
| 3 | K 17E 29 17 BQ 5L 46 | 10102270003000 | 060-20235 | |
| 4 | K 17E 29 11 B 5 LC 47 | 10102270004000 | 060-20236 | |
| 5 | K 17E 29 03 | 10102270005000 | 060-20237 | |
| 6 | K 17D 29 04 BQ 5 LC 41 | 10102270006000 | 060-20256 | |
| 7 | K 17D 29 12 BQ 5 LC 42 | 10102270007000 | 060-20231 | |
| 8 | K 17D 29 18 | 10102270008000 | 060-20232 | |
| 229 | 1 | C 29A 17 31 L 57 BQ 7 | 10102290001000 | 060-20246 |
| 2 | C 29A 17D 25 BQ 7 LC 58 | 10102290002000 | 060-20247 | |
| 3 | C 29A 17D 17 BQ 7 LC 59 | 10102290003000 | 060-20248 | |
| 4 | C 29A 17D 11 BQ 7 LC 60 | 10102290004000 | 060-20249 | |
| 5 | C 29A 17D 03 | 10102290005000 | 060-20250 | |
| 230 | 1 | C 29A 17D 39 BQ 7LC 62 | 10102300001000 | 060-20251 |
| 2 | C 29A 17C 31 BQ 8 LC 63 | 10102300002000 | 060-20252 | |
| 3 | C 29A 17C 25 BQ 8 LC 64 | 10102300003000 | 060-20253 | |
| 4 | C 29A 17C L 65 | 10102300004000 | 060-20254 | |
| 5 | C 29A 17C 11 BQ 8LC 66 | 10102300005000 | 060-20255 | |
| 6 | C 29A 17C 03 | 10102300006000 | 060-20256 | |
| 231 | 1 | C 17C 29 04 | 10102310001000 | 060-18750 |
| 2 | K 17C 29 10 | 10102310002000 | SD | |
| 3 | K 17C 29 18 | 10102310003000 | 060-18752 | |
| 4 | K 17C 29 24 | 10102310004000 | 060-18753 | |
| 5 | K 17D 29 25 LC 37 | 10102310005000 | 060-20226 | |
| 6 | K 17D 29 17 | 10102310006000 | 060-20227 | |
| 7 | K 17 D 29 11 LC 39 | 10102310007000 | 060-20228 | |
| 8 | K 17D 29 03 Bloque 4 LC 40 | 10102310008000 | 060-20229 | |
| 278 | 1 | C 25 15 16 glorieta Z.V. | 10102780001000 | SD |
| 335 | 1 | K 10B 32A 30 zona verde | 10103350001000 | SD |
| 347 | 1 | C 27 17 15 zona verde | 10103470001000 | SD |
| 367 | 1 | C 29A 17B 11 zona verde | 10103670001000 | SD |
| 744 | 1 | SD | 10207440001000 | SD |
| 902 | SD | 10207440902902 | SD | |
| 745 | 1 | SD | 10207450001000 | SD |
| 1 | SD | 10207450014000 | SD | |
| 2 | SD | 10207450002000 | SD | |
| 3 | SD | 10207450003000 | SD | |
| 4 | SD | 10207450004000 | SD | |
| 5 | SD | 10207450005000 | SD | |
| 6 | SD | 10207450006000 | SD | |
| 7 | SD | 10207450007000 | SD | |
| 8 | SD | 10207450008000 | SD | |
| 9 | SD | 10207450009000 | SD | |
| 10 | SD | 10207450010000 | SD | |
| 12 | SD | 10207450015000 | SD | |
| 746 | 1 | SD | 10207460001000 | SD |
| 2 | SD | 10207460002000 | SD | |
| 3 | SD | 10207460003000 | SD | |
| 5 | SD | 10207460005000 | SD | |
| 6 | SD | 10207460006000 | SD | |
| 7 | SD | 10207460007000 | SD | |
| 8 | SD | 10207460008000 | SD | |
| Manzana | Predio | Dirección | Referencia catastral | Matrícula Inmobiliaria |
| 9 | SD | 10207460009000 | SD | |
| 10 | SD | 10207460010000 | SD | |
| 11 | SD | 10207460011000 | SD | |
| 12 | SD | 10207460012000 | SD | |
| 901 | SD | 10207460901901 | SD | |
| 747 | 1 | SD | 10207470001000 | SD |
| 2 | SD | 10207470002000 | SD | |
| 3 | SD | 10207470003000 | SD | |
| 4 | SD | 10207470004000 | SD | |
| 5 | SD | 10207470005000 | SD | |
| 6 | SD | 10207470006000 | SD | |
| 7 | SD | 10207470007000 | SD | |
| 8 | SD | 10207470008000 | SD | |
| 9 | SD | 10207470009000 | SD | |
| 10 | SD | 10207470010000 | SD | |
| 11 | SD | 10207470011000 | SD | |
| 12 | SD | 10207470012000 | SD | |
| 748 | 1 | SD | 10207480001000 | SD |
| 2 | SD | 10207480002000 | SD | |
| 3 | SD | 10207480003000 | SD | |
| 4 | SD | 10207480004000 | SD | |
| 5 | SD | 10207480005000 | SD | |
| 6 | SD | 10207480006000 | SD | |
| 8 | SD | 10207480008000 | SD | |
| 9 | SD | 10207480009000 | SD | |
| 10 | SD | 10207480010000 | SD | |
| 11 | SD | 10207480011000 | SD | |
| 12 | SD | 10207480012000 | SD | |
| 13 | SD | 10207480013000 | SD | |
| 14 | SD | 10207480014000 | SD | |
| 15 | SD | 10207480015000 | SD | |
| 999 | SD | 10207489999000 | SD | |
| 757 | 1 | SD | 10207570001000 | SD |
| 775 | 2 | SD | 10207750002000 | SD |
| 3 | SD | 10207750003000 | SD | |
| 4 | SD | 10207750004000 | SD | |
| 5 | SD | 10207750005000 | SD | |
| 6 | SD | 10207750006000 | SD | |
| 7 | SD | 10207750007000 | SD | |
| 8 | SD | 10207750008000 | SD | |
| 10 | SD | 10207750010000 | SD | |
| 11 | SD | 10207750011000 | SD | |
| 12 | SD | 10207750012000 | SD | |
| 19 | SD | 10207750019000 | SD | |
| 26 | SD | 10207750026000 | SD | |
| 901 | SD | 10207750901901 | SD | |
| 852 | 1 | SD | 10208520001000 | SD |
| 2 | SD | 10208520002000 | SD | |
| 3 | SD | 10208520003000 | SD | |
| 4 | SD | 10208520004000 | SD | |
| 5 | SD | 10208520005000 | SD | |
| 6 | SD | 10208520006000 | SD | |
| 7 | SD | 10208520007000 | SD | |
| 8 | SD | 10208520008000 | SD | |
| 9 | SD | 10208520009000 | SD | |
| 10 | SD | 10208520010000 | SD | |
| 11 | SD | 10208520011000 | SD | |
| 12 | SD | 10208520012000 | SD | |
| 13 | SD | 10208520013000 | SD | |
| 14 | SD | 10208520014000 | SD | |
| 853 | 1 | SD | 10208530001000 | SD |
| 2 | SD | 10208530002000 | SD | |
| 3 | SD | 10208530003000 | SD | |
| 4 | SD | 10208530004000 | SD | |
| 5 | SD | 10208530005000 | SD | |
| 6 | SD | 10208530006000 | SD | |
| 7 | SD | 10208530007000 | SD | |
| 8 | SD | 10208530008000 | SD | |
| 9 | SD | 10208530009000 | SD | |
| 10 | SD | 10208530010000 | SD | |
| 11 | SD | 10208530011000 | SD | |
| 12 | SD | 10208530012000 | SD | |
| 13 | SD | 10208530013000 | SD | |
| 14 | SD | 10208530014000 | SD | |
| Manzana | Predio | Dirección | Referencia catastral | Matrícula Inmobiliaria |
| 854 | 1 | SD | 10208540001000 | SD |
| 2 | SD | 10208540002000 | SD | |
| 3 | SD | 10208540003000 | SD | |
| 4 | SD | 10208540004000 | SD | |
| 5 | SD | 10208540005000 | SD | |
| 6 | SD | 10208540006000 | SD | |
| 7 | SD | 10208540007000 | SD | |
| 8 | SD | 10208540008000 | SD | |
| 9 | SD | 10208540009000 | SD | |
| 10 | SD | 10208540010000 | SD | |
| 11 | SD | 10208540011000 | SD | |
| 12 | SD | 10208540012000 | SD | |
| 14 | SD | 10208540014000 | SD | |
| 18 | SD | 10208540018000 | SD | |
| 855 | 1 | SD | 10208550001000 | SD |
| 2 | SD | 10208550002000 | SD | |
| 4 | SD | 10208550004000 | SD | |
| 5 | SD | 10208550005000 | SD | |
| 6 | SD | 10208550006000 | SD | |
| 8 | SD | 10208550008000 | SD | |
| 9 | SD | 10208550009000 | SD | |
| 10 | SD | 10208550010000 | SD | |
| 11 | SD | 10208550011000 | SD | |
| 12 | SD | 10208550012000 | SD | |
| 13 | SD | 10208550013000 | SD | |
| 14 | SD | 10208550014000 | SD | |
| 901 | SD | 10208550901901 | SD | |
| 902 | SD | 10208550902902 | SD | |
| 856 | 1 | SD | 10208560001000 | SD |
| 2 | SD | 10208560002000 | SD | |
| 3 | SD | 10208560003000 | SD | |
| 4 | SD | 10208560004000 | SD | |
| 5 | SD | 10208560005000 | SD | |
| 6 | SD | 10208560006000 | SD | |
| 7 | SD | 10208560007000 | SD | |
| 8 | SD | 10208560008000 | SD | |
| 9 | SD | 10208560009000 | SD | |
| 10 | SD | 10208560010000 | SD | |
| 11 | SD | 10208560011000 | SD | |
| 13 | SD | 10208560013000 | SD | |
| 15 | SD | 10208560015000 | SD | |
| 901 | SD | 10208560901901 | SD | |
| 999 | SD | 10208569999000 | SD | |
| 857 | 1 | SD | 10208570001000 | SD |
| 2 | SD | 10208570002000 | SD | |
| 3 | SD | 10208570003000 | SD | |
| 4 | SD | 10208570004000 | SD | |
| 5 | SD | 10208570005000 | SD | |
| 6 | SD | 10208570006000 | SD | |
| 7 | SD | 10208570007000 | SD | |
| 8 | SD | 10208570008000 | SD | |
| 9 | SD | 10208570009000 | SD | |
| 10 | SD | 10208570010000 | SD | |
| 11 | SD | 10208570011000 | SD | |
| 12 | SD | 10208570012000 | SD | |
| 13 | SD | 10208570013000 | SD | |
| 14 | SD | 10208570014000 | SD | |
| 15 | SD | 10208570015000 | SD | |
| 16 | SD | 10208570016000 | SD | |
| 17 | SD | 10208570017000 | SD | |
| 18 | SD | 10208570018000 | SD | |
| 19 | SD | 10208570019000 | SD | |
| 999 | SD | 10208579999000 | SD | |
| 858 | 1 | SD | 10208580001000 | SD |
| 2 | SD | 10208580002000 | SD | |
| 3 | SD | 10208580003000 | SD | |
| 4 | SD | 10208580004000 | SD | |
| 5 | SD | 10208580005000 | SD | |
| 6 | SD | 10208580006000 | SD | |
| 7 | SD | 10208580007000 | SD | |
| 8 | SD | 10208580008000 | SD | |
| 9 | SD | 10208580009000 | SD | |
| 10 | SD | 10208580010000 | SD | |
| 999 | SD | 10208589999000 | SD | |
| Manzana | Predio | Dirección | Referencia catastral | Matrícula Inmobiliaria |
| 859 | 1 | SD | 10208590001000 | SD |
| 2 | SD | 10208590002000 | SD | |
| 3 | SD | 10208590003000 | SD | |
| 4 | SD | 10208590004000 | SD | |
| 5 | SD | 10208590005000 | SD | |
| 6 | SD | 10208590006000 | SD | |
| 7 | SD | 10208590007000 | SD | |
| 8 | SD | 10208590008000 | SD | |
| 9 | SD | 10208590009000 | SD | |
| 10 | SD | 10208590010000 | SD | |
| 11 | SD | 10208590011000 | SD | |
| 12 | SD | 10208590012000 | SD | |
| 999 | SD | 10208599999000 | SD | |
| 860 | 152 | SD | 10208600152000 | SD |
| 153 | SD | 10208600153000 | SD | |
| 154 | SD | 10208600154000 | SD | |
| 155 | SD | 10208600155000 | SD | |
| 156 | SD | 10208600156000 | SD | |
| 157 | SD | 10208600157000 | SD | |
| 158 | SD | 10208600158000 | SD | |
| 159 | SD | 10208600159000 | SD | |
| 160 | SD | 10208600160000 | SD | |
| 161 | SD | 10208600161000 | SD | |
| 162 | SD | 10208600162000 | SD | |
| 163 | SD | 10208600163000 | SD | |
| 164 | SD | 10208600164000 | SD | |
| 165 | SD | 10208600165000 | SD | |
| 166 | SD | 10208600166000 | SD | |
| 167 | SD | 10208600167000 | SD | |
| 168 | SD | 10208600168000 | SD | |
| 169 | SD | 10208600169000 | SD | |
| 170 | SD | 10208600170000 | SD | |
| 172 | SD | 10208600172000 | SD | |
| 173 | SD | 10208600173000 | SD | |
| 174 | SD | 10208600174000 | SD | |
| 901 | SD | 10208600901901 | SD | |
| 902 | SD | 10208600902902 | SD | |
| 861 | 1 | SD | 10208610001000 | SD |
| 2 | SD | 10208610002000 | SD | |
| 3 | SD | 10208610003000 | SD | |
| 4 | SD | 10208610004000 | SD | |
| 5 | SD | 10208610005000 | SD | |
| 6 | SD | 10208610006000 | SD | |
| 7 | SD | 10208610007000 | SD | |
| 8 | SD | 10208610008000 | SD | |
| 9 | SD | 10208610009000 | SD | |
| 10 | SD | 10208610010000 | SD | |
| 11 | SD | 10208610011000 | SD | |
| 12 | SD | 10208610012000 | SD | |
| 862 | 1 | SD | 10208620001000 | SD |
| 2 | SD | 10208620002000 | SD | |
| 3 | SD | 10208620003000 | SD | |
| 4 | SD | 10208620004000 | SD | |
| 5 | SD | 10208620005000 | SD | |
| 6 | SD | 10208620006000 | SD | |
| 7 | SD | 10208620007000 | SD | |
| 999 | SD | 10208629999000 | SD | |
| 863 | 1 | SD | 10208630001000 | SD |
| 2 | SD | 10208630002000 | SD | |
| 3 | SD | 10208630003000 | SD | |
| 4 | SD | 10208630004000 | SD | |
| 5 | SD | 10208630005000 | SD | |
| 6 | SD | 10208630006000 | SD | |
| 7 | SD | 10208630007000 | SD | |
| 8 | SD | 10208630008000 | SD | |
| 9 | SD | 10208630009000 | SD | |
| 10 | SD | 10208630010000 | SD | |
| 11 | SD | 10208630011000 | SD | |
| 12 | SD | 10208630012000 | SD | |
| 13 | SD | 10208630013000 | SD | |
| 864 | 1 | SD | 10208640001000 | SD |
| 2 | SD | 10208640002000 | SD | |
| 3 | SD | 10208640003000 | SD | |
| Manzana | Predio | Dirección | Referencia catastral | Matrícula Inmobiliaria |
| 865 | 1 | SD | 10208650001000 | SD |
| 2 | SD | 10208650002000 | SD | |
| 3 | SD | 10208650003000 | SD | |
| 4 | SD | 10208650004000 | SD | |
| 5 | SD | 10208650005000 | SD | |
| 866 | 1 | SD | 10208660001000 | SD |
| 2 | SD | 10208660002000 | SD | |
| 3 | SD | 10208660003000 | SD | |
| 4 | SD | 10208660004000 | SD | |
| 5 | SD | 10208660005000 | SD | |
| 6 | SD | 10208660006000 | SD | |
| 7 | SD | 10208660007000 | SD | |
| 9 | SD | 10208660009000 | SD | |
| 10 | SD | 10208660010000 | SD | |
| 11 | SD | 10208660011000 | SD | |
| 12 | SD | 10208660012000 | SD | |
| 13 | SD | 10208660013000 | SD | |
| 14 | SD | 10208660014000 | SD | |
| 15 | SD | 10208660015000 | SD | |
| 16 | SD | 10208660016000 | SD | |
| 867 | 1 | SD | 10208670001000 | SD |
| 948 | 1 | SD | 10209480001000 | SD |
| 984 | 1 | SD | 10209840001000 | 060-255422 |
| 1 | SD | 10209840001000 | 060-255422 | |
| 1 | SD | 10209840001000 | 060-255422 | |
| 2 | SD | 10209840002000 | SD | |
Tabla 15. Identificación de predios del subsector IIIc
Predios del subsector normativo III-d
| Manzana | Predio | Dirección | Referencia catastral | Matrícula Inmobiliaria |
| 65 | 1 | K 2 24 59 PQ | 10100650001000 | 060-50149 |
| 2 | K 2 24 101 zona vía Transcaribe | 10100650002000 | 060-218858 | |
| 260 | 1 | K 2 C 35 | 10102600001000 | SD |
Tabla 16. Identificación de predios del subsector IIId
Predios del subsector normativo IIIe
| Manzana | Predio | Dirección | Referencia catastral | Matrícula Inmobiliaria |
| 255 | 1 | K 2 C 35 | 10102550001000 | SD |
Tabla 17. Identificación de predios del subsector IIIe
Predios del subsector normativo IIIf
| Manzana | Predio | Dirección | Referencia catastral | Matrícula Inmobiliaria |
| 182 | 1 | K 14 35A 69 | 10201820001000 | SD |
| 2 | K 14 35A 61 | 10201820002000 | SD | |
| 3 | K 14 35A 49 | 10201820003000 | SD | |
| 4 | K 14 35A 35 | 10201820004000 | SD | |
| 5 | K 14 35 23 | 10201820005000 | 10202450078054 | |
| 6 | K 14 5 11 | 10201820006000 | SD | |
| 6 | K 14 5 11 | 10201820006000 | SD | |
| 7 | K 14 35 115 | 10201820007000 | SD | |
| 7 | K 14 35 115 | 10201820007000 | SD | |
| 194 | 1 | K 14 52 36 | 10201940001000 | 201006800053700000 |
| 201 | 2 | SD | 10202010002000 | SD |
| 3 | SD | 10202010003000 | SD | |
| 4 | SD | 10202010004000 | SD | |
| 5 | SD | 10202010005000 | SD | |
| 6 | SD | 10202010006000 | SD | |
| 7 | SD | 10202010007000 | SD | |
| 8 | SD | 10202010008000 | SD | |
| 9 | SD | 10202010009000 | SD | |
| 10 | SD | 10202010010000 | SD | |
| 11 | SD | 10202010011000 | SD | |
| 12 | SD | 10202010012000 | SD | |
| 13 | C 37 13 84 | 10202010013000 | 060-15179 | |
| 14 | SD | 10202010014000 | SD | |
| 15 | SD | 10202010015000 | SD | |
| 16 | SD | 10202010016000 | SD | |
| 17 | SD | 10202010017000 | SD | |
| 18 | SD | 10202010018000 | SD | |
| 19 | K 13B 36 29 | 10202010019000 | 010213701310-39 | |
| 20 | SD | 10202010020000 | SD | |
| 21 | SD | 10202010021000 | SD | |
| Manzana | Predio | Dirección | Referencia catastral | Matrícula Inmobiliaria |
| 22 | SD | 10202010022000 | SD | |
| 23 | SD | 10202010023000 | SD | |
| 23 | SD | 10202010023000 | SD | |
| 24 | K 13B 35 23 | 10202010024000 | SD | |
| 24 | K 13B 35 23 | 10202010024000 | SD | |
| 25 | C 36 13 122 | 10202010025000 | SD | |
| 26 | SD | 10202010026000 | SD | |
| 26 | SD | 10202010026000 | SD | |
| 27 | SD | 10202010027000 | SD | |
| 27 | SD | 10202010027000 | SD | |
| 28 | SD | 10202010028000 | SD | |
| 30 | SD | 10202010030000 | SD | |
| 31 | SD | 10202010031000 | SD | |
| 32 | SD | 10202010032000 | SD | |
| 33 | SD | 10202010033000 | SD | |
| 34 | SD | 10202010034000 | SD | |
| 35 | SD | 10202010035000 | SD | |
| 202 | 1 | C 38 13 58 | 10202020001000 | 060-135448 |
| 2 | C 38 13 20 | 10202020002000 | 010200690509-69 | |
| 3 | C 38 13 112 | 10202020003000 | SD | |
| 4 | SD | 10202020004000 | SD | |
| 5 | C 38 13 126 | 10202020005000 | 010205501225-70 | |
| 6 | SD | 10202020006000 | SD | |
| 7 | C 38 13 146 | 10202020007000 | SD | |
| 8 | SD | 10202020008000 | SD | |
| 9 | SD | 10202020009000 | SD | |
| 10 | C 37 13 111 | 10202020010000 | 010802012765-48 | |
| 11 | C 37 13 101 | 10202020011000 | 010103340187-38 | |
| 12 | SD | 10202020012000 | SD | |
| 203 | 1 | C 38 13 15 | 10202030001000 | 180103640678 |
| 2 | C 39 13 16 | 10202030002000 | SD | |
| 3 | SD | 10202030003000 | SD | |
| 4 | SD | 10202030004000 | SD | |
| 5 | SD | 10202030005000 | SD | |
| 6 | SD | 10202030006000 | SD | |
| 7 | SD | 10202030007000 | SD | |
| 8 | SD | 10202030008000 | SD | |
| 9 | C 39 13 104 | 10202030009000 | 10204670095262 | |
| 10 | SD | 10202030010000 | SD | |
| 12 | C 38 13 117 | 10202030012000 | 180103640678 | |
| 13 | C 38 13 113 | 10202030013000 | SD | |
| 14 | SD | 10202030014000 | SD | |
| 15 | C 38 13 99 | 10202030015000 | 01010364678 | |
| 16 | SD | 10202030016000 | SD | |
| 17 | SD | 10202030017000 | SD | |
| 18 | C 38 13 71 | 10202030018000 | 180103640678 | |
| 19 | SD | 10202030019000 | SD | |
| 20 | SD | 10202030020000 | SD | |
| 21 | SD | 10202030021000 | SD | |
| 22 | SD | 10202030022000 | SD | |
| 23 | SD | 10202030023000 | SD | |
| 24 | SD | 10202030024000 | SD | |
| 25 | C 39 13 70 | 10202030025000 | 010104880333-76 | |
| 204 | 1 | C 39 13 31 | 10202040001000 | SD |
| 2 | SD | 10202040002000 | SD | |
| 3 | C 40 13 30 | 10202040003000 | 060-00100696 | |
| 4 | C 40 13 38 | 10202040004000 | 060-14209 | |
| 5 | SD | 10202040005000 | SD | |
| 6 | SD | 10202040006000 | SD | |
| 7 | SD | 10202040007000 | SD | |
| 8 | SD | 10202040008000 | SD | |
| 9 | SD | 10202040009000 | SD | |
| 10 | SD | 10202040010000 | SD | |
| 11 | C 40 13 108 | 10202040011000 | 010802082775 | |
| 12 | SD | 10202040012000 | SD | |
| 13 | C 40 13 120 | 10202040013000 | 060-0024660 | |
| 14 | SD | 10202040014000 | SD | |
| 15 | C 40 13 136 | 10202040015000 | 010401601272-74 | |
| 16 | C 40 13 148 | 10202040016000 | 060-0080668 | |
| 17 | SD | 10202040017000 | SD | |
| 18 | C 40 13 168 | 10202040018000 | 060-0036287 | |
| 20 | SD | 10202040020000 | SD | |
| 21 | C 39 13 147 | 10202040021000 | 010301431034-71 | |
| 22 | SD | 10202040022000 | SD | |
| 23 | C 39 13 127 | 10202040023000 | SD | |
| 24 | SD | 10202040024000 | SD | |
| Manzana | Predio | Dirección | Referencia catastral | Matrícula Inmobiliaria |
| 25 | SD | 10202040025000 | SD | |
| 26 | C 39 13 101 | 10202040026000 | 10200140047356 | |
| 27 | SD | 10202040027000 | SD | |
| 28 | C 39 13 77 | 10202040028000 | 020102750312-71 | |
| 29 | SD | 10202040029000 | SD | |
| 30 | C 39 13 57 | 10202040030000 | 060-14961 | |
| 31 | SD | 10202040031000 | SD | |
| 208 | 1 | K 14 37 11 LC A | 10202080001000 | 060-114419 |
| 2 | K 13 37 56 | 10202080002000 | SD | |
| 3 | K 14 37 75 | 10202080003000 | 060-17907 | |
| 4 | K 14 37 61 | 10202080004000 | 060-14595 | |
| 5 | K 14 37 53 | 10202080005000 | 060-13747 | |
| 6 | K 14 37 41 | 10202080006000 | 060-9268 | |
| 7 | K 14 37 23 | 10202080007000 | 060-8479 | |
| 8 | K 14 37 35 | 10202080008000 | 060-9269 | |
| 9 | K 14 37 05 LC B | 10202080009000 | 060-114420 | |
| 678 | 1 | K 14 35A 69 | 10201820001000 | SD |
| 1 | K 14 52 36 | 10201940001000 | 201006800053700000 | |
| 1 | SD | 10202070001000 | SD | |
| 1 | SD | 10206780001000 | SD | |
| 1 | K 14 35A 69 | 10201820001000 | SD | |
| 1 | K 14 52 36 | 10201940001000 | 201006800053700000 | |
| 1 | K 14 37 11 LC A | 10202080001000 | 060-114419 | |
| 2 | K 14 35A 61 | 10201820002000 | SD | |
| 2 | SD | 10201940002000 | SD | |
| 2 | K 14 35A 61 | 10201820002000 | SD | |
| 2 | K 13 37 56 | 10202080002000 | SD | |
| 3 | K 14 35A 49 | 10201820003000 | SD | |
| 3 | K 14 37 75 | 10202080003000 | 060-17907 | |
| 3 | K 14 35A 49 | 10201820003000 | SD | |
| 3 | K 14 37 75 | 10202080003000 | 060-17907 | |
| 4 | K 14 35A 35 | 10201820004000 | SD | |
| 4 | K 14 35A 35 | 10201820004000 | SD | |
| 4 | K 14 37 61 | 10202080004000 | 060-14595 | |
| 5 | K 14 35 23 | 10201820005000 | 10202450078054 | |
| 5 | K 14 35 23 | 10201820005000 | 10202450078054 | |
| 5 | K 14 37 53 | 10202080005000 | 060-13747 | |
| 6 | K 14 5 11 | 10201820006000 | SD | |
| 6 | K 14 5 11 | 10201820006000 | SD | |
| 6 | K 14 37 41 | 10202080006000 | 060-9268 | |
| 7 | C 38 13 146 | 10202020007000 | SD | |
| 7 | K 14 35 115 | 10201820007000 | SD | |
| 7 | K 14 37 23 | 10202080007000 | 060-8479 | |
| 7 | K 14 35 115 | 10201820007000 | SD | |
| 8 | SD | 10202020008000 | SD | |
| 8 | K 14 37 35 | 10202080008000 | 060-9269 | |
| 9 | K 14 37 05 LC B | 10202080009000 | 060-114420 | |
| 9 | K 14 37 05 LC B | 10202080009000 | 060-114420 | |
| 11 | SD | 10202030011000 | SD | |
| 11 | SD | 10206780011000 | 060-209449 | |
| 18 | SD | 10202010018000 | SD | |
| 19 | C 40 39 27 | 10202040019000 | SD | |
| 20 | SD | 10202040020000 | SD | |
| 23 | SD | 10202010023000 | SD | |
| 24 | K 13B 35 23 | 10202010024000 | SD | |
| 26 | SD | 10202010026000 | SD | |
| 27 | SD | 10202010027000 | SD | |
| 27 | SD | 10202010027000 | SD | |
| 32 | SD | 10202040032000 | SD | |
| 33 | SD | 10202040033000 | SD | |
| 34 | SD | 10202040034000 | SD | |
Tabla 18. Identificación de predios del subsector IIIf
Predios del subsector normativo IIIg
| Manzana | Predio | Dirección | Referencia catastral | Matrícula inmobiliaria |
| 1 | 1 | K 14 32 05 | 10201530001000 | 060-305798 |
| 181 | 1 | K 13 32A 04 | 10201810001000 | SD |
| 2 | K 13 32A 68 | 10201810002000 | 060-20328 | |
| 3 | K 14 32A 89 | 10201810003000 | 103010901136610555 | |
| 4 | K 14 32A 79 | 10201810004000 | 10104350015141 | |
| 5 | K 14 32A 67 | 10201810005000 | SD | |
| Manzana | Predio | Dirección | Referencia catastral | Matrícula inmobiliaria |
| 6 | K 14 32A 59 | 10201810006000 | SD | |
| 7 | K 14 32A 51 | 10201810007000 | SD | |
| 8 | K 14 32A 43 | 10201810008000 | SD | |
| 9 | K 14 32A 33 | 10201810009000 | SD | |
| 10 | K 14 32A 25 | 10201810010000 | SD | |
| 11 | K 14 32A 15 | 10201810011000 | SD | |
| 12 | K 14 32 107 | 10201810012000 | SD | |
| 182 | 7 | K 14 35 115 | 10201820007000 | SD |
| 7 | K 14 35 115 | 10201820007000 | SD | |
| 8 | K 14 35 105 | 10201820008000 | SD | |
| 9 | K 14 35 97 | 10201820009000 | 060-160299 | |
| 10 | K 14 35 85 | 10201820010000 | SD | |
| 11 | K 14 35 75 | 10201820011000 | SD | |
| 12 | K 14 35 65 | 10201820012000 | SD | |
| 13 | K 14 35 51 | 10201820013000 | SD | |
| 14 | K 14 35 39 | 10201820014000 | SD | |
| 15 | K 14 35 27 | 10201820015000 | SD | |
| 16 | K 14 35 15 | 10201820016000 | SD | |
| 17 | K 14 35 05 | 10201820017000 | SD | |
| 678 | 7 | K 14 35 115 | 10201820007000 | SD |
| 973 | 1 | SD | 10209730001000 | SD |
| 974 | 1 | SD | 10209740001000 | SD |
Tabla 19. Identificación de predios del subsector IIIg
Predios del subsector normativo IIIi
| Manzana | Predio | Dirección | Referencia catastral | Matrícula Inmobiliaria |
| 116 | 2 | K 10B 32C 24 | 10101160002000 | 060-24900 |
| 901 | SD | 10101160901901 | SD | |
| 902 | SD | 10101160902902 | SD | |
| 903 | SD | 10101160903903 | SD | |
| 117 | 6 | C 32C 10B 44 LC 4 | 10101170006000 | 060-74293 |
| 9 | K 11 32A 09 LC 1 | 10101170009000 | 060-3821 | |
| 28 | K 11 32A 65 LC 3 | 10101170028000 | 060-74292 | |
| 29 | K 11 32A 59 LC 2 | 10101170029000 | 060-74291 | |
| 30 | K 11 32A 53 LC 1 | 10101170030000 | 060-74290 | |
| 93 | K 11 32A 11 LC 2 | 10101170093000 | SD | |
| 94 | K 11 32A 09 LC 3 | 10101170094000 | SD | |
| 95 | K 11 32A 05 LC 04 | 10101170095000 | SD | |
| 96 | K 11 32A 03 LC 5 | 10101170096000 | SD | |
| 97 | C 32A 10A 33 LC 6 | 10101170097000 | SD | |
| 98 | Centro comercial M y P LC 7 | 10101170098000 | SD | |
| 99 | C 32A 10A 25 LC 8 | 10101170099000 | SD | |
| 100 | C 32A 10A 21 LC 9 | 10101170100000 | SD | |
| 901 | SD | 10101170901901 | SD | |
| 902 | SD | 10101170902902 | SD | |
| 903 | SD | 10101170903903 | SD | |
| 118 | 1 | C 32 10 143 | 10101180001000 | 104023101239740000 |
| 10 | C 32 10 09 | 10101180010000 | 060-0052688 | |
| 901 | SD | 10101180901901 | SD | |
| 902 | SD | 10101180902902 | SD | |
| 903 | SD | 10101180903903 | SD | |
| 904 | SD | 10101180904904 | SD | |
| 119 | 2 | K 10C 32C 09 | 10101190002000 | 060-15088 |
| 3 | C 33 9 28 | 10101190003000 | 102018300193 | |
| 20 | C 35 9 26 | 10101190020000 | SD | |
| 901 | SD | 10101190901901 | SD | |
| 120 | 5 | C 32C 8A 80 | 10101200005000 | 060-24236 |
| 11 | C 32B 8A 23 | 10101200011000 | 060-14234 | |
| 901 | SD | 10101200901901 | SD | |
| 902 | SD | 10101200902902 | SD | |
| 903 | SD | 10101200903903 | SD | |
| 121 | 1 | K 9 32 12 | 10101210001000 | 060-80630 |
| 2 | K 9 32 38 | 10101210002000 | 10104390044773 | |
| 901 | SD | 10101210901901 | SD | |
| 122 | 1 | K 8A 32 38 | 10101220001000 | 060-24496 |
| 2 | K 8A 32 88 | 10101220002000 | 060-117679 | |
| 3 | C 32 8A 30 | 10101220003000 | 060-62386 | |
| 5 | C 32 84 49 | 10101220005000 | 060-57475 | |
| 6 | C 32 8A 29 | 10101220006000 | 060-74054 | |
| 901 | SD | 10101220901901 | SD | |
| 123 | 71 | C 35 8 24 | 10101230071000 | SD |
| 901 | SD | 10101230901901 | SD | |
| Manzana | Predio | Dirección | Referencia catastral | Matrícula Inmobiliaria |
| 124 | 901 | SD | 10101240901901 | SD |
| 902 | SD | 10101240902902 | SD | |
| 903 | SD | 10101240903903 | SD | |
| 904 | SD | 10101240904904 | SD | |
| 905 | SD | 10101240905905 | SD | |
| 906 | SD | 10101240906906 | SD | |
| 907 | SD | 10101240907907 | SD | |
| 125 | 134 | C 35 7 20 | 10101250134000 | SD |
| 901 | SD | 10101250901901 | SD | |
| 902 | SD | 10101250902902 | SD | |
| 214 | 1 | K 10 32A 20 | 10102140001000 | SD |
| 3 | K 10 32A70 | 10102140003000 | 060-7358 | |
| 4 | K 10 32C 16 | 10102140004000 | 060-38546 | |
| 6 | C 33 10 30 | 10102140006000 | 060-2785 | |
| 7 | K 10A 32A 05 | 10102140007000 | 102047401329650000 | |
| 9 | K 10A 32A 51 | 10102140009000 | 060-9333 | |
| 10 | K 10A 32A 19 | 10102140010000 | 060-71293 | |
| 122 | C 35 10 18 | 10102140122000 | SD | |
| 901 | SD | 10102140901901 | SD | |
| 902 | SD | 10102140902902 | SD | |
| 903 | SD | 10102140903903 | SD | |
| 215 | 1 | C 32C 10A 09 | 10102150001000 | SD |
| 2 | K 10A 32C 24 | 10102150002000 | 060-20218 | |
| 6 | K 10B 32C 15 LC 8 | 10102150006000 | 060-49338 | |
| 7 | K 10B 32C 11 | 10102150007000 | 060-49339 | |
| 8 | K 10B 32C 07 LC 6 | 10102150008000 | 060-49337 | |
| 9 | C 32C 10A 33 LC 5 | 10102150009000 | 060-37729 | |
| 10 | C 32C 10A 29 LC 4 | 10102150010000 | 060-37729 | |
| 11 | C 32C 10A 25 LC 3 | 10102150011000 | 060-37729 | |
| 12 | C 32C 10A 21 LC 2 | 10102150012000 | 060-37729 | |
| 13 | C 32C 10A 17 LC 1 | 10102150013000 | 060-37729 | |
| 901 | SD | 10102150901901 | SD | |
| 902 | SD | 10102150902902 | SD | |
| 904 | SD | 10102150904904 | SD | |
| 216 | 1 | K 10 32A 31 | 10102160001000 | SD |
| 288 | 1 | C 35 8 40 | 10102880001000 | SD |
| 300 | 1 | C 35 8A 24 | 10103000001000 | SD |
| 304 | 1 | K 11 C 32 | 10103040001000 | SD |
| 307 | 1 | C 35 11 15 | 10103070001000 | SD |
| 323 | 1 | K 10B 32A 24 | 10103230001000 | SD |
| 337 | 1 | K 10B 34 25 PZ Telecom | 10103370001000 | SD |
Tabla 20. Identificación de predios del subsector IIIi
Predios del subsector normativo IIIj
| Manzana | Predio | Dirección | Referencia catastral | Matrícula Inmobiliaria |
| 622 | 1 | SD | 10206220001000 | 060-107760 |
| 622 | 2 | SD | 10206220002000 | 060-0071692 |
| 622 | 3 | SD | 10206220037000 | SD |
| 622 | 3 | SD | 10206220003000 | 060-84065 |
| 622 | 4 | SD | 10206220004000 | 060-117357 |
| 622 | 5 | SD | 10206220005000 | 060-38489 |
| 622 | 6 | SD | 10206220006000 | 103007401065708806 |
| 622 | 7 | SD | 10206220007000 | 10200010050068 |
| 622 | 8 | SD | 10206220008000 | 060-71914 |
| 622 | 9 | SD | 10206220009000 | 060-0004843 |
| 622 | 10 | SD | 10206220010000 | 102005901086760000 |
| 622 | 11 | SD | 10206220011000 | 102034700640740000 |
| 622 | 13 | SD | 10206220013000 | 10202090114660 |
| 622 | 14 | SD | 10206220014000 | 060-122367 |
| 622 | 16 | SD | 10206220016000 | 060-39268 |
| 622 | 17 | SD | 10206220017000 | 10103380044268 |
| 622 | 18 | SD | 10206220018000 | 060-63120 |
| 622 | 19 | SD | 10206220019000 | 102038901256661334 |
| 622 | 20 | SD | 10206220020000 | 10302150135962 |
| 622 | 21 | SD | 10206220021000 | 102019200662710000 |
| 622 | 22 | SD | 10206220022000 | 060-56704 |
| 622 | 24 | SD | 10206220024000 | 060-39442 |
| 622 | 25 | SD | 10206220025000 | 060-24536 |
| 622 | 26 | SD | 10206220026000 | 101059400376621755 |
| 622 | 27 | SD | 10206220027000 | 060-14328 |
| 622 | 28 | SD | 10206220028000 | 060-26931 |
| 622 | 29 | SD | 10206220029000 | 101012100085662303 |
| 622 | 30 | SD | 10206220030000 | 060-81209 |
| 622 | 31 | SD | 10206220031000 | 060-164906 |
| 622 | 32 | SD | 10206220032000 | 060-19402 |
| Manzana | Predio | Dirección | Referencia catastral | Matrícula Inmobiliaria |
| 622 | 33 | SD | 10206220033000 | 060-0072115 |
| 622 | 801 | SD | 10206220801801 | SD |
| 929 | 1 | SD | 10209290001000 | SD |
Tabla 21. Identificación de predios del subsector IIIj
Predios del subsector normativo IIIk
| Manzana | Predio | Dirección | Referencia catastral | Matrícula Inmobiliaria |
| 618 | 1 | SD | 10206180001000 | 060-0016214-83 |
| 2 | SD | 10206180002000 | 10101920023915 | |
| 3 | SD | 10206180003000 | 060-38980 | |
| 5 | SD | 10206180005000 | 060-0053086 | |
| 6 | SD | 10206180909909 | SD | |
| 222 | SD | 10206180222000 | 060-120398 | |
| 223 | SD | 10206180223000 | 060-120399 | |
| 224 | SD | 10206180224000 | 060-120400 | |
| 225 | SD | 10206180225000 | 060-120401 | |
| 226 | SD | 10206180226000 | 060-120402 | |
| 227 | SD | 10206180227000 | 060-120403 | |
| 907 | SD | 10206180907907 | SD | |
| 730 | 1 | SD | 10207300001000 | SD |
Tabla 22. Identificación de predios del subsector IIIj
| Subsector | Nombre | Manzanas |
| IV | Loma de Lefranc | 187 |
Tabla 23. Identificación de subsectores del sector normativo IV
Predios del sector normativo IV
| Manzana | Predio | Dirección | Referencia catastral | Matrícula Inmobiliaria |
| 187 | 4 | K 17 34 392 | 10201870004000 | 060-220301 |
Tabla 24. Identificación de predios del subsector IV
PARÁGRAFO. El estándar de abreviaturas para la identificación de la dirección de los predios se toma de las bases catastrales de Cartagena suministradas por el Instituto Geográfico Agustín Codazzi, IGAC, en las cuales se especifican los siguientes valores:
C: Calle
K: Carrera
SD: Sin dato
LT: Lote
LC: Local
AP: Apartamento
BQ: Bloque
IN: Interior
CS: Casa
MZ: Manzana
GA: Garaje
ARTÍCULO 15. TRATAMIENTOS URBANÍSTICOS Y EDIFICABILIDAD PERMITIDA EN LA ZONA DE INFLUENCIA. Para efectos de este instrumento, se entiende por edificabilidad la combinación de altura e índice máximo de ocupación, teniendo en cuenta las disposiciones para cada sector y subsector, los cuales están dirigidos a mantener el entorno geográfico y la relación visual. Los siguientes son los tratamientos urbanísticos y las disposiciones normativas de edificabilidad para la totalidad de los sectores y subsectores de la zona de influencia:




Tabla 25. Normativa urbanística de la zona de influencia
Nota: En el marco del presente PEMP este aspecto puntual no es objeto de reglamentación. Corresponderá a la autoridad distrital de Cartagena de Indias, a través de la formulación del PEMP del Centro Histórico, hacer las definiciones normativas que se consideren pertinentes en este sentido. No obstante, considerando las competencias definidas en las Leyes 397 de 1997 y 1185 de 2008 para la protección y manejo de los BIC y sus zonas de influencia; cualquier determinación relativa a la definición, modificación, adición o aclaración de las normas de uso y edificabilidad de estos predios, deberá contar con el concepto favorable del Consejo Nacional de Patrimonio Cultural y la aprobación del Ministerio de Cultura.
Adicionalmente, con el fin de mitigar posibles impactos negativos en los BIC, y mientras el ente territorial realiza estas definiciones en el PEMP del Centro Histórico, las intervenciones que se pretendan realizar deberán corresponder a las condiciones actuales de desarrollo en estas áreas Es decir que, estas zonas mantendrán condiciones homólogas a las vigentes hasta que no se justifique técnicamente una nueva propuesta normativa.
ARTÍCULO 16. CONDICIONES NORMATIVAS ESPECIALES Y COMPLEMENTARIAS PARA LA ZONA DE INFLUENCIA. Las siguientes son disposiciones de obligatorio cumplimiento adicionales para la zona de influencia del Cordón Amurallado y el castillo de San Felipe de Barajas, las cuales podrán ser modificadas a través de la formulación del PEMP del Centro Histórico de Cartagena de Indias, para lo cual deberá contar con el concepto favorable del Consejo Nacional de Patrimonio Cultural y la aprobación del Ministerio de Cultura:
Subsector IIa Espinal (antiguo barrio): Considerando los valores culturales identificados en el presente estudio para este sector, las intervenciones que se pretendan realizar están condicionadas a la elaboración de un inventario de los bienes muebles e inmuebles de interés cultural.
Dicho proyecto será adelantado por parte del Distrito, de acuerdo a la metodología establecida por el Ministerio de Cultura y deberá contar con la conceptualización favorable de esta última dependencia.
Como resultado de este proceso de inventario se podrá plantear la modificación de las condiciones normativas de uso y edificabilidad de estos predios; en dicho caso, deberán ser incorporadas en la propuesta del PEMP del Centro Histórico.
En este sentido, se considera necesario restringir el uso permitido en este sector residencial exclusivo y al residencial con usos productivos de comercio y servicios complementarios a la vivienda, estos últimos únicamente en primer piso.
Con respecto a la normativa complementaria de edificabilidad, se prohibe en este sector la construcción de sótanos, semisótanos, mezzanines y altillos.
Subsector IIId Parque de la Marina: Se deben consolidar las áreas verdes existentes. Se permite la construcción de sótanos.
Subsector IIIh Suelo de propiedad del Distrito: Se permite la construcción de sótanos.
Subsector IIIi La Matuna: Considerando los valores culturales identificados en el presente estudio para este sector, las intervenciones que se pretendan realizar están condicionadas a la elaboración de un inventario de los bienes muebles e inmuebles de interés cultural.
Dicho proyecto será adelantado por parte del Distrito, de acuerdo a la metodología establecida por el Ministerio de Cultura y deberá contar con la conceptualización favorable de esta última dependencia.
Como resultado de este proceso de inventario se podrá plantear la modificación del las condiciones normativas de uso y edificabilidad de estos predios; en dicho caso, deberán ser incorporadas en la propuesta del PEMP del Centro Histórico.
Subsector IIIj y IIIk Cabrero: No se permite la construcción de semi - sótanos, mezzanines o altillos.
Subsector V Bahía de las Ánimas, laguna de San Lázaro, laguna de Chambacú y laguna El Cabrero: En el marco del presente PEMP este aspecto puntual no es objeto de reglamentación. Corresponderá a la autoridad distrital de Cartagena de Indias, a través de la formulación del PEMP del Centro Histórico, hacer las definiciones normativas que se consideren pertinentes en este sentido. No obstante, considerando las competencias definidas en las Leyes 397 de 1997 y 1185 de 2008 para la protección y manejo de los BIC y sus zonas de influencia; cualquier determinación relativa a la definición, modificación, adición o aclaración de las normas de uso y edificabilidad de estos predios, deberá contar con el concepto favorable del Consejo Nacional de Patrimonio Cultural y la aprobación del Ministerio de Cultura.
ARTÍCULO 17. PROPUESTA URBANA. Con el objetivo de renovar la cualificación de las relaciones urbanas existentes entre el área afectada y su zona de influencia, y de articular espacialmente el Cordón Amurallado de la ciudad de Cartagena y el castillo de San Felipe de Barajas, se plantea el desarrollo de los siguientes proyectos y directrices, enfocados en la cualificación y recuperación del correspondiente espacio público:
i) Implementación de senderos peatonales en el entorno del castillo de San Felipe de Barajas, construcción de ciclorrutas y adecuación de zonas verdes para el uso deportivo.
ii) Construcción y montaje del sistema de iluminación perimetral en el entorno del castillo de San Felipe.
iii) Adecuación de espacios para mejorar el acceso al castillo San Felipe de Barajas desde el patio de los ingenieros militares.
iv) Proyecto para la recuperación y revitalización del sector comprendido entre los baluartes Santa Teresa y Santa Bárbara hasta el castillo de San Felipe de Barajas mediante la intervención urbanística y arquitectónica, en conmemoración a la antigua puerta de tierra de la ciudad y el revellín de la Media Luna.
v) Articular con el Distrito espacios para la muestra de productos hechos por artesanos locales.
vi) Intervención urbana y paisajística de los espacios usados como escenarios deportivos en las zonas verdes, ubicados en la tenaza y en la zona comprendida entre el baluarte San Francisco Javier y Santiago Apóstol.
vii) Instalación de puntos de hidratación en algunos sitios estratégicos en el Cordón Amurallado.
viii) Reapertura de la puerta Santa Catalina como punto de acceso y conexión para la integración y revitalización de los sectores San Diego, Las Bóvedas y El Cabrero.
ix) Proyecto de mejoramiento y optimización del sistema de iluminación general del Cordón Amurallado de Cartagena y el alumbrado público en su área circundante.
x) En articulación con la autoridad distrital, se deberá desarrollar una propuesta de mejoramiento del espacio público en el Parque de la Marina, dirigido a fortalecer la oferta de áreas verdes y la cualificación espacial de las áreas complementarias de comercio y servicios.
xi) Implementar un plan de mantenimiento anual que propenda por la poda controlada o de formación en el mangle que se desarrolla en el Cordón Amurallado, sector Getsemaní.
xii) Todos los corredores peatonales que se recuperen, regularicen y diseñen deberán cumplir con lo dispuesto en la normativa vigente y en los manuales oficiales publicados sobre accesibilidad al medio físico para personas con discapacidad.
BIENES MUEBLES.
ARTÍCULO 18. IDENTIFICACIÓN DEL CONJUNTO DE MUEBLES. La colección de bienes muebles vinculados al Cordón Amurallado de Cartagena y al Castillo San Felipe de Barajas está compuesta por 410 bienes, entre los cuales figuran cañones con cureña y sin cureña, enterrados verticalmente, réplicas de cañones realizadas con cemento, balas, monedas, botones, espadas y material cerámico y de vidrio. Para cada uno de estos elementos se determinan acciones de corto y mediano plazo, según su representatividad y priorización de acciones para su recuperación y puesta en valor.
Los elementos vinculados a la colección de bienes muebles se clasifican de la siguiente manera:
| Categoría | N.° de bienes |
| Militar | 265 |
| Utilitario | 144 |
| Conmemorativo | 1 |
ARTÍCULO 19. INTERVENCIONES PERMITIDAS PARA EL CONJUNTO DE MUEBLES. Para el patrimonio mueble se aplicará el Decreto Único Reglamentario del Sector Cultural 1080 de 2015, que define los tipos de acciones e intervenciones permitidas en los siguientes términos:
Conservación preventiva. Son las estrategias y medidas de orden técnico y administrativo enfocadas en evitar o minimizar el deterioro de los bienes o colecciones, actuando sobre las condiciones y características del espacio y el ambiente en que se encuentran, sin intervenir de manera directa la materialidad del objeto.
Conservación y restauración. Acciones investigativas y prácticas que se ejercen de modo directo sobre los bienes, y que buscan garantizar su preservación mediante la estabilización de su materialidad y la recuperación de los valores que los caracterizan como patrimonio cultural. Se realizan a partir de la formulación de un proyecto de restauración.
Acciones de emergencia. Se trata de acciones urgentes en bienes cuya integridad se encuentra en peligro o riesgo inminente, como resultado de los daños por agentes naturales o la acción humana.
ARTÍCULO 20. PRINCIPIOS GENERALES PARA LA INTERVENCIÓN. Toda intervención debe tener como objetivo mantener en buen estado de conservación el bien mueble objeto de la misma por medio de acciones periódicas o acciones puntuales que buscan dar solución a un problema de carácter estructural o estético, para lo cual deben observarse los siguientes principios generales de intervención:
i) Conservar los valores culturales del bien.
ii) Procurar que las intervenciones sean mínimas, entendidas estas como las estrictamente necesarias para la conservación del bien, con el fin de garantizar su estabilidad y sanearlo de las fuentes de deterioro.
iii) Tomar las medidas necesarias que las técnicas modernas permitan para garantizar la conservación y estabilidad del bien.
iv) Garantizar que las intervenciones sean reversibles, por si en el futuro se considera necesario deshacerlas.
v) Respetar la evolución histórica del bien y abstenerse de suprimir agregados sin que medie una valoración crítica de los mismos.
vi) Reemplazar o sustituir elementos solamente cuando esto sea indispensable para preservar la estructura. Los nuevos elementos deberán ser datados y distinguirse de los originales.
vii) Documentar todas las acciones e intervenciones que se hagan.
viii) Las nuevas intervenciones deberán ser legibles.
ix) Emplear materiales compatibles con la técnica original, que se mantengan estables ante la incidencia de las condiciones ambientales y del envejecimiento.
ARTÍCULO 21. LINEAMIENTOS DE MANEJO FÍSICO DEL CONJUNTO DE MUEBLES. Para el componente mueble se establecen las siguientes directrices de orden físico:
i) La conservación preventiva busca prevenir los deterioros para así minimizar los requerimientos de intervención sobre los bienes. Se priorizará la conservación preventiva sobre cualquier acción que involucre la intervención directa de cualquiera de los bienes que componen las colecciones, puesto que la restauración implica hacer significativas inversiones para conservar pocos objetos, mientras que la conservación preventiva permite mayor impacto de los recursos invertidos en todos los objetos que componen la colección.
ii) La conservación preventiva se basa en la sostenibilidad, lo que implica la necesidad de aplicar esfuerzos de manera continua en el tiempo, y en el trabajo en equipo, teniendo en cuenta la optimización de recursos (propios y gestionados ante entidades locales, municipales y nacionales), y en el diseño de modelos organizativos y métodos de trabajo que permitan identificar los riesgos, facilitar la toma de decisiones y potenciar la accesibilidad, entendida como acercamiento de los bienes culturales a la sociedad.
iii) Se promoverá la contextualización de las colecciones a partir de las relaciones entre estas y las fortificaciones.
iv) Las colecciones y los inmuebles son un sistema. Por lo tanto, el buen estado de la colección depende de manera directa del estado y las condiciones del Cordón Amurallado de Cartagena y el castillo de San Felipe de Barajas.
v) Se promoverá la recuperación y la puesta en valor del patrimonio mueble mediante la implementación de proyectos específicos para su identificación, valoración y conservación.
vi) Se fomentará la investigación de las colecciones para facilitar su apropiación por los visitantes.
ARTÍCULO 22. OTRAS MEDIDAS PARA EL MANEJO DEL CONJUNTO DE BIENES MUEBLES. Para el componente mueble se establecen adicionalmente las siguientes directrices:
i) Diseñar el Sistema Integrado de Conservación y Restauración para las colecciones de la Política para la Protección del Patrimonio Cultural Mueble (PCMU), con un horizonte de dos años, en el que se incluirán todos los aspectos relacionados con las colecciones y los programas y proyectos planteados en este documento, utilizando para ello el formato SICRE, que hace parte del Sistema de Gestión de Calidad del Ministerio de Cultura (Código F-MNC-040 o posterior), con los ajustes que sea necesario hacer.
ii) Hacer el seguimiento anual del cumplimiento de las metas allí planteadas, y cada dos años revisar las actividades necesarias para la actualización del sistema.
iii) Verificar anualmente el inventario de PCMU.
iv) Preparar los contenidos referentes al PCMU que se divulgarán, de acuerdo con la información contenida en los inventarios y las investigaciones realizadas en desarrollo de los diferentes proyectos aquí planteados.
ASPECTOS ADMINISTRATIVOS.
ARTÍCULO 23. MODELO INSTITUCIONAL. El modelo institucional para la gestión y la administración de los BIC regulados por la presente resolución se fundamenta en dos actores: La Nación (por intermedio del Ministerio de Cultura), como propietario de los bienes muebles e inmuebles de interés cultural objeto de este PEMP, y el Ente Administrador de los BIC, cuya función será la de administración, gestión, protección, conservación, restauración, puesta en valor y divulgación de los mencionados bienes, de tal forma que sirvan para resaltar los valores, históricos, científicos artísticos y estéticos, y se genere apropiación social sobre los bienes entregados, de acuerdo con el contrato que para el efecto deberá suscribir con la Nación (representada por el Ministerio de Cultura), procurando la correcta aplicación del Régimen Especial de Protección establecido en este PEMP y el cumplimiento de sus objetivos.
El Ente Administrador deberá ejecutar de manera directa las labores que le corresponde adelantar según lo estipulado en este PEMP, salvo que el Ministerio de Cultura lo autorice de manera previa, expresa y por escrito, para adelantar estas labores por intermedio de otras entidades operadoras especializadas, pero siempre será responsable del cumplimiento de los objetivos establecidos en este PEMP ante el Ministerio de Cultura.
PARÁGRAFO. El Ministerio de Cultura podrá optar por ejercer la administración de los BIC por intermedio del Ente Administrador que para el efecto seleccione, o directamente, en el caso de que el contrato entre el Ministerio de Cultura y el Ente Administrador quedare sin vigencia o fuese suspendido por cualquier razón.
ARTÍCULO 24. CARACTERÍSTICAS DEL ENTE ADMINISTRADOR. Para el desarrollo de su actividad y el cumplimiento de sus fines, el Ente Administrador deberá contar con la capacidad especializada necesaria para gestionar los BIC muebles e inmuebles y garantizar la recuperación, protección y sostenibilidad de los mismos, cumpliendo con los objetivos establecidos en este PEMP y en sus documentos anexos.
El Ente Administrador podrá ser una entidad pública, privada o mixta, siempre y cuando tenga entre sus objetivos misionales la formación en procesos relacionados con el patrimonio cultural de la Nación.
ARTÍCULO 25. COMPETENCIAS Y FUNCIONES DEL ENTE ADMINISTRADOR. El Ente Administrador se encargará de administrar, inventariar y registrar los BIC a los que se refiere este PEMP, con la finalidad de garantizar su protección, conservación, mantenimiento, restauración, puesta en valor y divulgación, de tal manera que se resalten sus valores históricos, culturales, artísticos y estéticos y se genere su apropiación social.
ARTÍCULO 26. ESQUEMA DE GESTIÓN CON LOS OPERADORES O ARRENDATARIOS DEL BIC. El Ente Administrador deberá llevar a cabo los procesos de selección y contratación de los potenciales operadores o arrendatarios de los BIC a su cuidado, pudiendo para ello utilizar los diferentes instrumentos jurídicos contractuales disponibles en las normas vigentes, en el marco del Decreto Reglamentario Único del Sector Cultural 1080 de 2015, y aplicando en todo caso procedimientos que permitan la selección objetiva.
El Ente Administrador deberá expedir un reglamento operativo y de uso sobre las condiciones de funcionamiento, que deberán ser acatadas por los operadores o arrendatarios, al igual que sobre los mecanismos de control, sanción y terminación de los contratos y las demás acciones a las que haya lugar, de conformidad con la normativa vigente.
ASPECTOS FINANCIEROS.
ARTÍCULO 27. MEDIDAS ECONÓMICAS Y FINANCIERAS PARA LA RECUPERACIÓN Y SOSTENIBILIDAD DEL BIC. Para el desarrollo de los programas y proyectos formulados en el presente PEMP, así como para la realización de las acciones de mantenimiento necesarias en el Cordón Amurallado y el castillo de San Felipe de Barajas, se establecen las siguientes fuentes de recursos:
i) Recaudo por ingresos y por aprovechamientos temporales o permanentes establecidos en la presente resolución.
ii) Gestión y alianzas estratégicas con actores públicos y privados de diverso orden.
ARTÍCULO 28. FUENTES DE FINANCIACIÓN PROVENIENTES DE RECURSOS PRIVADOS. El Ente Administrador podrá gestionar recursos de inversión de fuentes privadas, observando y respetando siempre los lineamientos establecidos por el PEMP, para lo cual podrá hacer uso de cualquiera de la figuras aplicables en el ordenamiento normativo que rige las relaciones entre agentes públicos y agentes privados, teniendo en cuenta las condiciones establecidas por la ley y en este PEMP, para el caso de los BIC.
ARTÍCULO 29. COBRO POR EL USO TEMPORAL DE ESPACIOS. El Ente Administrador podrá arrendar de manera temporal o permanente algunos de los componentes que conforman el Cordón Amurallado de la Ciudad de Cartagena y el castillo de San Felipe de Barajas, de acuerdo con los usos previstos en la presente resolución. Los recursos que se produzcan en virtud de estos arrendamientos deberán ser invertidos por el Ente Administrador única y exclusivamente en rubros relacionados con la administración, protección, conservación, restauración, puesta en valor y divulgación del Cordón Amurallado de Cartagena y el castillo de San Felipe, como bienes de interés cultural, así como para ejecutar los proyectos de este PEMP.
Las áreas libres de uso público localizadas en el área afectada del Cordón Amurallado y el castillo de San Felipe de Barajas, podrán ser también objeto del cobro por su uso temporal, para lo cual el Distrito de Cartagena y el Ministerio de Cultura establecerán de común acuerdo las actividades que se podrán realizar, las cuales deberán estar dirigidas a la protección, conservación y divulgación de los valores culturales del BIC, de acuerdo con las demás condiciones establecidas en esta resolución.
ARTÍCULO 30. OTRAS FUENTES DE FINANCIACIÓN. Podrán incorporarse a las fuentes de financiación recursos recibidos a título de donación o aportes realizados por entidades públicas, privadas, mixtas, nacionales o extranjeras, para lo cual el Ente Administrador velará por que se cumplan las condiciones establecidas por la ley en el caso de los BIC.
ARTÍCULO 31. MANTENIMIENTO DEL BIC. Los gastos ocasionados por la conservación de los inmuebles objeto de este PEMP que se causen con posterioridad a la intervención inicial de recuperación serán asumidos por el ente administrador, para lo cual este deberá incorporar las respectivas partidas al presupuesto de gastos de cada vigencia, o establecer las fuentes de estos recursos en virtud de los mecanismos jurídico-contractuales que convenga con los diferentes agentes públicos o privados que hagan uso de dichos inmuebles.
Para asumir los gastos a los que se refiere este artículo, el Ente Administrador definirá el monto de los recursos que se deberán destinar en cada vigencia para las labores de mantenimiento recurrente. Con este fin, el Ente Administrador podrá disponer de los recursos producidos en virtud de acuerdos o contratos con los operadores o agentes públicos y privados que hagan uso de los espacios, o pactar la cobertura de estos gastos de mantenimiento como parte de la contraprestación que el Ente Administrador recibirá por el uso de los inmuebles, o podrá cobrar cuotas de administración necesarias para el mantenimiento del Cordón Amurallado de Cartagena y el castillo de San Felipe de Barajas.
ASPECTOS RELACIONADOS CON EL PATRIMONIO CULTURAL INMATERIAL (PCI).
ARTÍCULO 32. PRÁCTICAS SOCIO-CULTURALES ASOCIADAS AL PATRIMONIO CULTURAL INMATERIAL (PCI). Las siguientes actividades culturales, deportivas, recreativas, turísticas y sociales se definen para este instrumento como prácticas socioculturales:
| Prácticas socio-culturales | Espacios asociados |
| Eventos musicales | Baluarte de la Contaduría (plaza de la Paz), Baluarte de San Lucas (reculada del Ovejo) |
| Danzas | Sobre las Bóvedas, Baluarte de la Contaduría (plaza de los coches) |
| Corredores culturales | Baluartes seleccionados por el ente administrador. |
| Teatro y títeres | Baluarte de San Lucas (reculada del Ovejo) |
| Literatura | Baluarte de San Lucas (reculada del Ovejo) |
| Artesanías | Entre el Baluarte de San Francisco y el paseo de la Ronda |
| Visitas turísticas | Cordón Amurallado (principalmente entre los baluartes San Francisco y San Pedro Mártir), castillo de San Felipe |
| Visitas pedagógicas y familiares | Castillo de San Felipe y Cordón Amurallado |
| Fútbol | Zona verde del castillo de San Felipe alrededor de la batería de Santa Bárbara (glacis), zona verde entre la Tenaza y las Bóvedas y entre Santiago Apóstol y San Francisco |
| Béisbol | Zona verde del castillo de San Felipe, alrededor de la batería de Santa Bárbara (glacis) |
| Kickball | Zona verde del castillo de San Felipe alrededor de la batería de Santa Bárbara (glacis) |
| Bate de tapita | Zona verde del castillo de San Felipe alrededor de la batería de Santa Bárbara (glacis). Zona verde entre la Tenaza y las Bóvedas, y entre Santiago Apóstol y San Francisco |
| Juegos infantiles | Entre los baluartes de Santa Bárbara y San José, entre Santa Catalina y San Lucas, y zona verde del castillo de San Felipe, alrededor de la batería de Santa Bárbara (glacis) |
| Barriletes o cometas | Baluarte de San Lucas, baluarte de Santa Catalina, la Tenaza y zona verde del castillo de San Felipe, alrededor de la batería de Santa Bárbara (glacis) |
| Caminar y trotar | Zona que bordea el Cordón Amurallado (principalmente entre la Tenaza y el baluarte San Francisco Javier) |
| Pasear | Sobre Cordón Amurallado (principalmente entre los baluartes San Francisco Javier y San Pedro Mártir) |
| Tomar fotografías | Cordón Amurallado (principalmente entre el baluarte de la Contaduría y San Pedro Mártir), castillo de San Felipe |
Tabla 27. Prácticas socioculturales asociadas al PCI
ARTÍCULO 33. MANIFESTACIONES DEL PATRIMONIO CULTURAL INMATERIAL (PCI). Las siguientes manifestaciones son identificadas como parte del Patrimonio Cultural Inmaterial (PCI):
| Manifestación cultural | Campo del patrimonio cultural inmaterial (Decreto 1080 de 2015 y Política de Salvaguardia del PCI) | En riesgo inminente de desaparecer (sí/ no) | Espacios asociados |
| Fiestas de Independencia | Actos festivos y lúdicos | No | Baluarte de la Contaduría (plaza de la Paz) y parte exterior y superior entre la Tenaza y el baluarte San Francisco Javier |
| Cabildo de Getsemaní | Actos festivos y lúdicos | No | Entre el baluarte San José y Santa Bárbara |
| Ángeles Somos | Actos festivos y lúdicos y cultura culinaria | No | Entre el baluarte de Santa Bárbara y el de San José |
| Pesca tradicional | Producción tradicional | Sí | Entre el Espigón de la Tenaza y las Bóvedas |
| Juego de la bola de trapo | Juegos tradicionales | No | Entre el baluarte San José y Santa Bárbara |
| Manifestación cultural | Campo del patrimonio cultural inmaterial (Decreto 1080 de 2015 y Política de Salvaguardia del PCI) | En riesgo inminente de desaparecer (sí/ no) | Espacios asociados |
| Juego del bate de tapita | Juegos tradicionales | Sí | Zona verde del castillo de San Felipe alrededor de la batería de Santa Bárbara (glacis), zona verde entre la Tenaza y las Bóvedas y entre Santiago Apóstol y San Francisco |
| Memoria asociada a la historia del ferrocarril | Tradición oral | Sí | Alrededores del castillo de San Felipe (frente a la entrada principal) |
| Memoria asociada a la historia de los primeros barrios en los extramuros | Tradición oral | Sí | Entre los baluartes de Santo Domingo y Santa Catalina |
| Memoria asociada a la playa del Arsenal | Tradición oral | Sí | Entre los baluartes de Barahona (desaparecido) y el Reducto |
Tabla 28. Manifestaciones del PCI
ARTÍCULO 34. ESTRATEGIAS PARA LA PROTECCIÓN DEL PATRIMONIO CULTURAL INMATERIAL (PCI). Para la preservación y sostenibilidad del Cordón Amurallado y el Castillo de San Felipe, estos bienes deben ser entendidos como un patrimonio integral que incluye el patrimonio cultural inmaterial y los usos y prácticas socioculturales que aportan a su valoración. Su gestión debe estar dirigida a respetar la vocación sociocultural identificada mediante las siguientes líneas de manejo del PCI:
i) Fortalecimiento de la gestión social del PCI.
ii) Promoción y fomento del conocimiento sobre el PCI.
iii) Salvaguardia efectiva del PCI.
iv) Reconocimiento de la diversidad cultural: educación y enfoque diferencial.
v) El PCI como un factor estratégico del desarrollo sostenible.
vi) Comunicación y divulgación del PCI.
ARTÍCULO 35. CONDICIONES DE MANEJO FÍSICO TÉCNICO PARA LA PROTECCIÓN DEL PATRIMONIO CULTURAL INMATERIAL (PCI). Las acciones o intervenciones que se desarrollen en el área afectada y la zona de influencia deben contemplar las prácticas socioculturales asociadas, y tomar las medidas que eviten su deterioro. Se deberá considerar la opinión de las comunidades involucradas en estas manifestaciones y las aledañas al área de intervención.
En ningún caso las intervenciones en estos bienes deben impedir, alterar o entorpecer los usos y manifestaciones que se desarrollan en el entorno del Cordón Amurallado y el castillo de San Felipe, y no se podrá modificar su vocación sociocultural. Cualquier intervención que se haga debe procurar la visibilización, promoción y el fortalecimiento del patrimonio cultural inmaterial y de las prácticas socioculturales desarrolladas en estos BIC.
ARTÍCULO 36. CONDICIONES DE MANEJO ADMINISTRATIVO PARA LA PROTECCIÓN DEL PATRIMONIO CULTURAL INMATERIAL (PCI). En el esquema de manejo administrativo deberá fortalecerse el equipo encargado de la puesta en valor con profesionales conocedores del patrimonio cultural inmaterial. De igual manera, es fundamental que en las discusiones y decisiones administrativas relacionadas con los BIC se contemple la participación y asesoría de los profesionales encargados de la puesta en valor, divulgación y relaciones con la comunidad, y que su concepto sea tenido en cuenta para que siempre prime la visión integral del patrimonio que se promueve.
ARTÍCULO 37. CONDICIONES DE MANEJO FINANCIERO PARA LA PROTECCIÓN DEL PATRIMONIO CULTURAL INMATERIAL (PCI). La gestión e inversión de recursos para la conservación y sostenibilidad de los BIC deben tener en cuenta las líneas de manejo del PCI buscando garantizar la permanencia y sostenibilidad de las prácticas y manifestaciones que están estrechamente asociadas a estos espacios.
PROGRAMAS Y PROYECTOS.
ARTÍCULO 38. OBJETIVO DE LOS PROGRAMAS Y PROYECTOS. Los programas y proyectos estratégicos que se lleven a cabo en el marco del presente PEMP deberán producir un alto impacto a favor de la integración física y el desarrollo socioeconómico de la zona de influencia. Estos programas y proyectos tendrán como objetivo, entre otros, promover la conectividad entre el Cordón Amurallado de Cartagena y el castillo de San Felipe y su conectividad con su zona de influencia, a partir de la construcción y operación eficiente de infraestructura y espacio público bajo criterios de desarrollo social y económico.
ARTÍCULO 39. PROGRAMAS DEL PEMP. El listado de programas citado a continuación es indicativo, por lo que podrán formularse nuevos proyectos de acuerdo con lo que al respecto decidan las entidades competentes para su ejecución, siempre en el marco de lo establecido en el presente PEMP:
i) Programa de intervención.
ii) Programa de patrimonio cultural mueble.
iii) Programa transversal.
iv) Programa de espacio público.
v) Programa de usos y vocación.
ARTÍCULO 40. PROYECTOS DEL PEMP. Los proyectos que hacen parte del presente PEMP están asociados a los programas señalados en el artículo anterior, de la siguiente manera:
Programa de intervención: Este programa está dirigido a conservar y mantener las condiciones físicas de los BIC mediante acciones que permitan la correcta planeación de las intervenciones a través de los siguientes proyectos:
Castillo de San Felipe de Barajas
– Implementación Proyecto de Iluminación
– Implementación proyecto del Centro de Interpretación
– Implementación proyecto de Consolidación Talud Oriental
– Estabilización talud costado noreste (Recuperación entorno del castillo)
– Implementación proyecto de riego
– Estudios sobre la antigüedad y calidad de pañetes
– Consolidación de pañetes o enlucidos
– Ejecución programa anual de mantenimiento
– Ejecución programa anual de mantenimiento áreas verdes.
Cordón amurallado
– Estudio e Implementación Proyecto de Iluminación
– Diseño y construcción de estructura removible para sombra entre la cortina de Santa Bárbara y baluarte San José.
– Optimización del sistema de drenajes y aguas lluvias para el sistema de riego
– Proyecto de Implementación y mejora de baños públicos en los baluartes de San Ignacio y Santo Domingo.
– Estudios técnicos para la implementación de Servicios complementarios a uso del Baluarte, consistente en baterías de baños con suficiente capacidad en las bóvedas del baluarte de Santo Domingo, San Lucas y San Pedro Mártir
– Obras de implementación de baterías de baños en las bóvedas del baluarte de Santo Domingo, San Lucas y San Pedro Mártir
– Proyecto de Restauración integral entre los baluartes de San Francisco Javier y Santa Catalina
– Proyecto de Restauración integral entre los baluartes de Santa Catalina y San Pedro Mártir
– Proyecto de Restauración integral baluarte Santa Bárbara
– Proyecto de restauración integral Cuartel de las bóvedas
– Instalación de puntos de hidratación sobre algunos puntos estratégicos en el cordón amurallado
– Estudios técnicos para el diagnóstico de patologías, vulnerabilidad sísmica y estabilidad estructural de los lienzos de murallas comprendidos entre la reculada del Ovejo y el baluarte de San Pedro Mártir y entre el Baluarte San Francisco Javier y el Baluarte de Santa Catalina
– Obras de estabilidad estructural lienzos de murallas comprendidos entre la reculada del Ovejo y el baluarte de San Pedro Mártir y entre el Baluarte San Francisco Javier y el Baluarte de Santa Catalina
– Estudios técnicos para el diagnóstico de los efectos producidos al cordón amurallado del centro histórico y Getsemaní por el flujo continuo del transporte masivo y vehicular para la definición en ingeniería de detalle de las obras de mitigación de estos efectos
– Obras de mitigación de los efectos producidos en el cordón amurallado del centro histórico y Getsemaní por el flujo continuo del transporte masivo y vehicular
– Estudios técnicos para el diagnóstico de patologías, vulnerabilidad sísmica y estabilidad estructural; y la Restauración integral del Baluarte de la Santa Cruz
– Obras de Restauración y estabilidad estructural del Baluarte de la Santa Cruz
– Consolidación de pañetes o enlucidos en algunas zonas del cordón amurallado
– Ejecución programa anual de mantenimiento
– Ejecución programa anual de mantenimiento ÁREAS VERDES
– Obras de restitución para construcción del antiguo tendal del Baluarte Santiago Apóstol
– Obras de restitución para construcción del antiguo tendal del Baluarte San Pedro Mártir.
Programa de patrimonio cultural mueble: Este programa está dirigido a conservación y destacar el valor la colección de PCMU con acciones a través de un programa de gestión de colecciones descrito así:
– Adecuación del espacio y amueblamiento
– Investigación de la colección
– Intervención del conjunto de botones
– Intervención del conjunto de cañones originales
– Intervención del conjunto de balas
– Intervención del monumento a Blas de Lezo
– Intervención del conjunto de réplicas de cañones
– Guión Museológico
– Diseño, producción y montaje museográfico.
Programa transversal: Este programa está dirigido a desarrollar acciones conjuntas con el Distrito y otras entidades competentes, para la investigación y puesta en marcha de proyectos que propendan por la restauración de los recursos, la recuperación y actualización de la infraestructura de servicios y la identificación de las manifestaciones que representen la comunidad, a través de las siguientes actividades:
– Plan especial de manejo y protección, PEMP, para las estructuras de la Bahía (Zona norte, bahía interior, la Popa, Isla de tierra Bomba, escollera sumergida y la isla de Barú)
– Estudios técnicos para determinar las acciones preventivas contra el efecto del cambio climático en el cordón amurallado del centro histórico y Getsemaní
– Actualización estudios técnicos del impacto por el transporte masivo
– Mantenimiento y optimización del sistema de redes de servicios públicos, manholes y cajas de inspección en las zonas aledañas al cordón amurallado y el Castillo San Felipe de Barajas
– Mantenimiento y optimización del sistema de iluminación general del cordón amurallado
– Mantenimiento infraestructura de redes fluviales
– Estudios técnicos, proyecto y obras de protección costera
– Inventario biofísico de la zona costera
– Implementar sistemas de alerta temprana y monitoreo a eventos naturales de riesgo
– Identificación, documentación y puesta en valor de saberes y prácticas del PCI: Diagnóstico del estado de la manifestación incluyendo portadores y tradición. Se realizará según metodología de PCI del Ministerio de Cultura.
Identificación, documentación y puesta en valor de saberes y prácticas del PCI: Identificación, documentación y puesta en valor de saberes y prácticas ligadas a la pesca tradicional, y formulación de recomendaciones para su práctica sostenible en el entorno del Cordón amurallado
Programa de espacio público: Este programa está dirigido a desarrollar acciones conjuntas con el Distrito para reforzar unos programas de equipamiento público a través de los siguientes proyectos:
Espinal
– Diseño y puesta en marcha del Museo del Ferrocarril para la recuperación de la memoria histórica colectiva de la comunidad de El Espinal, con espacio para narrar las historias del relacionamiento de sus habitantes con El Castillo de San Felipe, y sus transformaciones.
– Proyecto urbano y paisajístico mediante la conexión del espacio público desde San Miguel de Chambacú hasta mall plaza y castillo san Felipe. Construcción de enlace peatonal
– Proyecto para la revitalización de los sectores inmediatos al antiguo recorrido del ferrocarril
– Plan de manejo arqueológico del sector revellín de la medialuna - PMA REVELLÍN
– Prospección arqueológica para la localización e identificación de los vestigios del revellín de la Media Luna
– Proyecto de restauración memoria del revellín de la media luna y antiguo puente de tierra a la ciudad
– Proyecto para la revitalización del sector comprendido entre los Baluartes Santa Teresa y Santa Bárbara hasta el castillo mediante la transformación urbanística y arquitectónica en conmemoración a la antigua puerta de tierra de la ciudad y el revellín
Centro – San Diego
– Diseño urbano y paisajístico para la implementación de ciclorrutas, senderos peatonales y escenarios deportivos y culturales alrededor del cordón amurallado, del centro histórico y Getsemaní
– Intervención Urbana y paisajística sobre los espacios usados como escenarios deportivos en las zonas verdes ubicados en: las Tenazas y en la zona comprendida entre el baluarte San Francisco Javier y Santiago Apóstol
– Estudios técnicos para el amueblamiento y equipamiento
– Reapertura de la puerta Santa Catalina como punto de acceso y conexión entre el interior y el exterior de la muralla para la integración y revitalización de los sectores San Diego, Bóvedas y El Cabrero.
Getsemaní
– Diseño urbano y paisajístico para la implementación de ciclorrutas, senderos peatonales y escenarios deportivos y culturales alrededor del pedregal.
– Estudios técnicos para el amueblamiento y equipamiento.
Lagunas San Lázaro, Chambacú y Cabrero
– Estudios de factibilidad y proyecto de diseño y adecuación de espacios para recorrido acuático alrededor de la laguna de Chambacú, entre los Baluartes San Miguel de Chambacú y el Reducto
– Poda controlada Mangle.
Parque de la Marina
– Habilitación de espacio en El Parque de la Marina para la muestra de productos realizados por artesanos locales ubicados en la zona aledaña al Paseo de la Ronda, Baluarte Santo Domingo, Baluarte San Francisco Javier.
Programa de usos y vocación: Este programa está dirigido al fortalecimiento de las actividades deportivas y culturales en el entorno del Cordón Amurallado y el Castillo de San Felipe, a través de las siguientes actividades:
Proyecto de fortalecimiento de las actividades deportivas: Incluye las siguientes acciones
– Diseño y puesta en marcha de programación cultural y productiva en alianza con la comunidad del barrio El Espinal para promover eventos deportivos y juegos tradicionales en el glacis del Castillo San Felipe de Barajas.
– Fortalecimiento de espacios de integración comunitaria y familiar a través de campeonatos de bola de trapo.
Proyecto de fortalecimiento de las actividades culturales: Incluye las siguientes acciones
– Programa de gestión local para el emprendimiento cultural para el apoyo de una feria de productos relacionados con la vida cotidiana del barrio El Espinal
– Programa cultural artistas callejeros
– Estudio para la creación de rutas temáticas que generen diferentes recorridos internos y externos, explorando diversas épocas y personajes de la historia del Castillo y su entorno, vida cotidiana, relatos populares, tradición oral, entre otros
– Diseño de una estrategia de capacitaciones con acciones que promuevan el buen uso de las fortificaciones e incrementen la apropiación social en el espacio donde se ubicará el tendal removible en la cortina entre los baluartes Santa Barbara y San José
– Articulación interinstitucional para realización de un corredor cultural o un evento histórico - festivo anual que rememore la historia de los cabildos del barrio colonial de Santo Toribio (hoy San Diego), y las prácticas cotidianas y festivas de los barrios que estuvieron adosados a las murallas de Cartagena en el siglo pasado (Pekín, Boquetillo, Pueblo Nuevo) o en su entorno como el barrio Chambacú, que rescate tradiciones orales y vivencias alrededor de las mismas.
PLAN DE DIVULGACIÓN.
ARTÍCULO 41. OBJETIVO DEL PLAN DE DIVULGACIÓN. El Plan de Divulgación tiene como objetivo visibilizar, promover, facilitar la apropiación, conservar y posicionar el Cordón Amurallado y el castillo de San Felipe de Barajas como bienes de interés cultural del ámbito nacional, como referentes históricos, en los diferentes sectores de la comunidad, en el marco de este PEMP.
ARTÍCULO 42. ESTRATEGIAS DE DIVULGACIÓN. En el marco del presente PEMP se consideran estrategias de comunicación y divulgación las relacionadas con el desarrollo de los programas educativos, culturales, el diseño e implementación de capacitaciones, así como las publicaciones que se identifican a continuación:
i) Programa educativo: Está diseñado y dirigido a la población infantil, quienes a través del juego y la lúdica identifican su patrimonio y aprenden a reconocer la importancia de su cuidado y conservación.
ii) Programas culturales: Está dirigido a gestores culturales quienes a través de las artes llevan la cultura y la historia de Cartagena a los espectadores.
iii) Diseño e implementación de capacitaciones: Está dirigido al desarrollo de una cartilla didáctica para todos los actores que intervienen en el normal desarrollo del Cordón amurallado y el Castillo.
iv) Publicaciones: Está dirigido al diseño de una línea editorial que permita a través de la recopilación de información la publicación de información de conocimiento e interés general sobre las Fortificaciones, su historia, su construcción y sus intervenciones.
DISPOSICIONES FINALES.
ARTÍCULO 43. OBLIGATORIEDAD DEL PEMP. Una vez expedida la presente resolución de aprobación del PEMP, las solicitudes de licencias urbanísticas sobre el BIC nacional y los inmuebles localizados en su zona de influencia se resolverán con sujeción a las normas urbanísticas y arquitectónicas adoptadas en este PEMP, de conformidad con lo dispuesto en el artículo 2.2.6.1.1.9 del Decreto Nacional 1077 de 2015 y las normas que lo complementen, modifiquen o sustituyan.
ARTÍCULO 44. IMPLEMENTACIÓN DEL PEMP. Una vez expedida la presente resolución de aprobación del PEMP, el Ministerio de Cultura, en representación de la Nación, como propietaria del Cordón Amurallado de Cartagena, el castillo de San Felipe de Barajas y los bienes muebles objeto de este PEMP, deberá verificar su implementación. Para el efecto, el Ministerio de Cultura programará visitas técnicas al Cordón Amurallado de Cartagena y al castillo de San Felipe por lo menos una vez cada año.
De conformidad con lo establecido en el Decreto Reglamentario Único del Sector Cultural 1080 de 2015, el Ministerio de Cultura deberá elaborar un informe de las visitas a las que se refiere este artículo.
ARTÍCULO 45. PREVALENCIA DEL PEMP. De conformidad con lo establecido en el artículo 7o de la Ley 397 de 1997, modificado por el artículo 11 de la Ley 1185 de 2008, el artículo 10 de la Ley 388 de 1997 y el artículo 2.4.1.1 del Decreto Reglamentario Único del Sector Cultural, el Plan de Ordenamiento Territorial de Cartagena y, en general, las normas urbanísticas que se expidan para la zona afectada y la zona de influencia del presente PEMP, se entienden jerárquicamente subordinadas a las normas relacionadas con el patrimonio cultural, por lo cual lo establecido en el presente plan especial de manejo y protección deberá aplicarse de preferencia frente a cualquier disposición que contraríe o desconozca su contenido.
ARTÍCULO 46. INCORPORACIÓN DEL PEMP AL POT DE CARTAGENA DE INDIAS. De conformidad con lo dispuesto en el numeral 1.3. del artículo 11 de la Ley 397 de 1997, ley general de cultura, modificado por el artículo 7o de la Ley 1185 de 2008, el Distrito de Cartagena de Indias, incorporará en el plan de ordenamiento territorial, POT, el PEMP aprobado mediante la presente resolución.
ARTÍCULO 47. INSCRIPCIÓN EN EL REGISTRO DE INSTRUMENTOS PÚBLICOS. La Dirección de Patrimonio del Ministerio de Cultura remitirá la publicación de la presente resolución y copia de la misma a la respectiva oficina de registro de instrumentos públicos, a fin de que se incorpore en los folios de las matrículas inmobiliarias correspondientes el presente PEMP.
ARTÍCULO 48. DIFERENCIAS DE CRITERIO. Las diferencias de criterio que surjan en relación con la aplicación e interpretación del presente PEMP serán dirimidas por el Ministerio de Cultura.
ARTÍCULO 49. MODIFICACIONES. Cualquier modificación del presente PEMP requiere la elaboración previa de un estudio técnico que la sustente en concordancia con las normas vigentes sobre el patrimonio cultural, y requerirá el concepto previo favorable del Consejo Nacional de Patrimonio Cultural.
ARTÍCULO 50. AUTORIZACIÓN DE INTERVENCIONES EN EL ÁREA AFECTADA. Las intervenciones que se pretendan realizar en el área afectada del Cordón Amurallado y el castillo de San Felipe de Barajas, deberán contar con la autorización previa del Ministerio de Cultura.
ARTÍCULO 51. RÉGIMEN SANCIONATORIO. Las personas que vulneren el deber constitucional de proteger el patrimonio cultural de la Nación, representado en este caso por el Cordón Amurallado y el castillo de San Felipe de Barajas y su zona de influencia, en Cartagena de Indias, incurrirán en las faltas de que trata el artículo 15 de la Ley 397 de 1997, Ley General de Cultura, modificado por el artículo 10 de de la Ley 1185 de 2008, y demás normas aplicables, según la falta de que se trate.
Igualmente, quienes incurran en uno más de los comportamientos contrarios a la protección y conservación del patrimonio cultural, previstos en el artículo 115 de la Ley 1801 de 2016, Código Nacional de Policía y Convivencia, serán objeto de la aplicación de las medidas correctivas a que se refiere el parágrafo 3 del citado artículo, sin perjuicio de las establecidas en la normatividad específica, y demás disposiciones que la reglamenten, modifiquen, adicionen o sustituyan.
ARTÍCULO 52. DOCUMENTOS DEL PLAN ESPECIAL DE MANEJO Y PROTECCIÓN (PEMP). <Consultar modificación a este artículo directamente en el artículo 3 de la Resolución 3098 de 2019> Hacen parte de los soportes técnicos del presente PEMP, los siguientes documentos:
Documento de diagnóstico (DTS diagnóstico).
Planos de diagnóstico físico, inmaterial y urbano.
Documento de propuesta (DTS formulación).
Planos de formulación físico, inmaterial y urbano
Política Tarifaria
Manual de uso temporal
Manual de uso permanente
Manual de mantenimiento
ARTÍCULO 53. VIGENCIA Y DEROGATORIAS. La presente resolución rige a partir de su publicación en el Diario Oficial y deroga todas las normas que le sean contrarias.
Dada en Bogotá, D. C., a 22 de mayo de 2018.
La Ministra de Cultura,
Mariana Garcés Córdoba.
<Consultar anexo adicionado a esta resolución directamente en el artículo 2 de la Resolución 3098 de 2019>