RESOLUCIÓN 433 DE 2021
(diciembre 29)
Diario Oficial No. 51.903 de 30 de diciembre de 2021
MINISTERIO DE CULTURA
Por la cual se declara bien de interés cultural del ámbito Nacional (BICN) el Conjunto arquitectónico del Molino Tundama (Duitama, Boyacá) y se aprueba el Plan Especial de Manejo y Protección (PEMP) para dicho bien, su área afectada y su zona de influencia.
LA MINISTRA DE CULTURA,
en ejercicio de las facultades legales que le confiere el numeral 1 del artículo 11 de la Ley 397 de 1997 (Ley General de Cultura), modificado por el numeral 1 del artículo 7o de la Ley 1185 de 2008 y el Decreto 1080 de 2015 (Decreto Único Reglamentario del Sector Cultura),
CONSIDERANDO:
Que el artículo 8o de La Ley 397 de 1997, Ley General de Cultura, modificado por el artículo 5o de la Ley 1185 de 2008, establece en lo pertinente, el procedimiento para la declaratoria de los bienes de interés cultural, así:
(...)
“Procedimiento
La declaratoria de los bienes de interés cultural atenderá el siguiente procedimiento, tanto en el orden nacional como territorial:
1. El bien de que se trate se incluirá en una Lista indicativa de Candidato; a Bienes de Interés Cultural por la autoridad competente de efectuar la declaratoria.
2. Con base en la lista de que trata el numeral anterior, la autoridad competente para la declaratoria definirá sí el bien requiere un Plan Especial de Manejo y Protección.
3. Una vez cumplido el procedimiento descrito en los dos numerales anteriores, el Consejo Nacional de Patrimonio Cultural respecto de los bienes del ámbito nacional, o el respectivo Consejo Departamental o Distrital de Patrimonio Cultural, según el caso, emitirá su concepto sobre la declaratoria y el Plan Especial de Manejo y Protección si el bien lo requiriere.
4. Si el concepto del respectivo Consejo de Patrimonio Cultural fuere favorable, la autoridad efectuará la declaratoria y en el mismo acto aprobará el Plan Especial de Manejo y Protección si este se requiriere”.
Que el artículo 2.4.1.4 del Decreto 1080 de 2015 prevé:
Artículo 2.4.1.4. Lista Indicativa de Candidatos a Bienes de Interés Cultural. La inclusión de un bien en la Lista Indicativa de Candidatos a Bienes de Interés Cultural, cuya sigla es LICBIC, constituye el primer paso que deberá cumplir la instancia competente dentro del proceso de declaratoria de BIC. Esta inclusión no implica la sujeción del mismo al Régimen Especial de Protección establecido en la Ley 1185 de 2008 y reglamentado en este Decreto.
La LICBIC consiste en un registro de información que administrará, en cada caso, la autoridad competente.
Podrán ingresar a la LICBIC aquellos bienes que, de acuerdo con su significación cultural en el ámbito correspondiente (nacional, departamental, distrital, municipal, territorios indígenas o territorios de comunidades negras de que trata la Ley 70 de 1993 y por estar acorde con los criterios de valoración señalados en este Decreto, son susceptibles de ser declarados como BIC.
Una vez incluido un bien en la LICBIC, la autoridad competente definirá si el mismo requiere o no la formulación de un Plan Especial de Manejo y Protección (PEMP).
La inclusión de un bien en la LICBIC se comunicará al solicitante o al propietario, usufructuario o persona interesada o a los terceros indeterminados, en la forma dispuesta por el Código Contencioso Administrativo.
La LICBIC debe integrarse al Inventario de Patrimonio Cultural de la Nación que administra el Ministerio de Cultura o a los inventarios que administren, en sus respectivas especialidades, las autoridades nacionales y territoriales competentes. En todo caso la inclusión de bienes en una LICBIC del ámbito nacional o territorial debe informarse en un término no superior a un mes al Ministerio de Cultura, el cual podrá fijar las características que deberá reunir dicha información.
Que el Decreto 2358 de 2019 a través del artículo 15 por medio del cual se modifican y sustituyen los Capítulos 1, 2 y 3 del Título 1 de la Parte 4 del Libro 2 del Decreto 1080 de 2015, Único Reglamentario del Sector Cultura, señala que:
Artículo 2.4.1.2.2. PEMP para bienes inmuebles. Los bienes inmuebles declarados como bienes de interés cultural para efectos de la formulación del PEMP:
(...)
II. Del Grupo Arquitectónico: procurarán formularse PEMP para los inmuebles del Grupo Arquitectónico que se incluyan en la Lista Indicativa de Candidatos a Bienes de Interés Cultural (LIC-BIC), en el ámbito nacional y territorial, sin perjuicio de las atribuciones autónomas con que cuentan las autoridades competentes en la materia, cuando presenten alguna de las siguientes condiciones:
1. Riesgo de transformación o demolición parcial o total debido a desarrollos urbanos, rurales y/o de infraestructura.
2. Cuando el uso represente riesgo o limitación para su conservación.
3. Cuando el bien requiera definir o redefinir su normativa o la de su entorno para efectos de su conservación.
4. Cuando se requiera la protección del bien para salvaguardar manifestaciones del patrimonio cultural inmaterial de una comunidad o colectividad, siempre y cuando se le reconozcan valores materiales al bien inmueble del grupo arquitectónico.
Los bienes del Grupo Arquitectónico y Espacios Públicos de los ámbitos nacional y territorial declarados y reconocidos como BIC por la Ley 397 de 1997 y los declarados con anterioridad a la Ley 1185 de 2008 requerirán PEMP cuando se encuentren en cualquiera de las circunstancias antes enumeradas, sin perjuicio de atribuciones de la autoridad competente de formularlos en otros casos.
Los inmuebles del Grupo Arquitectónico y Espacios Públicos localizados en un sector urbano declarado como BIC, no requieren obligatoriamente un PEMP específico.
Sin importar las anteriores condiciones, en todo caso podrán elaborar PEMP para cualquiera de los bienes inmuebles antes descritos con el fin de potenciar el entorno inmediato, como herramienta para sostenibilidad del BIC.
Que el Decreto 1080 de 2015, Único Reglamentario del Sector Cultura, en la Parte IV, Título I, Capítulos I, II, III y IV, recogió todo lo concerniente en materia reglamentarla de los PEMP como instrumento de gestión, con respecto a los bienes inmuebles declarados BIC.
Que entre las funciones de la Dirección de Patrimonio y Memoria, según el Decreto 2120 de 2018 en su artículo 11 número 1, está la de Asesorar al Viceministro de Fomento Regional y Patrimonio en el diseño de la política estatal para la preservación, conservación, intervención, protección y salvaguardia del patrimonio cultural de la Nación, y en el número 2 del artículo en cuestión, se encarga igualmente de “Elaborar, ejecutar y controlar los planes, programas y proyectos tendentes a la salvaguardia, conservación, restauración y rehabilitación del patrimonio cultural del país.”.
Que el numeral 8 del artículo 11 del Decreto 2120 de 2018 establece que corresponde a la Dirección de Patrimonio y Memoria “Estudiar y evaluar las propuestas de declaratoria de bienes de interés cultural mueble e inmueble, así como la inclusión en lista de las manifestaciones del patrimonio cultural, para la consideración del Viceministro de Fomento Regional y Patrimonio y del Consejo Nacional de Patrimonio Cultural”.
Que atendiendo la facultad prevista en el literal a), numeral 1 del artículo 38 de la Resolución 0983 de 2010, según consta en el Acta número 6 del 10 de octubre de 2019, el Ministerio de Cultura a través del área competente, efectuó la inclusión en la Lista Indicativa de Candidatos a ser declarados Bienes de Interés Cultural (LICBIC) del ámbito nacional el Conjunto arquitectónico del Molino Tundama ubicado en el municipio de Duitama en el Departamento de Boyacá, cuyos inmuebles están localizados en la Diagonal 16 n.° 19-73, Matrícula Inmobiliaria número 074-38191 y en la Diagonal 16 n.° 19-101, Matrícula Inmobiliaria número 074-65520 y determinó que se requiere formular un Plan Especial de Manejo y Protección (PEMP) para dichos bienes en atención a los riesgos establecidos en la normatividad vigente, según consta en la Tabla N° 1:
Tabla N° 1. Lista indicativa de candidatos a bien de interés cultural del ámbito Nacional, 9 de octubre de 2019

Que el artículo 11 de la Ley 397, modificado por el artículo 7o de la Ley 1185 de 2008, señala el Régimen Especial de Protección de los BIC y determina que “la declaratoria de un bien de interés cultural incorporará un Plan Especial de Manejo y Protección cuando se requiera, de conformidad con lo definido en esa ley”;
Que la presente propuesta normativa para la expedición del Plan Especial de Manejo y Protección, de acuerdo con el artículo 2.4.1.1.17 del Decreto 279 de 2021 “por el cual se modifica el artículo 2.4.1,1.17 del Capítulo 1 del Título 1 de la Parte IV del Decreto 1080 de 2015 Único Reglamentario del Sector Cultura” y tomando en consideración lo señalado en el artículo 15 del Decreto 2358 de 2019, el proyecto en cuestión cuenta con concepto favorable del Consejo Nacional de Patrimonio Cultural, por lo tanto, la aplicación de la normatividad es la vigente a la fecha del pronunciamiento efectuado por el mencionado órgano colegiado. En este sentido se transcribe el artículo en cuestión:
“Artículo 2.4.1.1.17. Régimen de transición. Los Planes Especiales de Protección (PEP) formulados y aprobados con anterioridad a la expedición del presente decreto serán considerados PEMP y se regirán por los actos respectivos de adopción. Sin embargo, de conformidad con el artículo 2.4.1.1.13 del presente decreto, deberán revisarse sujetándose a las disposiciones sobre los PEMP vigentes.
Los Planes Especiales de Manejo y Protección (PEMP) que antes del 26 de diciembre de 2019 contaban con el concepto favorable del Consejo Nacional de Patrimonio Cultural, podrán culminar su trámite de aprobación aplicando las disposiciones vigentes antes de la fecha anteriormente mencionada. Los PEMP que a la misma fecha no cuenten con el concepto favorable, deberán ajustarse a las disposiciones vigentes.”.
(Modificado por el Art. 1o del Decreto 279 de 2021).
Que el Plan de Ordenamiento Territorial del municipio de Duitama, Boyacá, compilado mediante el Acuerdo 010 de 2002 y modificado por el Acuerdo 039 de 2009, establece lo siguiente:
“Articulo 12. Objetivos del ordenamiento territorial - cultura. Se consolidará y ampliará la Ciudadela Cultural mediante la incorporación a ella del predio del 'Molino Tundama' y la construcción de una Biblioteca Municipal interactiva. En el Programa de Ejecución contemplado en el presente Acuerdo deberán identificarse los recursos para la compra del predio y para el corto plazo deberán hacerse las provisiones presupuestales necesarias para la construcción de la infraestructura respectiva”.
“Artículo 89. Inmuebles de valor histórico. Dentro de esta categoría, se identifican inmuebles aislados que tengan importancia como parte del patrimonio del Municipio por su condición de mantener la memoria colectiva como ejemplos y testigos de un pasado el cual es importante conocer y valorar. Dichos inmuebles son los siguientes:
El Molino Tundama. Ubicado en la Diagonal 16 número 19-101, se encuentra en muy mal estado por la desaparición de la actividad para la cual fue construido, es necesario adelantar un proyecto de adecuación y reciclaje de su estructura. Este inmueble incluye el arco y el buitrón”.
Que el Decreto Único Reglamentario del Sector Cultura 1080 de 2015, en su artículo 2.4.1.1.1 (anterior artículo 14 del Decreto 763 de 2009), modificado por el artículo 15 del Decreto 2358 de 2019, señala en la definición y objetivo de los PEMP lo siguiente;
“Definición y objetivo de los PEMP. Los Planes Especiales de Manejo y Protección (PEMP) son un instrumento de gestión de los bienes de interés cultural mediante el cual se establecen acciones necesarias para garantizar la protección, conservación y sostenibilidad de los BIC o de los bienes que pretendan declararse como tales. Si a juicio de la autoridad competente dicho plan se requiere; los PEMP deben establecer las relaciones que se tiene con el patrimonio cultural de naturaleza material, inmaterial y las condiciones ambientales”.
Que el artículo 7o de la Ley 1185 de 2008 y el artículo 2.4.1.1.4 del Decreto 1080 de 2015 (anterior artículo 17 del decreto 763 de 2009), modificado por el artículo 15 del Decreto 2358 de 2019, indica que el contenido de resolución que aprueba el PEMP deberá establecer el área afectada, la zona de influencia, el nivel permitido de intervención, las condiciones de manejo y el plan de divulgación que asegurará el respaldo comunitario de la conservación de estos bienes.
Que el artículo 11 de la Ley 397 de 1997, modificado por el artículo 7o de la Ley 1185 de 2008, en su numeral 1,5 señala:
“Prevalencia de disposiciones sobre patrimonio cultural. De conformidad con lo dispuesto en el artículo 7o de la Ley 1185 de 2008, numeral 1.5, y con lo preceptuado en la Ley 388 de 1997 o las normas que los modifiquen o sustituyan, las disposiciones sobre conservación, preservación y uso de las áreas e inmuebles declarados BIC prevalecerán en el momento de adoptar, modificar o ajustar los planes de ordenamiento territorial de municipios y distritos”.
Que el artículo 11 de la Ley 397 de 1997, modificado por el artículo 7o de la Ley 1185 de 2008, en su numeral 1.3 señala que:
“Los Planes Especiales de Manejo y Protección relativos a bienes inmuebles deberán ser incorporados por las autoridades territoriales a sus respectivos planes de ordenamiento territorial. El PEMP puede limitar los aspectos relativos al uso y edificabilidad del bien inmueble declarado de interés cultural y su área de influencia, aunque el Plan de Ordenamiento Territorial ya hubiera sido aprobado por la respectiva autoridad territorial”.
Que la Ley 388 de 1997, en el artículo 10, Determinantes de los planes de ordenamiento territorial. En la elaboración y adopción de sus planes de ordenamiento territorial los municipios y distritos deberán tener en cuenta las siguientes determinantes, que constituyen normas de superior jerarquía, en sus propios ámbitos de competencia, de acuerdo con la Constitución y las leyes”, en el numeral 2, señala “Las políticas, directrices y regulaciones sobre conservación, preservación y uso de las áreas e inmuebles consideradas patrimonio cultural de la Nación y de los departamentos, incluyendo el histórico, artístico y arquitectónico, de conformidad con la legislación correspondiente”.
Que al artículo 2.4.1.1.1 del Decreto 1080 de 2015, modificado por el artículo 15 del Decreto 2358 de 2019, (anterior artículo 14 del Decreto 763 de 2009), señala:
“Los PEMP como instrumento del Régimen Especial de Protección de los BIC, deben:
i. Definir las condiciones para la articulación de los bienes con su contexto físico, arquitectónico, urbano o rural, los planes preexistentes y su entorno sociocultural, partiendo de la conservación de sus valores, la mitigación de sus riesgos, el aprovechamiento de sus potencialidades y su relación con las manifestaciones de patrimonio cultural inmaterial.
ii. Precisar las acciones en diferentes escalas de protección de carácter preventivo y/o correctivo que sean necesarias para la conservación de los bienes.
iii. Establecer las condiciones físicas, de mantenimiento, conservación y rehabilitación de los bienes.
iv. Establecer mecanismos o determinantes que permitan la recuperación y sostenibilidad de los bienes.
v. Generar las condiciones y estrategias para el mejor conocimiento y la apropiación de los bienes por parte de la comunidad, con el fin de garantizar su conservación y su transmisión a las futuras generaciones.
vi. Armonizar y garantizar la regulación del uso del suelo, la ocupación y el aprovechamiento para la protección del BIC e integración con el entorno local; para el caso de BIC inmuebles, la incorporación de los elementos de gestión urbanística y los instrumentos de gestión del suelo, en que el BIC no se considere de manera aislada de las demás realidades urbanas, o para bienes muebles cuando aplique”.
Que, mediante comunicación del 24 de octubre de 2019, con radicación número MC32332E2019, el gerente del Instituto de Cultura y Bellas Artes del municipio de Duitama “Culturama”, Juan Pablo Becerra Quiróz, solicitó a la Dirección de Patrimonio y Memoria del Ministerio de Cultura, la revisión del Plan Especial de Manejo y Protección (PEMP) del conjunto del Molino Tundama, a fin de ser presentado ante el Comité Técnico y el Consejo Nacional de Patrimonio Cultural (CNPC).
Que de conformidad con el principio de coordinación contenido en el artículo 2.4.1.7 del Decreto 1080 de 2015, el Consejo Departamental de Patrimonio Cultural de Boyacá, señaló lo siguiente: “...el PEMP que se está formulando es del ámbito municipal, no departamental, por tal no obliga a que su revisión necesariamente la tenga que realizar el CDPC, sin embargo se indica que en el documento de declaratoria del Molino Tundama (...) todo proceso que se desarrolle en el área de influencia del Molino Tundama si deberá tener una revisión del CDPC”, lo cual quedó consignado en el Acta número 006 de la reunión celebrada el 12 de junio de 2019.
Que, de conformidad con los requerimientos de participación y comunicación con la comunidad, el mencionado PEMP fue presentado a la comunidad del municipio de Duitama convocados para estos efectos, las cuales fueron realizadas en sesiones celebradas los días 11 de octubre de 2018, 30 de noviembre de 2018 y 25 de mayo de 2019, según consta en las memorias anexas en el Documento Técnico de Soporte (DTS), ocasión en que se presentaron el análisis y el diagnóstico, así como la propuesta integral del PEMP.
Que el mencionado bien denominado “Molino Tundama” cuenta con declaratoria como BIC del ámbito Municipal, otorgado mediante Acuerdo Municipal número 003 de 1993 “por el cual se rinden honores al héroe de la resistencia indígena Cacique Tundama y se dictan otras disposiciones”, que en el artículo segundo establece: “Declarar Bien de Interés Histórico y Cultural de Duitama el inmueble y el predio en el cual se halla construido el Molino Tundama, ubicado en la carrera 16 entre calles 19 y 23 de esta ciudad...”.
Que el Molino Tundama cuenta con declaratoria como BIC del ámbito departamental, mediante Decreto 582 del 17 de septiembre de 2019.
Que, mediante Decreto Municipal 390 del 30 de agosto de 2019, el Municipio de Duitama aprueba el PEMP del Molino Tundama.
Que para la formulación del instrumento normativo que permita garantizar la conservación y sostenibilidad del Conjunto arquitectónico del Molino Tundama, se tuvo en cuenta lo señalado en los numerales I y III del artículo 2.4.1.1.3 del Decreto 1080 de 2015, modificado por el artículo 15 del Decreto 2358 de 2019 que especifican lo siguiente: “Riesgo de transformación o demolición parcial o total debido a desarrollos urbanos, rurales y/o de infraestructura” y “Cuando el bien requiera definir o redefinir su normativa y/o la de su entorno para efectos de su conservación”.
Que es necesario modificar el uso y la normatividad asociada al conjunto arquitectónico del Molino Tundama, para brindar posibilidades más compatibles con las edificaciones monumentales, de manera que en dichas edificaciones se incorpore una nueva dinámica que los destaque en el conjunto de las edificaciones del sector. Las intervenciones necesarias para su conservación deben tener en cuenta ese cambio de uso.
Que es necesario actualizar la norma urbana y patrimonial que aplica al Conjunto arquitectónico del Molino Tundama, mediante la implementación de un PEMP, como instrumento idóneo para la gestión de la conservación y sostenibilidad del conjunto, a partir de un uso coherente con sus valores, y que a su vez lo articule con el contexto.
Que el Decreto 1080 de 2015 establece que, para los bienes del Grupo Arquitectónico, la formulación del PEMP corresponde al propietario, en este caso al Municipio de Duitama.
Que el Instituto de Cultura y Bellas Artes de Duitama - Culturama mediante contrato de consultoría CM-001-2018, contrató el diagnóstico y formulación del PEMP del Molino Tundama, de conformidad con el artículo 11 de la Ley 397 de 1997, modificado por el artículo 7o de la Ley 1185 de 2008.
Que en el estudio de valoración incluido en el DTS se determinan los criterios y valores de los inmuebles según lo definido en el artículo 2.4.1.2, “Criterios de valoración”, del Decreto 1080 de 2015, teniendo en cuenta los aspectos históricos, estéticos y simbólicos que deben conservarse, los cuales fueron considerados por la Dirección de Patrimonio y Memoria para recomendar al Consejo Nacional de Patrimonio Cultural la emisión del concepto favorable para la declaratoria del Conjunto de arquitectónico del Molino Tundama, ubicado en la ciudad de Duitama, Boyacá, los cuales se ubican en los predios identificados con las Matrículas Inmobiliarias n.° 074-38191 y n.° 074-65520, valores que se detallan a continuación:
CRITERIOS DE VALORACIÓN
VALORES HISTÓRICOS
Origen - antigüedad:
El Molino Tundama fue construido en una fecha ubicada entre 1919 y 1924, y representó la entrada de la industria molinera en general y de la ciudad de Duitama a la industrialización lo que lo constituye en un documento histórico único e irrepetible que debe ser preservado y que permite comprender las técnicas constructivas del periodo de su construcción y los gustos arquitectónicos del momento.
En los registros históricos notariales se pudo establecer que, en el año de 1919 en la ciudad de Bogotá, mediante escritura pública número 2057 se definió la constitución de la Compañía Molinera de Tundama. En el documento quedó registrado el acto de creación de la Sociedad Anónima. En el año 1924 se nombra como primer gerente a Santiago Rivas Camacho empresario y político al que la historia industrial de Duitama le debe el surgimiento de los primeros desarrollos económicos del siglo XX.
Autoría:
No se conoce quién o quiénes fueron los autores de la obra, sin embargo, por la calidad del diseño arquitectónico y la técnica constructiva donde se emplea ladrillo cocido con arcos y elementos en piedra, así como por las proporciones empleadas, se puede afirmar que se trata de una obra de un arquitecto, ingeniero o constructor con formación profesional y notable conocimiento del oficio.
Autenticidad:
De acuerdo al estudio realizado para el edificio del Molino, incluido en el DTS de diagnóstico, se ha establecido que el mismo no ha tenido a lo largo del tiempo modificaciones arquitectónicas destacables, pero sí se han identificado diferentes actualizaciones de orden técnico pasando de los motores a vapor al combustible diésel y finalmente a los motores eléctricos, reforzando la estructura e incorporando instalaciones y elementos tecnológicos de los equipos que se instalarían.
El edificio no tuvo mayores intervenciones a excepción de la apertura y posterior tapiado de algunas ventanas y puertas de los costados norte y sur para su comunicación con la bodega y el edificio sur de dos pisos.
Los elementos que conforman la construcción presentan un alto porcentaje de integridad, manteniendo la materialidad auténtica de la edificación, que son el soporte de los valores patrimoniales y de la imagen del inmueble.
Constitución del bien:
En la edificación se mantienen gran parte de los elementos representativos de la construcción tradicional del siglo XIX y primeras décadas del siglo XX, entre estos, cimentaciones y basamentos en piedra, muros portantes en fábrica de ladrillo con morteros de cal y arena, entrepisos y cubierta con estructura en madera y teja de barro, junto a algunos que en su momento representaban una novedad como el cemento para el pavimento del primer piso.
La constitución de las fachadas consiste en un sistema de muros de ladrillo sobre los cuales se disponen una serie de vanos que rematan-con arcos en mampostería y dinteles de madera. Las vigas de madera de los entrepisos están apoyadas entre los muros perimetrales y una viga maestra de madera a lo largo del eje longitudinal de la edificación que a su vez se apoya en cuatro columnas de madera de gran sección por piso. Sobre las vigas en madera se disponen los pisos en listón machihembrado. Cubre la construcción una techumbre compuesta, conformada por una planta en “T” a dos aguas y dos faldones laterales. La parte más alta cuenta con un sistema de cerchas tipo rey en madera aserrada, apoyadas en postes de madera que se encuentran con medias cerchas a cada lado para los faldones. Completan el sistema sobre pares y correas en madera rolliza, que soportan la caña brava que sirve como base a la torta de barro sobre la que se apoyan las tejas de barro.
El sistema constructivo tradicional que presenta la edificación del molino ha permitido mantener a lo largo del tiempo un funcionamiento coherente entre sus partes lo cual le brinda la posibilidad de ser restaurado y puesto en valor.
VALORES ESTÉTICOS
Formales:
La edificación pertenece al período conocido en Colombia como republicano de inspiración neoclásica academicista. Se trata de un edificio de planta rectangular orientado en sentido norte sur. Su volumen se eleva en cuatro pisos más altillo y está compuesto por un paralelepípedo rectangular que está contenido por pilastras que bordean el edificio apoyándose en un basamento en piedra e inclinándose hacia el interior a medida que ascienden para recibir el entablamento superior donde se apoya el volumen de la cubierta. La inclinación que tienen las pilastras le confiere un carácter de solidez que junto a sus cuatro pisos de altura determinan en gran medida la monumentalidad del edificio, ya que sugiere un volumen trapezoidal que exagera la perspectiva de verticales convergentes haciéndolo parecer aún más alto de lo que es.
El volumen de la cubierta es compuesto ya que dispone de dos faldones en el sentido largo uno entregando aguas al oriente y otro al occidente, sobre los que se sobrepone una cubierta de planta en “T” con sus brazos a dos aguas, el largo ocupando la cumbrera principal del edificio (terminando en dos tímpanos a sus extremos norte y sur), que se encuentra en ángulo recto con el brazo central más corto que remata en la fachada oriental con un tímpano triangular que destaca el eje de simetría de la fachada principal.
Las fachadas por su cuidada composición y presencia monumental en la ciudad son de gran importancia representando valores estéticos relevantes incluso a nivel nacional. Encontramos entonces una disposición donde, sobre un basamento que resuelve las diferencias de nivel del terreno, se eleva un cuerpo de cuatro pisos enmarcado por las pilastras en primer plano que dejan en planos retrocedidos las ventanas y puertas con arcos rebajados y claves realzadas. Destacan en la parte alta el ático, los remates laterales norte y sur y el tímpano oriental, donde las ventanas están coronadas por arcos de herradura.
Destaca en el conjunto la imponente chimenea, con una altura mayor a 20 metros, que marca un referente visual dentro del perfil urbano de la ciudad. La chimenea construida en ladrillo es símbolo de la arquitectura industrial, edificación esbelta, hueca, cónica que disminuye su radio en la medida que aumenta su altura, tiene como función la dispersión del humo al ambiente, y mejorar la combustión debido al tiro que produce la diferencia de densidad del aire caliente de su interior y el aire frío del exterior. Está dividida en tres partes: La base, un volumen de planta cuadrada, de mayor tamaño, que brinda soporte y estabilidad a la estructura, en la parte central posee un vano en arco de medio punto, por donde se introduce la madera para hacer las quemas. El fuste es un cono con pendiente continua, cuya forma tiene una influencia perceptible en aumentar o disminuir el tiro cuando el viento sopla. En la parte superior presenta una pequeña cornisa o corona que da remate al volumen.
Antiguamente, el acceso al molino se daba a través de la portada, elemento que establecía la imagen del conjunto y la fachada hacia la ciudad, es un volumen de tres cuerpos: el primero lo constituye un zócalo que sobresale en primer plano, el segundo de mayor tamaño en la parte central, destaca el arco de medio punto de gran tamaño, ornamentado con una cinta en el borde y un aplique en la Parte superior por donde accedían los vehículos, dos pilastras, una a cada costado en primer plano que equilibran simétricamente la fachada de la portada, el tercer cuerpo lo definen las cornisas que enmarcan el nombre del conjunto “Molino Tundama venta permanente de harina” y sobre el nombre rematando el borde superior una cornisa con dentículos, elemento ornamental característico del periodo de construcción.
Estado de conservación:
Aunque el edificio no parece haber sufrido variaciones considerables en sus aspectos formales y espaciales, su abandono y la falta de mantenimiento han generado daños importantes en la cubierta y entrepisos. Se presentan procesos progresivos de deterioro que partiendo de daños no reparados en la cubierta ocasionan deterioros a los entrepisos en madera y niveles inferiores, incluyendo superficies de muros, cielorrasos, carpinterías y acabados de piso. Adicional a esto las discontinuidades de origen por su uso industrial en la estructura de entrepiso hacen más vulnerable el sector occidental, lo que hace necesario adelantar de manera urgente obras de primeros auxilios como apuntalamientos y sobrecubierta, que permitan la conservación de la edificación.
En fachada se presentan también desprendimientos superficiales de pinturas y algunos pañetes quedando sectores de ladrillo expuestos. Sumándose a los problemas descritos el crecimiento de vegetación cercana a la base de los muros permiten la acumulación de humedades y posible penetración de raíces de plantas basculares y arbustos que contribuyen a procesos de deterioro que podrían en un futuro afectar la cimentación. También hay pérdidas parciales en elementos de la carpintería, y pudrición por falta de mantenimiento sobre todo en los fragmentos más expuestos al agua lluvia.
No se han encontrado registros históricos que permitan establecer afectaciones específicas de sismos sobre la estructura; tampoco se manifiestan fisuras o grietas por asentamientos diferenciales lo que hace pensar que su cimentación está en buen estado; sin embargo, se recomienda hacer un análisis de vulnerabilidad sísmica de acuerdo con la NSR 10, el que podrá determinar la necesidad de realizar reforzamientos estructurales, necesarios ante un cambio de uso y dado el carácter vulnerable de este tipo de estructuras tradicionales.
En resumen, la falta de mantenimiento y el abandono han permitido el avance del deterioro, presentando fallas puntuales como filtraciones de agua, biodeterioro, desprendimientos menores e incluso suciedad, que se traducen en un deterioro generalizado. Una restauración y futuros planes de mantenimiento con materiales y técnicas compatibles permitirán que el monumento se pueda conservar para futuras generaciones.
Contexto ambiental:
El conjunto está localizado en un sector denso de la ciudad, cerca al parque Solano y a la Loma de San José, con los que se relaciona en sus extremos por las quebradas El Hato (hoy canalizado bajo la parte sur del predio y el parque Solano) y La Aroma en la parte norte de la manzana después de Culturama, lo que confiriere a sus áreas libres una gran posibilidad de incorporar espacio público de calidad en términos de paisaje y masa verde al centro de la ciudad.
Contexto urbano:
La presencia del conjunto del Molino Tundama en la ciudad es dominante sobre todo por el carácter monumental del edificio principal y sus fachadas, donde destacan los órdenes arquitectónicos marcados por las pilastras de cuatro pisos de altura que, apoyados en basamentos continuos, soportan entablamentos rematados en cornisas y áticos. De igual manera el buitrón de ladrillo por su gran altura lo convierte en un hito urbano y punto de referencia. El cerramiento hacia la carrera 16 y sobre todo la portada de ingreso tiene gran relevancia estética, marcando su presencia a escala de peatón además de los otros edificios menores como la bodega y los edificios de dos pisos parcialmente demolidos al costado sur del principal que conservan el lenguaje arquitectónico y formal de este último y brindan un conjunto coherente, que a su vez se relaciona con la sede de Culturama, con grandes posibilidades de configurar con esta una pieza urbana de carácter cultural.
Contexto físico:
Por su origen industrial, el Molino Tundama se configuró como un conjunto de edificios en un gran lote que se relacionaba con la ciudad sólo por la carrera 16, si bien por la monumentalidad de su edificio principal y del buitrón se destacaba en el perfil urbano de la ciudad entre los cerros de San José y Altamira al norte de la población. Los demás costados del conjunto eran cerrados, pues sus vecinos eran lotes semirrurales sin desarrollar, salvo por el costado norte donde limitaba con la sede del colegio Solano, actual sede de Culturama.
Con el crecimiento de la ciudad se definió claramente el carácter del barrio Solano como zona residencial recostando contra la Parte occidental de la supermanzana una serie de casas junto con varias manzanas que finalmente terminaban en límites con la cervecería Bavaria y que se relaciona por la carrera 15 con el sector comercial e institucional del parque de Los Libertadores y más adelante el parque El Carmen, mientras que por el oriente encontramos el barrio Vaticano que termina en las faldas del cerro San José. Prácticamente frente al Molino Tundama se encuentran en “Y” dos importantes calles comerciales, de un lado la carrera 16, antigua calle real, y la calle 20 que lo comunica con la dinámica comercial que se desarrolló a partir de su relación con la plaza de los transportes.
VALORES SIMBÓLICOS
Representatividad y contextualización sociocultural:
El uso restringido al público del conjunto arquitectónico del Molino Tundama, debido a su función como infraestructura industrial y posterior abandono, han impedido que exista una apropiación física de los espacios por parte de la ciudadanía, sin embargo, es reconocida desde hace décadas como la pieza más importante de su patrimonio arquitectónico y por su proximidad con Culturama, con una posibilidad de que algún día sea apropiado con un uso cultural. Lo anterior ha llevado a que en el Plan Decenal de Cultura se proponga junto con Culturama como Ciudadela Cultural.
Área afectada y zona de influencia
De acuerdo con el artículo 2.4.1.1.16 se señala que el área afectada es aquella referida con el “interés o demarcación física del inmueble o conjunto de inmuebles, sectores urbanos o centros históricos, compuesta por sus áreas construidas y libres, para efectos de la declaratoria como BIC.
Por la naturaleza de los BIC, el área afectada puede estar conformada por diferentes inmuebles y muebles con o sin valores culturales específicos, sin que ello represente el reconocimiento puntual de estos últimos y su manejo se reflejará en los niveles de intervención. Se entiende que los mismos brindan unidad al conjunto y su inclusión en el área afectada del BIC se realizará para mantener o recuperar las características particulares del contexto y garantizar el comportamiento y estabilidad estructural del conjunto”.
El área afectada del conjunto arquitectónico del Molino Tundama se encuentra definida por los siguientes predios, incluyendo aquellas edificaciones propiamente dichas como Bienes de Interés Cultural, precisamente por los valores que se deben proteger a la luz de la normativa vigente:
Tabla N° 2. Predios del área afectada. Fuente: Base de Información Catastral IGAC, 2020
TABLAS NO INCLUIDAS, CONSULTAR ANEXO EN EL ORIGINAL IMPRESO O EN FORMATO PDF
Que los Decretos 1746 de 2003 y el artículo 2.3.2.1 del Decreto Reglamentario Único del Sector Cultura 1080 de 2015 (anterior artículo 2o del Decreto 1313 de 2008), modificado por el artículo 6o del Decreto 2358 de 2019, determinaron que el ejercicio de la Secretaría Técnica del CNPC corresponde a la Dirección de Patrimonio del Ministerio de Cultura.
Que de conformidad con el numeral 4 del artículo 2.3.2.9 del Decreto 1080 de 2015, entre las tareas asignadas a la Secretaría Técnica del Consejo Nacional de Patrimonio Cultural, se encuentra la de presentar a dicho Consejo los informes, estudios y demás documentación necesaria para el cumplimiento de las funciones a cargo del mencionado ente colegiado.
Que en cumplimiento de lo dispuesto en el numeral 3 del artículo 8o de la Ley 397 de 1997 (modificado por el artículo 5o de la Ley 1185 de 2008), reglamentado por el artículo 2.4.1.3. del Decreto 1080 de 2015, la Dirección de Patrimonio y Memoria sometió a consideración del Consejo Nacional de Patrimonio Cultural la solicitud de declaratoria como bien de interés cultural del ámbito nacional del Conjunto arquitectónico del Molino Tundama (Duitama, Boyacá) y su correspondiente Plan Especial de Manejo y Protección (PEMP), inmuebles localizados en la Diagonal 16 n.° 19-73, Matrícula Inmobiliaria número 074-38191 y en la Diagonal 16 n.° 19-101, Matrícula Inmobiliaria número 074-65520, en Duitama, Boyacá, según consta en el Acta número 7 del 7 de noviembre de 2019.
Que según consta en el Acta número 7 del 7 de noviembre de 2019, el Consejo Nacional de Patrimonio Cultural tras verificar que los inmuebles que forman parte del Conjunto arquitectónico del Molino Tundama poseen tos valores de orden histórico, estético y simbólico requeridos, emitió concepto favorable y recomendó su declaratoria como Bien de Interés Cultural del ámbito Nacional (BICN), definió como área afectada y zona de influencia las zonas contenidas en el Plan Especial de Manejo y Protección y decidió aprobar dicho instrumento normativo y de gestión con el fin de atender lo dispuesto en el artículo 2.4.1.2.2., numeral 11 del artículo 15, Modificación y sustitución los Capítulos 1, 2 y 3 del Título 1 de la Parte 4 del Libro 2 del Decreto 1080 de 2015, Único Reglamentario del Sector Cultura (anterior artículo 2.4.1.1,3. del Decreto 1080 de 2015).
Que el inciso segundo del literal b) del artículo 4o de la Ley 397 de 1997 (modificado por el artículo 1o de la Ley 1185 de 2008), prevé que la declaratoria de un bien material como de interés cultural, es el acto administrativo mediante el cual, previo cumplimiento del procedimiento allí previsto, la autoridad nacional (en este caso), determina que un bien queda cobijado por el Régimen Especial de Protección previsto en dicha ley;
Que según lo establecido en el inciso segundo del artículo 8o de la Ley 397 de 1997 (modificado por el artículo 5o de la Ley 1185 de 2008), “Son bienes de interés cultural del ámbito nacional los declarados como tales por la Ley, el Ministerio de Cultura o el Archivo General de la Nación, en lo de su competencia, en razón del interés especial que el bien revista para la comunidad en todo el territorio nacional”;
Que el artículo 11 de la Ley General de Cultura (modificado por el artículo 7o de la Ley 1185 de 2008), en concordancia con lo dispuesto en el artículo 2.4.1.4.1 del Decreto Único Reglamentario del Sector Cultura número 1080 de 2015, establece el Régimen Especial de Protección de los Bienes de Interés Cultural.
Que el numeral 1.2 del artículo 11, ibídem, señala: “1.2. Incorporación al Registro de Instrumentos Públicos. La autoridad que efectúe la declaratoria de un bien inmueble de interés cultural informará a la correspondiente Oficina de Registro de Instrumentos Públicos a efectos de que esta incorpore la anotación en el folio de matrícula inmobiliaria correspondiente”;
Que, en consecuencia, y con base en las facultades otorgadas por el artículo Se> de la Ley 397 de 1997 (modificado por el artículo 5o de la Ley 1185 de 2008), reglamentado por el artículo 2o del Decreto 2358 de 2019, artículo que modifica el artículo 2.3.1.3- del Título 1 de la Parte 3 del Libro 2 del Decreto 1080 de 2015, Único Reglamentario del Sector Cultura, el cual establece que corresponde al Ministerio de Cultura expedir el acto administrativo que declare bien de interés cultural del ámbito nacional el Conjunto arquitectónico del Molino Tundama.
Que de acuerdo con lo previsto en el artículo 32 de la Constitución Política de Colombia, es deber del Estado y de las personas proteger el patrimonio cultural de la Nación;
Que según lo dispuesto en el numeral 8 del artículo 95 de la Constitución Política de Colombia, es deber de todo colombiano proteger el patrimonio cultural de la nación;
Que con base en lo expuesto se hace necesario puntualizar algunos de los deberes que les asisten a los propietarios o poseedores de bienes de interés cultural del ámbito nacional, con el fin de hacer efectivo los mencionados deberes constitucionales;
En mérito de lo expuesto,
RESUELVE:
DISPOSICIONES GENERALES.
ARTÍCULO 1o. DECLARATORIA DEL BIEN DE INTERÉS CULTURAL. Declarar como Bien de Interés Cultural del ámbito Nacional (BICN), el Conjunto arquitectónico del Molino Tundama, (Duitama. Boyacá) el cual se encuentra localizado en dos predios con las direcciones en la diagonal 16 número- 19 -73 y la diagonal 16 n.° 19-101 y comprende las siguientes construcciones: Edificio principal del molino, edificio de bodegas, edificio de máquinas, buitrón y portada del Molino Tundama
Figura N° 1: Predios en los cuales se encuentran localizados las edificaciones que hacen parte del Molino Tundama.

ARTÍCULO 2o. DELIMITACIÓN ÁREA AFECTADA. Definir como área afectada del Conjunto arquitectónico del Molino Tundama, los predios 0074 y 0010 ubicados es la manzana número 046, situada entre las calles 13 y 19 y las carreras 16 y 15: Predios 0074 y 0010 donde se localiza el conjunto arquitectónico del Molino Tundama, los dos predios 008 y 009 sede de Culturama y del Colegio Santo Tomás, los predios 007, 006, 0054 y 0038 correspondientes a la ronda de protección ambiental de la quebrada el Hato y los predios 0014, 00155 y 0049, ubicados en la esquina de la carrera 15 con calle 19, según se demarca en el Plano F01 Área Afectada del Conjunto de inmuebles del Molino Tundama, y se define en la Tabla N° 2 Predios del área afectada, los cuales se encuentran en la Parte considerativa de la presente resolución. Así mismo dicho inmuebles aparecen en la Tabla N° 5 Predios del área afectada y nivel permitido de intervención en el artículo 14. Asignación de niveles de intervención.
Los predios arriba referidos responden a las siguientes direcciones a saber: Once (11) predios del área afectada localizados en: diagonal 16 N° 19-73, diagonal 16 N° 19-101, diagonal 16 N° 20-75, diagonal 16 N° 20-99, carrera 14A N° 19-02, carrera 14A N° 19-16, calle 19 N° 15-09/11, diagonal 16 N° 21-11/17/23, diagonal 16 N° 21-29/31, carrera 14A N° 19B-130 y carrera 14A N° 19B-124.
Figura N° 2: Predios e inmuebles del Área Afectada del Conjunto de edificaciones del Molino Tundama.

ARTÍCULO 3o. DELIMITACIÓN ZONA DE INFLUENCIA. Delimitar como zona de influencia del Conjunto arquitectónico del Molino Tundama, el área total delas manzanas identificadas con los números de manzana 0044, 0045, 0305 del barrio Solano; 0496, 047, 0049 y 0504 del barrio Vaticano y Los predios de la manzana 046 que se encuentran fuera del área afectada.
Los límites de la zona de influencia son:
Por el norte: Calle 23 y carrera 12ª
Por el oriente: Carrera 1 y calle 20
Por el sur: Carrera 16a
Por el occidente: Calle 19 y Carrera 13
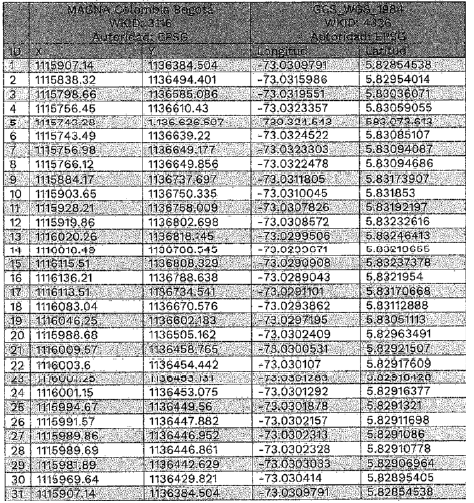
Tabla número 4. Delimitación de la zona de influencia por coordenadas.

Lo anterior se demarca en el Plano F02 Zona de Influencia del Conjunto de inmuebles del Molino Tundama y se define en la Tabla N° 3 Predios de la zona de influencia, que aparecen en la parte considerativa de la presente resolución.
ARTÍCULO 4o. AUTORIZACIÓN DE INTERVENCIÓN EN EL ÁREA AFECTADA. En aplicación de lo dispuesto por el artículo 11 de La Ley 397 de 1997, modificado por el artículo 7o de la Ley 1185 de 2008, el numeral 1.2-8 del artículo 2.3.1.3 del Decreto 1080 de 2015 Único Reglamentario del Sector Cultura (anterior ordinal viii, numeral 1.2 del artículo 4o del Decreto 763 de 2009), todas las intervenciones que se pretendan realizar en los predios del área afectada (expuestos en los artículos 1 y 2 y en la Parte considerativa de la presente resolución) deberán contar con la autorización del Ministerio de Cultura.
ARTÍCULO 5o. COMPETENCIA DE LA AUTORIZACIÓN DE INTERVENCIONES EN LA ZONA DE INFLUENCIA. Las intervenciones en predios ubicados en la zona de influencia del Conjunto arquitectónico del Molino Tundama (expuestos en el artículo 3 y en la Parte considerativa de la presente resolución) que consistan en obra nueva y demolición, deberán ser autorizadas por el Ministerio de Cultura.
Se exceptúan las intervenciones correspondientes a primeros auxilios, reparaciones locativas, reforzamiento estructural, ampliación, adecuación, remodelación, modificación, reconstrucción y cerramiento, en los inmuebles catalogados con nivel 3 de conservación contextual y ubicados en zona de influencia, las cuales pueden ser autorizadas únicamente por parte del ente municipal correspondiente.
PARÁGRAFO. Para el caso del predio ubicado en zona de influencia, con dirección catastral carrera 16 número 20-18 catalogado con nivel 2, de tipo arquitectónico, cualquier intervención que se quiera realizar sobre el mismo deberá ser autorizada por el municipio.
ARTÍCULO 6o. FALTAS CONTRA EL PATRIMONIO. Las personas que vulneren el deber constitucional de proteger el bien de interés cultural que por la presente se declara, incurrirán en las faltas contra el patrimonio cultural de que trata el artículo 15 de la Ley 397 de 1997 (modificado por el artículo 10 de la Ley 1185 de 2008 o por las normas que lo modifiquen o sustituyan), y por lo tanto se harán acreedoras a las sanciones allí establecidas.
ARTÍCULO 7o. DEBER DEL ENTE TERRITORIAL. Es deber del ente territorial y de los propietarios donde se encuentra localizado el BIC a que se refiere el artículo 1 de la presente resolución, garantizar el adecuado mantenimiento y protección de este BIC, así como respecto de aquellos bienes inmuebles referidos al área afectada, de tal manera que el mismo, es decir, el BIC conserve los valores patrimoniales que han justificado su declaratoria.
Para ello deberán adelantar todas las obras de mantenimiento y protección necesarias, tramitando las solicitudes de autorización de intervención previas que se requieran ante el Ministerio de Cultura, de acuerdo con lo dictado por la Ley 397 de 1997 (modificada por la Ley 1185 de 2008), o las que las modifiquen o sustituyan.
ARTÍCULO 8o. APROBACIÓN DEL PEMP. Aprobar el Plan Especial de Manejo y Protección para el Conjunto arquitectónico del Molino Tundama, declarado BICN, de su área afectada y su zona de influencia, determinadas en los artículos 1, 2 y 3 y en la Parte considerativa de la presente resolución.
ARTÍCULO 9o. DOCUMENTOS PLAN ESPECIAL DE MANEJO Y PROTECCIÓN. Los presentes documentos fueron analizados y revisados en la construcción del PEMP, los cuales se relacionan a continuación:
1. Documento Técnico de Soporte (DTS), de Diagnóstico y Formulación.
2. La cartografía compuesta por los siguientes planos:
2.1 PL F01 Área afectada (plano gráfico)
2.2 PL F02 Zona de Influencia (plano gráfico)
2.3 PL F03 Niveles de intervención (plano gráfico)
2.4 PL F04 Alturas (plano gráfico)
2.5 PL F05 Usos (plano gráfico)
2.6 PL F06 Sectores normativos (plano gráfico)
3. Fichas normativas.
4. Fichas de proyectos.
5. Los demás documentos señalados en la normativa aplicable.
PARÁGRAFO 1o. Las fichas normativas y los planos forman parte integral de la presente resolución.
PARÁGRAFO 2o. Los documentos técnicos y cualquiera otro de soporte, sirven como orientadores a efectos de resolver inquietudes que puedan presentarse en la presente resolución. Lo anterior a efectos de consultar y adelantar las interpretaciones correspondientes por parte del Ministerio de Cultura a propósito de las normas vigentes.
ARTÍCULO 10. ÁMBITO DE APLICACIÓN DEL PEMP. Sin perjuicio de las condiciones de intervención sobre inmuebles declarados BIC, las normas contenidas en la presente resolución son de aplicación obligatoria en el Conjunto arquitectónico del Molino Tundama, así como en el área afectada como en su zona de influencia.
ARTÍCULO 11. OBJETIVO GENERAL. El objetivo general del Plan Especial de Manejo y Protección (PEMP) es garantizar la conservación del conjunto arquitectónico del Molino Tundama definiendo las estrategias que promuevan su recuperación, asegurando la preservación de sus valores y su sostenibilidad, involucrando usos compatibles con la edificación y la vocación cultural del contexto en busca de la apropiación social de los habitantes de Duitama.
ARTÍCULO 12. OBJETIVOS ESPECÍFICOS. Son objetivos específicos del presente PEMP los siguientes:
1. Propiciar las condiciones para la articulación del BIC con su entorno urbano a partir de una formulación normativa acorde con las necesidades de recuperación, conservación y sostenibilidad del inmueble, en coordinación con la normativa municipal.
2. Integrar la recuperación del Conjunto arquitectónico del Molino Tundama al proyecto de la ciudadela cultural promovido desde la administración municipal, asegurando que su uso sea consecuente con los valores del conjunto y se garantice su sostenibilidad económica y de uso en el tiempo.
3. Establecer mecanismos para generar un mayor conocimiento del valor patrimonial del Conjunto arquitectónico del Molino Tundama, de manera que se incentive su apropiación por parte de la comunidad a través del uso cultural y mediante la aplicación del plan de divulgación.
ARTÍCULO 13. VISIÓN ESTRATÉGICA. A partir de la implementación de los lineamientos establecidos en el presente plan, se busca la incorporación del Conjunto arquitectónico del Molino Tundama a la dinámica urbana según la vocación cultural del sector, de igual manera se pueda realizar la restauración y adecuación de las edificaciones que forman parte del Bien de Interés Cultural (BIC) que permita la conservación de sus valores simbólicos, históricos y estéticos, al tiempo que se propicie el uso y disfrute del bien por parte de la comunidad.
NIVELES OE INTERVENCIÓN.
ARTÍCULO 14. ASIGNACIÓN DE LOS NIVELES DE INTERVENCIÓN. Se asignan los siguientes niveles de intervención a los inmuebles ubicados en el área afectada y de la zona de influencia del Conjunto arquitectónico del Molino Tundama:
Nivel 1. Conservación integral:
Se asigna el nivel de intervención de conservación integral al conjunto compuesto por los siguientes inmuebles: El edificio principal del Molino Tundama, las edificaciones correspondientes a las bodegas, el edificio de máquinas, el buitrón y la portada de acceso con el tramo del muro de cerramiento del conjunto del Molino Tundama (Ver Tabla N° 5 Predios del Área Afectada y nivel permitido de intervención, Figura N° 2 Predios e inmuebles del Área Afectada y Plano F03 Niveles de Intervención).
Estos inmuebles se constituyen en un grupo arquitectónico de excepcional valor, los cuales, por ser irremplazables, deben ser preservados en su integralidad. En estos, cualquier intervención puede poner en riesgo sus valores e integridad, por lo que las obras deben ser legibles y dar fe del momento en el que se realizaron. Si el inmueble lo permite, se podrán realizar ampliaciones, en función de promover su revitalización y sostenibilidad.
Tipos de obras permitidas: Restauración, reparaciones locativas, primeros auxilios, adecuación funcional o rehabilitación, reforzamiento estructural, reintegración, ampliación, consolidación y liberación, o respecto de aquellas que sean compatibles con los cambios normativos sobre la materia.
Nivel 2. Conservación de tipo arquitectónico:
Nivel 2. Conservación de tipo arquitectónico: Dentro del área afectada, se asigna el nivel de intervención de conservación de tipo arquitectónico a los siguientes espacios, edificaciones o inmuebles: al área libre ubicado en los predios del Molino Tundama (0074 con matrícula inmobiliaria 074-38191 y 0010 con matrícula inmobiliaria 074-65520), al edificio correspondiente a la casona de Culturama y el área libre del predio (ubicados dentro de los predios 0008 y 0009 con matrícula inmobiliaria 074-99442), al inmueble denominado Edificio Administrativo (ubicado dentro del predio 0074) y al inmueble con dirección Diagonal 16 No 21-11/17/23 (ubicado dentro predio 0007 con matrícula inmobiliaria 074-70149), y a la totalidad de los predios localizados en la ronda de protección ambiental de la quebrada El Hato.
Dentro de la zona de influencia se asigna este nivel de intervención únicamente al predio ubicado en la Transversal 15 número 20-57 (que también tiene asociada la dirección carrera 16 número 20-18) localizado en la manzana 047. (Ver Tabla N° 5 Predios del Área Afectada y nivel permitido de intervención, Figura N° 2 Predios e inmuebles del Área Afectada y Plano F03 Niveles de Intervención).
Estos predios e inmuebles poseen características representativas en términos de implantación predial urbana, volumen edificado, organización espacial y elementos ornamentales las cuales deben ser conservadas.
Se permite la modificación de los espacios internos de estos inmuebles, siempre y cuando se mantenga la autenticidad de su estructura espacial: disposición de accesos, vestíbulos, circulaciones horizontales y verticales.
Tipos de obras permitidas: Restauración, reparaciones locativas, primeros auxilios, rehabilitación o adecuación funcional, remodelación, reforzamiento estructural, reintegración, ampliación, consolidación y liberación o respecto de aquellas que sean compatibles a nivel arquitectónico, lo cual en todo caso debe enmarcarse con los cambios normativos vigentes sobre la materia.
Nivel 3. Conservación contextual:
Se asigna el nivel de intervención de conservación contextual a las siguientes construcciones del área afectada: los edificios donde funciona el colegio Santo Tomás (ubicados en el predio 0009 con dirección D16 N° 20-75 y matrícula inmobiliaria 074- 99442), el auditorio de Culturama (ubicado en el predio 0008 con dirección D16 N° 20-99 y matrícula inmobiliaria 074-99442) y la totalidad de los predios 0014 (carrera 15 N° 19- 02), 0015 (carrera 15 N° 19-16) y 0049 (calle 19 N° 15-09) (ver Tabla N° 2).
También se asigna este nivel de intervención a todos los predios de la zona de influencia ubicados en los barrios Solano y Vaticano, a excepción del predio de la Transversal 15 N° 20-57 de la manzana 047. (Ver Tabla N° 5 Predios del Área Afectada y nivel permitido de intervención, Figura N° 2 Predios e inmuebles del Área Afectada y Plano F03 Niveles de Intervención).
Estos predios aun cuando no tengan características arquitectónicas representativas, por su implantación, volumen, perfil y/o son compatibles con el contexto.
Tipos de obras permitidas: Demolición, obra nueva, modificación, remodelación, reparaciones locativas, primeros auxilios, reconstrucción, reforzamiento estructural, consolidación y ampliación.
Tabla N° 5. Predios del área afectada y nivel permitido de intervención



Plano F03 Niveles de intervención del Conjunto de inmuebles del Molino Tundama.
Plano F03 Niveles de intervención del Conjunto de inmuebles del Molino Tundama.

CONDICIONES DE MANEJO.
ASPECTOS FÍSICO-TÉCNICOS.
ARTÍCULO 15. ASPECTOS FÍSICO-TÉCNICOS. Los usos, las alturas y los aislamientos tanto del área afectada como de la zona de influencia se establecen en concordancia con los lineamientos urbanos identificados en el sector, promueven la protección de la visual desde la ciudad hacia el molino y protegen los corredores verdes de la ciudad con el objetivo de evitar cualquier tipo de invasión física que entorpezca esta continuidad visual y espacial.
Alturas: Se establece las siguientes condiciones para el manejo de las alturas:
Las nuevas edificaciones que se construyan dentro del área afectada tendrán una altura máxima de dos (2) pisos.
En la zona de influencia, con el objetivo de consolidar la tipología continua (edificaciones dispuestas en forma contigua por su lindero lateral o posterior) que predomina en el sector y proteger la referencia visual del molino, se establece como atura máxima de construcción dos (2) pisos.
PARÁGRAFO. Los inmuebles de nivel 1 de conservación integral y de nivel 2 de conservación de tipo arquitectónico del área afectada deberán mantener la altura original.
Plano F04 Alturas para el área afectada y zona de influencia del Conjunto de inmuebles del Molino Tundama.

Usos: Uso cultural de influencia urbanística zonal (clase 11). Se permiten usos complementarios que refuerzan el carácter cultural y promueven la sostenibilidad de los bienes patrimoniales, y aplican en la forma señalada en las fichas de los sectores normativos.
En la zona de Influencia, se consolidan los sectores residenciales con una propuesta más flexible en el uso comercial y servicios para el sector normativo 5 del barrio Vaticano.
PARÁGRAFO. En cuanto al uso propuesto de actividades de espectáculos públicos, se establece como aforo máximo para la plazoleta de eventos (revisar Ficha de Proyecto PR5) un número de dos mil (2000) personas.
Tabla N° 6. Usos del área afectada

Tabla N° 7. Usos de la zona de influencia


Plano F05 Usos para el área afectada y zona de influencia del Conjunto de inmuebles del Molino Tundama.

Directrices de diseño urbano, normativo y conceptual:
La restauración del Molino Tundama hace parte del proyecto de escala urbana “ciudadela cultural”, del municipio de Duitama - Boyacá.
El proyecto urbano establece el contexto físico y las condiciones de espacio público para una recuperación integral del molino garantizando la correcta articulación con la ciudad y la sostenibilidad del conjunto en el tiempo.
La propuesta de la ciudadela promueve acciones e intervenciones en los predios del área afectada, cada una de las cuales se exponen en el artículo 23 de la presente resolución: “Proyectos a desarrollar en la ejecución del PEMP”.
Paisaje y espacio público: Con el objetivo de conectar el Conjunto arquitectónico del Molino Tundama con los recorridos peatonales que posee la ciudad, se determina:
1. Liberar la esquina de la carrera 15 con calle 19 a partir de la demolición de los predios 0014, 0015 y 0049 para abrir el acceso principal al Conjunto del BIC Molino Tundama y dar continuidad a la movilidad del flujo peatonal sobre la carrera 15.
2. Intervenir los predios 0038, 0054, 006, 007 y 008 para recuperar la zona de ronda de la quebrada El Hato y del predio 0074 donde se ubica la ronda de la quebrada La Aroma hoy canalizada, que hacen parte de la estructura ecológica de la ciudad, y proyectar acciones que promuevan el fortalecimiento de la conexión peatonal, bajo las directrices establecidas para las “áreas de ronda” que se describen a continuación:
Áreas de ronda: Se determina como área de ronda 30 metros hacia cada lado a partir del eje de las quebradas La Aroma y El Hato que atraviesan el área afectada, la cual se conservará abierta, tendrá una vocación ambiental y podrán desarrollarse actividades de bajo impacto que promuevan la conexión peatonal de la red de espacio público de la ciudad, no podrán realizarse construcciones permanentes, únicamente podrán ser implantadas estructuras desmontables.
Aislamientos: Para los predios del área afectada, se establecen tres (3) metros de aislamiento posterior.
PARÁGRAFO 1o. Las construcciones destinadas para la galería de artesanos en el predio 0074, deberán tener un aislamiento de mínimo 9 metros del edificio de bodegas (del predio 0010) del Molino Tundama.
PARÁGRAFO 2o. Las nuevas construcciones que se realicen en el predio 009, donde se encuentra ubicada la casona sede de Culturama, deberán aislarse mínimo 16 metros de la parte posterior de dicho inmueble. En la zona de influencia deberá mantenerse un aislamiento de 2.50 metros.
PARÁGRAFO 3o. Los aislamientos posteriores se deben conservar desde el primer piso.
ARTÍCULO 16. SECTORES NORMATIVOS. La delimitación de los sectores normativos se realiza en las áreas que para efecto de la implementación del presente plan posean condiciones normativas similares en cuanto a niveles de intervención, usos y alturas.
Los cinco (5) sectores normativos que define este PEMP se denominan así:
| Sector normativo 1 | Molino Tundama |
| Sector normativo 2 | Casona Culturama y Colegio Santo Tomás |
| Sector normativo 3 | Ronda de la quebrada El Hato |
| Sector normativo 4 | Barrio Solano |
| Sector normativo 5 | Barrio Vaticano |
Los sectores normativos para el Conjunto de inmuebles del Molino Tundama se presentan a continuación en el siguiente plano y fichas normativas.
Plano F06 Sectores normativos del Conjunto de inmuebles del Molino Tundama











ASPECTOS ADMINISTRATIVOS.
ARTÍCULO 17. RESPONSABILIDAD DEL PEMP. El presente PEMP estará a cargo de Culturama, entidad que será responsable de su ejecución, implementación y seguimiento.
PARÁGRAFO. Las demás dependencias de la Administración municipal, en especial la Entidad responsable de la Planeación en el municipio, apoyarán las actividades concernientes a la implementación del PEMP, de acuerdo a sus competencias.
ARTÍCULO 18. ACTIVIDADES FÍSICAS Y FUNCIONALES. Las actividades físicas y funcionales del presente PEMP son las siguientes:
- Restauración y recuperación de los BIC “Molino Tundama” y “Casona Culturama”, del buitrón del molino, de la casa de conservación del predio 007, portadas y elementos complementarios.
- Adecuación de espacios físicos para la concreción de políticas culturales del municipio y la ampliación de los programas culturales de Culturama: bibliotecas, ludotecas, exposiciones temporales y permanentes, formación en danza y música.
- Construcción de infraestructura destinada a la promoción de actividades culturales: galería de artesanos.
- Construcción de infraestructura complementaria destinada a la oferta de bienes y servicios: comercios y cafés.
- Generación de espacios públicos verdes, incluyendo la conexión peatonal de la ciudadela con la carrera 15 y el tratamiento a las canalizaciones de las quebradas.
- Construcción de una moderna plazoleta y tarima, destinadas a la celebración de eventos culturales y al esparcimiento de la población.
PARÁGRAFO. Las actividades físicas y funcionales se estructuran en seis proyectos, cuyo detalle se encuentra en las fichas de proyectos, señaladas con posterioridad en la presente resolución.
ARTÍCULO 19. ACTIVIDADES DE GESTIÓN. La gestión del PEMP está orientada a garantizar las etapas de preinversión, ejecución, operación y mantenimiento del Conjunto arquitectónico del Molino Tundama dentro del marco del proyecto Ciudadela Cultural y de su área afectada.
La etapa de preinversión estará a cargo de Culturama. Comprende dos conjuntos de actividades:
a) Evaluación social detallada de la ciudadela.
b) Estructuración integral donde se establecerá en detalle la factibilidad y conveniencia de este.
ARTÍCULO 20. ACTIVIDADES INICIALES. Se definirán como actividades iniciales del proyecto ciudadela cultural las siguientes:
1. Conformación del Comité Directivo y nombramiento de gerente.
2. Estructuración financiera: planificación de posibles fuentes del orden municipal, OCAD, usos de recursos, cronograma y flujo de caja.
3. Inscripción de proyectos en “Banco de Proyectos” de la Alcaldía municipal.
4. Apropiación presupuestal 2022 y vigencias futuras de ser necesarias.
5. Trámite para incremento de presupuesto de Culturama.
6. Constitución de un encargo fiduciario.
7. Trámite de solicitud de recursos ante entidades públicas del orden nacional y/o departamental, a través de la ejecución de convenios interadministrativos.
PROYECTOS.
ARTÍCULO 21. PROYECTOS A DESARROLLAR EN LA EJECUCIÓN DEL PEMP. El PEMP del Conjunto arquitectónico del Molino Tundama presenta una serie de proyectos, los cuales están estructurados teniendo en cuenta actividades, tiempos, responsables y presupuesto, y que corresponden, de manera esquemática, a los siguientes:
FICHAS DE PROYECTOS DE INVERSIÓN FÍSICA E INFRAESTRUCTURA






ASPECTOS FINANCIEROS.
ARTÍCULO 22. ASPECTOS GENERALES DEL MANEJO FINANCIERO. La estructuración integral de la ciudadela, en su etapa de preinversión, debe validar los costos preliminares de los proyectos y el cronograma inicial.
Una vez se valide el valor total y detallado de los proyectos debe considerarse el conjunto de agentes que participarán en su financiación, y el alcance de dicha participación (montos, cronograma de disponibilidad de recursos, procedimientos, contrapartidas, etc.).
PLAN DE DIVULGACIÓN.
ARTÍCULO 23. PROGRAMAS Y PROYECTOS PARA LA DIVULGACIÓN.
El Plan de Divulgación tiene como finalidad, propiciar la apropiación del Conjunto arquitectónico del Molino Tundama entre los ciudadanos del municipio de Duitama. Como estrategias de apropiación social se plantean los siguientes programas y proyectos:
Fichas de proyectos de divulgación:
Tabla N° 14. Ficha de proyecto de divulgación número 1





DISPOSICIONES FINALES.
ARTÍCULO 24. OBLIGATORIEDAD DEL PEMP. Las solicitudes de licencias urbanísticas para intervención en espacio público o inmuebles localizados en el área afectada y la zona de influencia se resolverán con sujeción a las normas urbanísticas y arquitectónicas que se adoptan en el PEMP, de conformidad con lo dispuesto en los Decretos 1077 y 1080 de 2015 y las normas que lo complementen, modifiquen o sustituyan.
ARTÍCULO 25. INCORPORACIÓN DEL PEMP AL PLAN DE ORDENAMIENTO TERRITORIAL DE DUITAMA. En cumplimiento de lo dispuesto en el numeral 1.3 del artículo 11 de la Ley 397 de 1997 (modificado por el artículo 7o de la Ley 1185 de 2008) La ciudad de Duitama, incorporará en el POT, el PEMP aprobado mediante la presente resolución.
ARTÍCULO 26. IMPLEMENTACIÓN DEL PEMP. Una vez expedido el acto administrativo de aprobación del PEMP, la Alcaldía Municipal deberá iniciar su implementación. El Ministerio de Cultura verificará su implementación directamente o por medio de las autoridades territoriales competentes para el manejo del patrimonio cultural, a partir de la elaboración de informes periódicos.
ARTÍCULO 27. JERARQUÍA DEL PEMP. Según la Ley 388 de 1997, las normas de protección y cuidado del patrimonio cultural son de superior jerarquía, y por tanto priman sobre otras normatividades locales. En caso de presentarse alguna diferencia y/o inconsistencia entre el POT y el PEMP, primarán todas aquellas consignadas en este último.
ARTÍCULO 28. SEGUIMIENTO ANUAL. La Alcaldía de Duitama velará por el cumplimiento de las acciones establecidas en la presente resolución, elaborando y enviando anualmente un informe al Ministerio de Cultura que contenga los avances en la ejecución del PEMP.
ARTÍCULO 29. INSCRIPCIÓN EN EL REGISTRO DE INSTRUMENTOS PÚBLICOS. De conformidad con lo dispuesto en el Decreto 1080 de 2015, envíese copia de la presente resolución a la Oficina de Registro de Instrumentos Públicos de Duitama, para que proceda a registrar la declaratoria como BICN del Conjunto arquitectónico del Molino Tundama localizados en la Diagonal 16 número 19-73 y en la Diagonal 16 número 19-101, identificados con los folios de matrícula inmobiliaria números 074-38191 y 074-65520, así como en los 9 (nueve) predios restantes del área afectada ubicados en: diagonal 16 N° 20-75, diagonal 16 N° 20-99, carrera 14A N° 19-02, carrera 14A N° 19-16, calle 19 N° 15-09/11, diagonal 16 N° 21-11/17/23, diagonal 16 N° 21-29/31, carrera 14A N° 19B-130 y carrera 14A N° 19B- 124, localizados en la ciudad de Duitama, Boyacá; y el presente PEMP, en los folios de matrícula inmobiliaria de los predios e inmuebles incluidos tanto dentro de la delimitación del área afectada como de la zona de influencia definidas en la presente resolución.
Dicha actividad estará a cargo de la Dirección de Patrimonio y Memoria del Ministerio de Cultura, en coordinación con la autoridad territorial competente en materia predial en el municipio de Duitama.
ARTÍCULO 30. DIFERENCIAS DE CRITERIO. Las diferencias de criterio que surjan en relación con la aplicación e interpretación del presente PEMP y los documentos que forman parte del presente instrumento, serán dirimidas por el Ministerio de Cultura.
ARTÍCULO 31. MODIFICACIONES AL PEMP. Cualquier cambio o modificación que se requiera adelantar al presente PEMP, requiere de la elaboración de un estudio previo que deberá ser sustentado y encontrado favorable y aprobado por el CNPC.
ARTÍCULO 32. COMUNICACIÓN Y PUBLICACIÓN EN EL DIARIO OFICIAL. Comunicar la presente resolución a la Alcaldía Municipal de Duitama y al Gerente General de “Culturama”, además de publicar el contenido de la Resolución y sus anexos en el Diario Oficial.
ARTÍCULO 33. VIGENCIA Y DEROGATORIAS. La presente resolución rige a partir de su publicación y deroga todas las normas que le sean contrarias.
Publíquese, comuníquese y cúmplase.
Dada en Bogotá, D. C., a 29 de diciembre de 2021.
ANGÉLICA MARÍA MAYOLO OBREGÓN
La Ministra de Cultura,